SRFL
You're on your own
2024

The Men's Single Rider Fantasy League challenges you to choose the rider you think is most likely to win a race but is least likely to be picked by other players from r/Peloton.You score points based on how high your pick finishes and the number of users who choose the same rider.
Need an r/Peloton Fantasy ID? Send a message to u/Ser-Seaworth or u/GregLeBlonde on Reddit.
Your ID works for SRFL, WSRFL, and TFTPT. You only need to signup once.
Season Standings
Race Results
Latest
Grand Tours
Giro d'Italia
May 4–26, 2024
Tour de France
June 29–July 21, 2024
La Vuelta a España
August 17–September 8, 2024
Monuments
Milano–Sanremo
March 16, 2024
Ronde van Vlaanderen
March 31, 2024
Paris–Roubaix
April 7, 2024
Liège–Bastogne–Liège
April 21, 2024
Il Lombardia
October 12, 2024
Stage Races
Tour Down Under
January 16–21, 2024
UAE Tour
February 19–25, 2024
Paris–Nice
March 3–10, 2024
Tirreno-Adriatico
March 4–10, 2024
Volta a Catalunya
March 18–24, 2024
Itzulia Basque Country
April 1–6, 2024
Tour de Romandie
April 23–28, 2024
Criterium du Dauphiné
June 2–9, 2024
Tour de Suisse
June 9–16, 2024
Tour de Pologne
August 12–18, 2024
Renewi Tour
August 28–September 1, 2024
Tour of Guangxi
October 15–20, 2024
One Day Races
Cadel Evans Road Race
January 28, 2024
Omloop Het Nieuwsblad
February 24, 2024
Strade Bianche
March 2, 2024
Brugge-De Panne
March 20, 2024
E3 Harelbeke
March 22, 2024
Gent–Wevelgem
March 24, 2024
Dwars door Vlaanderen
March 27, 2024
Amstel Gold Race
April 14, 2024
La Flèche Wallonne
April 17, 2024
Eschborn-Frankfurt
May 1, 2024
Olympic Time Trial
August 3, 2024
Olympic Road Race
August 7, 2024
Clásica de San Sebastián
August 10, 2024
Bretagne Classic
August 25, 2024
BEMER Cyclassics
September 8, 2024
GP Quebec
September 13, 2024
GP Montreal
September 15, 2024
Worlds Time Trial
September 22, 2024
Worlds Road Race
September 29, 2024
Rules and Scoring
The top 30 finishers of a race earn points scaled by position and the importance of the race.
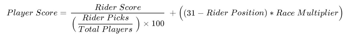
Scores are calculated by dividing the number of points a rider earned by the percentage of the users who picked them. A bonus is awarded for rare picks.
Entries are open until the posted deadline which is based on each event's scheduled start time. Entries sent after that time may appear to be submitted, but will not count.
To update your entry, simply submit a new one!
Details of how scores are calculated are available here.
Past Seasons
2023 2022
More Games
Something Went Wrong
That didn't work. It's probably Avila's fault.
Thank You
Your entry for {{url.rider}} has been submitted. Good luck!
Coming Soon!
Full standings for bonus classifications are coming soon!
scoring
single rider fantasy league
DETAILS
SRFL has a simple concept: pick one rider to win a race. The better your rider does, the more points you score. However, there is a twist: points are shared between all the players who choose a rider. So, the more players who pick the same rider, the fewer points you keep!Points are awarded for selected WorldTour and World Championship races. The top 30 finishers in each event earn points according to their position and the race's importance. Players who make rare picks also earn bonus points!Scores for each race are calculated by dividing a rider's base points by the percentage of players who have picked them, but cannot exceed the rider's base score. In games with fewer than 100 players, a rider's base points are instead divided by the number of players who picked them.Riders who are picked by one percent of players or less are 'solo winners'. These players get the full base points and win a bonus. Bonuses are the product of a race's multiplier and the rider's finish position; they cannot exceed the base points. In games with fewer than 100 players, bonuses are instead awarded for unique picks.Race scores are rounded to the nearest tenth of a point. The player with the highest total at the end of the season wins the league. Final standings are based on the results published by firstcycling.com
Scoring Formula

Base Points
| Position | Tour de France | Giro and Vuelta | Monument¹ | Major Stage Race² | Minor Stage Race³ | Major One Day Race⁴ | Minor One Day Race⁵ |
|---|---|---|---|---|---|---|---|
| 1 | 600 | 500 | 350 | 280 | 200 | 180 | 120 |
| 2 | 480 | 400 | 280 | 224 | 160 | 144 | 90 |
| 3 | 360 | 300 | 210 | 168 | 120 | 108 | 75 |
| 4 | 300 | 250 | 175 | 140 | 100 | 90 | 68 |
| 5 | 270 | 225 | 158 | 126 | 90 | 81 | 60 |
| 6 | 240 | 200 | 140 | 112 | 80 | 72 | 54 |
| 7 | 216 | 180 | 126 | 101 | 72 | 65 | 48 |
| 8 | 192 | 160 | 112 | 90 | 64 | 58 | 44 |
| 9 | 174 | 145 | 101 | 81 | 58 | 52 | 39 |
| 10 | 156 | 130 | 91 | 73 | 52 | 47 | 36 |
| 11 | 144 | 120 | 84 | 67 | 48 | 43 | 33 |
| 12 | 132 | 110 | 78 | 62 | 44 | 40 | 30 |
| 13 | 120 | 100 | 70 | 56 | 40 | 36 | 27 |
| 14 | 108 | 90 | 62 | 50 | 36 | 32 | 25 |
| 15 | 96 | 80 | 56 | 45 | 32 | 29 | 23 |
| 16 | 90 | 75 | 52 | 42 | 30 | 27 | 21 |
| 17 | 84 | 70 | 48 | 39 | 28 | 25 | 19 |
| 18 | 78 | 65 | 45 | 36 | 26 | 23 | 17 |
| 19 | 72 | 60 | 42 | 34 | 24 | 22 | 15 |
| 20 | 66 | 55 | 39 | 31 | 22 | 20 | 13 |
| 21 | 60 | 50 | 35 | 28 | 20 | 18 | 11 |
| 22 | 54 | 45 | 32 | 25 | 18 | 16 | 9 |
| 23 | 48 | 40 | 28 | 22 | 16 | 14 | 8 |
| 24 | 42 | 35 | 25 | 20 | 14 | 13 | 7 |
| 25 | 36 | 30 | 21 | 17 | 12 | 11 | 6 |
| 26 | 30 | 25 | 18 | 14 | 10 | 9 | 5 |
| 27 | 24 | 20 | 14 | 11 | 8 | 7 | 4 |
| 28 | 18 | 15 | 10 | 8 | 6 | 5 | 3 |
| 29 | 12 | 10 | 8 | 6 | 4 | 3 | 2 |
| 30 | 6 | 5 | 4 | 3 | 2 | 2 | 1 |
Bonus Points
| Position | Tour de France | Giro and Vuelta | Monument¹ | Major Stage Race² | Minor Stage Race³ | Major One Day Race⁴ | Minor One Day Race⁵ |
|---|---|---|---|---|---|---|---|
| Multiplier | 6x | 5x | 4x | 3x | 2x | 1.5x | 1x |
| 1 | 180 | 150 | 120 | 90 | 60 | 45 | 30 |
| 2 | 174 | 145 | 116 | 87 | 58 | 44 | 29 |
| 3 | 168 | 140 | 112 | 84 | 56 | 42 | 28 |
| 4 | 162 | 135 | 108 | 81 | 54 | 41 | 27 |
| 5 | 156 | 130 | 104 | 78 | 52 | 39 | 26 |
| 6 | 150 | 125 | 100 | 75 | 50 | 38 | 25 |
| 7 | 144 | 120 | 96 | 72 | 48 | 36 | 24 |
| 8 | 138 | 115 | 92 | 69 | 46 | 35 | 23 |
| 9 | 132 | 110 | 88 | 66 | 44 | 33 | 22 |
| 10 | 126 | 105 | 84 | 63 | 42 | 32 | 21 |
| 11 | 120 | 100 | 80 | 60 | 40 | 30 | 20 |
| 12 | 114 | 95 | 76 | 57 | 38 | 29 | 19 |
| 13 | 108 | 90 | 70 | 54 | 36 | 27 | 18 |
| 14 | 102 | 85 | 62 | 50 | 34 | 26 | 17 |
| 15 | 96 | 80 | 56 | 45 | 32 | 24 | 16 |
| 16 | 90 | 75 | 52 | 42 | 30 | 23 | 15 |
| 17 | 84 | 70 | 48 | 39 | 28 | 21 | 14 |
| 18 | 78 | 65 | 45 | 36 | 26 | 20 | 13 |
| 19 | 72 | 60 | 42 | 34 | 24 | 18 | 12 |
| 20 | 66 | 55 | 39 | 31 | 22 | 17 | 11 |
| 21 | 60 | 50 | 35 | 28 | 20 | 15 | 10 |
| 22 | 54 | 45 | 32 | 25 | 18 | 14 | 9 |
| 23 | 48 | 40 | 28 | 22 | 16 | 12 | 8 |
| 24 | 42 | 35 | 25 | 20 | 14 | 11 | 7 |
| 25 | 36 | 30 | 21 | 17 | 12 | 9 | 6 |
| 26 | 30 | 25 | 18 | 14 | 10 | 8 | 5 |
| 27 | 24 | 20 | 14 | 11 | 8 | 6 | 4 |
| 28 | 18 | 15 | 10 | 8 | 6 | 5 | 3 |
| 29 | 12 | 10 | 8 | 6 | 4 | 3 | 2 |
| 30 | 6 | 5 | 4 | 3 | 2 | 2 | 1 |
¹ Includes the Worlds and Olympic Road Races² Paris–Nice, Tirreno-Adriatico, Tour de Romandie, Criterium du Dauphiné, Tour de Suisse³ Tour Down Under, UAE Tour, Volta a Catalunya, Itzulia Basque Country, Tour de Pologne, Renewi Tour, Tour of Guangxi⁴ Omloop Het Nieuwsblad, Strade Bianche, E3 Harelbeke, Gent–Wevelgem, Amstel Gold Race, La Flèche Wallonne, Olympic Time Trial, Donostia San Sebastian, Worlds Time Trial⁵ Cadel Evans Road Race, Brugge-De Panne, Dwars door Vlaanderen, Eschborn-Frankfurt, Bretagne Classic, BEMER Cyclassics, GP Quebec, GP Montreal

Overall
Men's Single Rider Fantasy League 2024
STANDINGS
Awarded to the player who scores
the most points
during the season
Last updated on October 28, 2024 for the Tour of Guangxi
| Rank | ↓↑ | User | Base Points | Bonus Points | Total Score | Latest Score |
|---|---|---|---|---|---|---|
| 1 | ― | Avila99 | 1148.9 | 329 | 1477.9 | 2.8 |
| 2 | ↑ 2 | fewfiet | 1406.2 | 0 | 1406.2 | 100 |
| 3 | ↓ 1 | sharkbait_hahaha | 843.6 | 533 | 1376.6 | 26.7 |
| 4 | ↓ 1 | ssfoxx27 | 990.8 | 320 | 1310.8 | 2.8 |
| 5 | ― | AwakenTheBacon_ | 992.2 | 297 | 1289.2 | 0 |
| 6 | ― | BWallis17 | 1001.3 | 248 | 1249.3 | 26.7 |
| 7 | ― | Judas_Bishop | 922 | 321 | 1243 | 24 |
| 8 | ― | Tuttle_not_Buttle | 953.3 | 258 | 1211.3 | 26.7 |
| 9 | ↑ 2 | yellow52 | 1016.1 | 145 | 1161.1 | 26 |
| 10 | ↓ 1 | Nussig | 1153.4 | 0 | 1153.4 | 0 |
| 11 | ↓ 1 | vbarrielle | 855.5 | 289 | 1144.5 | ― |
| 12 | ↑ 2 | YourBeneluxOverlords | 1066.4 | 0 | 1066.4 | 100 |
| 13 | ↑ 2 | nahgoe16 | 683.8 | 381 | 1064.8 | 130 |
| 14 | ↓ 2 | andytheciderman | 959.6 | 100 | 1059.6 | 24 |
| 15 | ↓ 2 | beaker15 | 831.7 | 215 | 1046.7 | 36 |
| 16 | ― | LynniePinnie67 | 742.8 | 207 | 949.8 | 26.7 |
| 17 | ― | BSantos57 | 774.2 | 164 | 938.2 | 26.7 |
| 18 | ― | Salty-Level | 741.8 | 143 | 884.8 | 0 |
| 19 | ― | Thomas1VL | 800.4 | 68 | 868.4 | 36 |
| 20 | ↑ 2 | RaylanGivens8 | 680.9 | 183 | 863.9 | 88 |
| 21 | ↑ 7 | Divergee5 | 796.7 | 54 | 850.7 | 154 |
| 22 | ↓ 2 | arne-b | 606.5 | 212 | 818.5 | ― |
| 23 | ↓ 2 | Sappert | 732.8 | 57 | 789.8 | ― |
| 24 | ↓ 1 | CudoLanda | 657.2 | 82 | 739.2 | 2.8 |
| 25 | ↑ 1 | Redskin44 | 545.4 | 191 | 736.4 | 26 |
| 26 | ↓ 2 | ser-seaworth | 611.7 | 120 | 731.7 | ― |
| 27 | ↓ 2 | Team_Telekom | 605.7 | 121 | 726.7 | 0 |
| 28 | ↑ 1 | JDdieSonne | 645.3 | 78 | 723.3 | 26.7 |
| 29 | ↓ 2 | Eyeconoclastic | 578.1 | 132 | 710.1 | 2.8 |
| 30 | ― | djordastic | 675.7 | 0 | 675.7 | ― |
| 31 | ― | Xcpa9 | 671.9 | 0 | 671.9 | ― |
| 32 | ↑ 9 | wonderbeann | 568.6 | 96 | 664.6 | 110 |
| 33 | ↑ 2 | MrR2D | 520.7 | 141 | 661.7 | 24 |
| 34 | ↓ 1 | SparkleCrotchLover | 594.7 | 64 | 658.7 | 2.8 |
| 35 | ↓ 3 | Ok_Chipmunk_3854 | 565.1 | 92 | 657.1 | 0 |
| 36 | ↓ 2 | Mattxps | 460.8 | 192 | 652.8 | ― |
| 37 | ↓ 1 | VeggieLegs21 | 556.3 | 77 | 633.3 | ― |
| 38 | ↓ 1 | ZBGT | 436.8 | 186 | 622.8 | ― |
| 39 | ↓ 1 | markp88 | 621.9 | 0 | 621.9 | ― |
| 40 | ↑ 2 | listenyall | 457.1 | 118 | 575.1 | 24 |
| 41 | ↓ 2 | Kryziven | 478.1 | 92 | 570.1 | ― |
| 42 | ↓ 2 | flemingo24 | 481.5 | 83 | 564.5 | ― |
| 43 | ↑ 1 | paulindy2000 | 464.9 | 93 | 557.9 | 24 |
| 44 | ↓ 1 | alpal2214 | 500 | 45 | 545 | ― |
| 45 | ― | the_ginger27 | 378.7 | 139 | 517.7 | ― |
| 46 | ― | Zeckesan | 344.1 | 162 | 506.1 | ― |
| 47 | ― | Joder-tio | 505.4 | 0 | 505.4 | ― |
| 48 | ― | neo487666 | 423.7 | 68 | 491.7 | ― |
| 49 | ― | burden321 | 472.4 | 0 | 472.4 | ― |
| 50 | ↑ 12 | bassmanyoowan | 324.5 | 115 | 439.5 | 102 |
| 51 | ↓ 1 | Lxnnox | 385.3 | 41 | 426.3 | ― |
| 52 | ↓ 1 | LJSchoppert | 320.8 | 101 | 421.8 | ― |
| 53 | ↓ 1 | Seabhac7 | 337.9 | 75 | 412.9 | ― |
| 54 | ↓ 1 | vrobrolf | 331.8 | 80 | 411.8 | ― |
| 55 | ↓ 1 | MadnessBeliever | 379.2 | 30 | 409.2 | ― |
| 56 | ↓ 1 | DerpTrain | 358.3 | 29 | 387.3 | ― |
| 57 | ↓ 1 | mcbirk | 312 | 70 | 382 | ― |
| 58 | ↓ 1 | iamczecksy | 372.4 | 0 | 372.4 | ― |
| 59 | ↓ 1 | DorHarris | 270.3 | 98 | 368.3 | ― |
| 60 | ― | LurkasM1 | 255.2 | 103 | 358.2 | 8 |
| 61 | ↓ 2 | baat | 311.1 | 45 | 356.1 | ― |
| 62 | ↓ 1 | Funny-Substance5576 | 296.7 | 44 | 340.7 | ― |
| 63 | ― | mcrorigan | 330.9 | 0 | 330.9 | ― |
| 64 | ― | narlano | 307.6 | 0 | 307.6 | ― |
| 65 | ― | fetamorphasis | 241.6 | 42 | 283.6 | ― |
| 66 | ― | BorisB98 | 242.2 | 36 | 278.2 | ― |
| 67 | ― | Wateroski | 260 | 0 | 260 | ― |
| 68 | ― | runhaags1 | 233.5 | 0 | 233.5 | ― |
| 69 | ― | Solesticio | 233.3 | 0 | 233.3 | ― |
| 70 | ― | Norskov | 180.4 | 35 | 215.4 | ― |
| 71 | ― | Born-Wrangler-6223 | 121 | 88 | 209 | ― |
| 72 | ― | Robcobes | 159.3 | 35 | 194.3 | ― |
| 73 | ― | Big_Mike_S | 192 | 0 | 192 | ― |
| 74 | ― | masterpierround | 190.3 | 0 | 190.3 | ― |
| 75 | ― | detestrian | 183.6 | 0 | 183.6 | ― |
| 76 | ― | Goutye | 167.3 | 0 | 167.3 | ― |
| 77 | ― | thecowhasmilk | 153.5 | 0 | 153.5 | ― |
| 78 | ― | srjnp | 116.3 | 25 | 141.3 | ― |
| 79 | ― | thebigscratch | 135.5 | 0 | 135.5 | ― |
| 80 | ― | Mucknuggle | 132.8 | 0 | 132.8 | ― |
| 81 | ― | paaulo | 111 | 9 | 120 | ― |
| 82 | ― | KhaledHisham_22 | 105.7 | 5 | 110.7 | ― |
| 83 | ― | TwistedWitch | 101.1 | 0 | 101.1 | ― |
| 84 | ― | NinaOneEight | 100 | 0 | 100 | ― |
| 85 | ― | bizzileb1tch | 98.8 | 0 | 98.8 | ― |
| 86 | ― | Drazen | 88 | 0 | 88 | ― |
| 87 | ― | Low-Finance-9556 | 87.5 | 0 | 87.5 | ― |
| 88 | ― | lukmanCZ | 83 | 0 | 83 | ― |
| 89 | ― | maaiikeen | 75 | 0 | 75 | ― |
| 90 | ― | thelostknight99 | 58.4 | 14 | 72.4 | ― |
| 91 | ― | Fanaertismo | 70.9 | 0 | 70.9 | ― |
| 92 | ― | Miserable_Hour | 64.6 | 6 | 70.6 | ― |
| 93 | ― | ItsDqoi | 66.7 | 0 | 66.7 | ― |
| 94 | ― | ADW343 | 50.4 | 14 | 64.4 | ― |
| 95 | ― | Yasunick | 60 | 0 | 60 | ― |
| 96 | ― | Darklight88 | 57 | 0 | 57 | ― |
| 97 | ― | ich1maru | 50.5 | 0 | 50.5 | ― |
| 98 | ― | Revolution64 | 50 | 0 | 50 | ― |
| 99 | ― | beerdrinker_mavech | 24 | 24 | 48 | ― |
| 100 | ― | denali_11 | 41.7 | 0 | 41.7 | ― |
| 101 | ― | GOLDUPGRADEPACKS | 36 | 0 | 36 | ― |
| 102 | ― | Randy_Manpipe | 35.7 | 0 | 35.7 | ― |
| 103 | ― | Costinha3 | 30 | 0 | 30 | ― |
| 103 | ― | Short_Bus_ | 30 | 0 | 30 | ― |
| 105 | ― | Mattho | 26.7 | 0 | 26.7 | ― |
| 106 | ― | KVMechelen | 26 | 0 | 26 | ― |
| 107 | ― | bwong87 | 24.9 | 0 | 24.9 | ― |
| 107 | ― | Kbo007 | 24.9 | 0 | 24.9 | ― |
| 109 | ― | PM_ME_COOL_IDEAS | 23.3 | 0 | 23.3 | ― |
| 110 | ― | tomatoincredible | 20.7 | 0 | 20.7 | ― |
| 111 | ― | balinki | 12.5 | 0 | 12.5 | ― |
| 112 | ― | epi_counts | 12 | 0 | 12 | ― |
| 113 | ― | aidikay | 10.3 | 0 | 10.3 | ― |
| 114 | ― | K2daL | 7.7 | 0 | 7.7 | ― |
| 114 | ― | PITW | 7.7 | 0 | 7.7 | ― |
| 116 | ― | copycatrfl | 5 | 0 | 5 | ― |
| 117 | ― | r_daveboiii | 3.6 | 0 | 3.6 | ― |
| 118 | ― | unsatpat | 1.3 | 0 | 1.3 | ― |
| 119 | ― | alphaa_doge | 0 | 0 | 0 | ― |
| 119 | ― | bdrammel | 0 | 0 | 0 | ― |
| 119 | ― | CarltonKirbyTV | 0 | 0 | 0 | ― |
| 119 | ― | disambiguation | 0 | 0 | 0 | ― |
| 119 | ― | Flounder | 0 | 0 | 0 | ― |
| 119 | ― | Gta352 | 0 | 0 | 0 | ― |
| 119 | ― | iamthesnee | 0 | 0 | 0 | ― |
| 119 | ― | Lyx97 | 0 | 0 | 0 | ― |
| 119 | ― | Mieszko | 0 | 0 | 0 | ― |
| 119 | ― | MtLupus | 0 | 0 | 0 | ― |
| 119 | ― | mussekuuper | 0 | 0 | 0 | ― |
| 119 | ― | Pokesoulmaster | 0 | 0 | 0 | ― |
| 119 | ― | Positive_Ad2228 | 0 | 0 | 0 | ― |
| 119 | ― | Quaxcon | 0 | 0 | 0 | ― |

One Day Races
Men's Single Rider Fantasy League 2024
STANDINGS
Awarded to the player who scores
the most points in one day races
during the season
Last updated on October 14, 2024 for Il Lombardia
| Rank | ↓↑ | User | Total Score | Latest Score |
|---|---|---|---|---|
| 1 | ― | ssfoxx27 | 916.7 | 35 |
| 2 | ↑ 1 | BWallis17 | 903.4 | 90 |
| 3 | ↓ 1 | Tuttle_not_Buttle | 900.6 | 35 |
| 4 | ↑ 4 | YourBeneluxOverlords | 708 | 93.3 |
| 5 | ― | fewfiet | 693.7 | 58.3 |
| 6 | ↑ 12 | BSantos57 | 679.5 | 189 |
| 7 | ↑ 15 | Avila99 | 670.5 | 222 |
| 8 | ↓ 4 | sharkbait_hahaha | 638.7 | 0 |
| 9 | ↓ 3 | Eyeconoclastic | 623.3 | 0 |
| 10 | ↓ 3 | AwakenTheBacon_ | 619.3 | 0 |
| 11 | ― | LynniePinnie67 | 592.4 | 39 |
| 12 | ↑ 2 | Salty-Level | 586.3 | 79 |
| 13 | ↓ 1 | vbarrielle | 584.6 | 58.3 |
| 14 | ↓ 5 | RaylanGivens8 | 561.8 | 0 |
| 15 | ↓ 5 | andytheciderman | 561.3 | 0 |
| 16 | ― | Sappert | 539.4 | 39 |
| 17 | ↑ 3 | Nussig | 538.8 | 58.3 |
| 18 | ↓ 5 | nahgoe16 | 514.5 | 0 |
| 19 | ↓ 4 | arne-b | 503.9 | 0 |
| 20 | ↓ 3 | Mattxps | 495 | ― |
| 21 | ↓ 2 | Redskin44 | 484.4 | 0 |
| 22 | ↓ 1 | ser-seaworth | 476.5 | ― |
| 23 | ↑ 5 | Thomas1VL | 434.9 | 58.3 |
| 24 | ↓ 1 | paulindy2000 | 427.3 | 0 |
| 25 | ↑ 10 | Team_Telekom | 422.4 | 79 |
| 26 | ↓ 2 | Judas_Bishop | 404.5 | 0 |
| 27 | ↓ 2 | flemingo24 | 402.4 | ― |
| 28 | ↓ 2 | alpal2214 | 402.1 | 0 |
| 29 | ↓ 2 | listenyall | 389.8 | 0 |
| 30 | ↑ 16 | MrR2D | 379.3 | 124 |
| 31 | ↓ 2 | VeggieLegs21 | 376.5 | ― |
| 32 | ↓ 2 | Divergee5 | 375.7 | 0 |
| 33 | ↑ 4 | beaker15 | 368 | 58.3 |
| 34 | ↓ 3 | djordastic | 363.9 | ― |
| 35 | ↓ 3 | Kryziven | 356.4 | ― |
| 36 | ↓ 3 | CudoLanda | 355.8 | 0 |
| 37 | ↓ 3 | Ok_Chipmunk_3854 | 353.9 | 0 |
| 38 | ↓ 2 | yellow52 | 330.3 | 0 |
| 39 | ↓ 1 | Xcpa9 | 302 | ― |
| 40 | ↑ 9 | markp88 | 289 | 58.3 |
| 41 | ↓ 2 | JDdieSonne | 287.8 | 0 |
| 42 | ↓ 2 | LJSchoppert | 273.8 | 0 |
| 43 | ↓ 2 | DerpTrain | 273.8 | ― |
| 44 | ↓ 2 | burden321 | 273.4 | ― |
| 45 | ↓ 2 | baat | 271.8 | ― |
| 46 | ↓ 2 | SparkleCrotchLover | 261.4 | 0 |
| 47 | ↓ 2 | vrobrolf | 260.4 | ― |
| 48 | ↑ 3 | wonderbeann | 244.4 | 20 |
| 49 | ↓ 2 | Funny-Substance5576 | 240.7 | ― |
| 50 | ↓ 2 | bassmanyoowan | 232.7 | ― |
| 51 | ↓ 1 | ZBGT | 230.6 | ― |
| 52 | ― | MadnessBeliever | 218.8 | ― |
| 53 | ― | the_ginger27 | 218.7 | ― |
| 54 | ― | Born-Wrangler-6223 | 209 | ― |
| 55 | ― | LurkasM1 | 179.5 | 0 |
| 56 | ― | mcbirk | 176.7 | ― |
| 57 | ― | BorisB98 | 173.7 | ― |
| 58 | ↑ 15 | iamczecksy | 171.8 | 93.3 |
| 59 | ↓ 1 | DorHarris | 169 | ― |
| 60 | ↓ 1 | Norskov | 168.8 | ― |
| 61 | ↓ 1 | fetamorphasis | 167.9 | ― |
| 62 | ↓ 1 | Robcobes | 152.8 | ― |
| 63 | ↓ 1 | Joder-tio | 152.3 | ― |
| 64 | ↓ 1 | Wateroski | 149.3 | ― |
| 65 | ↑ 20 | mcrorigan | 127.8 | 93.3 |
| 66 | ↓ 2 | Lxnnox | 121.3 | ― |
| 67 | ↓ 2 | detestrian | 115.3 | ― |
| 68 | ↓ 2 | neo487666 | 98.5 | ― |
| 69 | ↓ 2 | Goutye | 94.9 | ― |
| 70 | ↓ 2 | Drazen | 88 | ― |
| 71 | ↓ 2 | Low-Finance-9556 | 87.5 | ― |
| 72 | ↓ 2 | Seabhac7 | 84.9 | ― |
| 73 | ↓ 2 | runhaags1 | 80.3 | ― |
| 74 | ↓ 2 | srjnp | 78.8 | ― |
| 75 | ↓ 1 | bizzileb1tch | 72.3 | ― |
| 76 | ↓ 1 | ADW343 | 64.4 | ― |
| 77 | ↓ 1 | Zeckesan | 63.8 | ― |
| 78 | ↓ 1 | narlano | 62.3 | ― |
| 79 | ↓ 1 | thecowhasmilk | 60.2 | ― |
| 80 | ↓ 1 | Yasunick | 60 | ― |
| 81 | ↓ 1 | masterpierround | 58.8 | ― |
| 82 | ↓ 1 | Darklight88 | 57 | ― |
| 83 | ↓ 1 | Big_Mike_S | 49.4 | ― |
| 84 | ↓ 1 | Fanaertismo | 48.5 | ― |
| 85 | ↓ 1 | thelostknight99 | 43.8 | ― |
| 86 | ― | Mucknuggle | 32 | ― |
| 87 | ― | lukmanCZ | 27 | ― |
| 88 | ― | thebigscratch | 26.5 | ― |
| 89 | ― | ItsDqoi | 25 | ― |
| 90 | ― | Miserable_Hour | 24.9 | ― |
| 91 | ― | tomatoincredible | 20.7 | ― |
| 92 | ― | paaulo | 20 | ― |
| 93 | ― | TwistedWitch | 14.4 | ― |
| 94 | ― | epi_counts | 12 | ― |
| 95 | ― | K2daL | 7.7 | ― |
| 95 | ― | PITW | 7.7 | ― |
| 97 | ― | KhaledHisham_22 | 2.7 | ― |
| 98 | ― | alphaa_doge | 0 | ― |
| 98 | ― | balinki | 0 | ― |
| 98 | ― | bdrammel | 0 | ― |
| 98 | ― | disambiguation | 0 | ― |
| 98 | ― | Gta352 | 0 | ― |
| 98 | ― | KVMechelen | 0 | ― |
| 98 | ― | Lyx97 | 0 | ― |
| 98 | ― | PM_ME_COOL_IDEAS | 0 | ― |
| 98 | ― | Solesticio | 0 | ― |

Stage Races
Men's Single Rider Fantasy League 2024
STANDINGS
Awarded to the player who scores
the most points in stage races
during the season
Last updated on October 28, 2024 for the Tour of Guangxi
| Rank | ↓↑ | User | Total Score | Latest Score |
|---|---|---|---|---|
| 1 | ― | Judas_Bishop | 838.5 | 24 |
| 2 | ― | yellow52 | 830.8 | 26 |
| 3 | ― | Avila99 | 807.4 | 2.8 |
| 4 | ― | sharkbait_hahaha | 737.9 | 26.7 |
| 5 | ↑ 3 | fewfiet | 712.5 | 100 |
| 6 | ― | beaker15 | 678.7 | 36 |
| 7 | ↓ 2 | AwakenTheBacon_ | 669.9 | 0 |
| 8 | ↓ 1 | Nussig | 614.6 | 0 |
| 9 | ― | vbarrielle | 559.9 | ― |
| 10 | ↑ 2 | nahgoe16 | 550.3 | 130 |
| 11 | ↓ 1 | andytheciderman | 498.3 | 24 |
| 12 | ↑ 13 | Divergee5 | 475 | 154 |
| 13 | ↓ 2 | Zeckesan | 442.3 | ― |
| 14 | ↓ 1 | JDdieSonne | 435.5 | 26.7 |
| 15 | ↓ 1 | Thomas1VL | 433.5 | 36 |
| 16 | ↑ 13 | wonderbeann | 420.2 | 110 |
| 17 | ↓ 2 | SparkleCrotchLover | 397.3 | 2.8 |
| 18 | ― | ssfoxx27 | 394.1 | 2.8 |
| 19 | ↓ 3 | neo487666 | 393.2 | ― |
| 20 | ↓ 3 | ZBGT | 392.2 | ― |
| 21 | ↓ 2 | CudoLanda | 383.4 | 2.8 |
| 22 | ↓ 2 | Xcpa9 | 369.9 | ― |
| 23 | ↑ 13 | YourBeneluxOverlords | 358.4 | 100 |
| 24 | ↓ 1 | LynniePinnie67 | 357.4 | 26.7 |
| 25 | ↓ 4 | Joder-tio | 353.1 | ― |
| 26 | ― | BWallis17 | 345.9 | 26.7 |
| 27 | ↓ 5 | markp88 | 332.9 | ― |
| 28 | ↓ 4 | Seabhac7 | 328 | ― |
| 29 | ↓ 2 | arne-b | 314.6 | ― |
| 30 | ↓ 2 | djordastic | 311.8 | ― |
| 31 | ↑ 4 | Tuttle_not_Buttle | 310.7 | 26.7 |
| 32 | ↓ 2 | Lxnnox | 305 | ― |
| 33 | ↓ 2 | Team_Telekom | 304.3 | 0 |
| 34 | ↓ 2 | Ok_Chipmunk_3854 | 303.2 | 0 |
| 35 | ↑ 10 | RaylanGivens8 | 302.1 | 88 |
| 36 | ↓ 3 | the_ginger27 | 299 | ― |
| 37 | ↓ 3 | Salty-Level | 298.5 | 0 |
| 38 | ↓ 2 | MrR2D | 282.4 | 24 |
| 39 | ↑ 4 | BSantos57 | 258.7 | 26.7 |
| 40 | ↓ 2 | VeggieLegs21 | 256.8 | ― |
| 41 | ↓ 2 | ser-seaworth | 255.2 | ― |
| 42 | ↑ 2 | Redskin44 | 252 | 26 |
| 43 | ↓ 3 | Sappert | 250.4 | ― |
| 44 | ↓ 3 | narlano | 245.3 | ― |
| 45 | ↓ 3 | Solesticio | 233.3 | ― |
| 46 | ― | Kryziven | 213.7 | ― |
| 47 | ↑ 22 | bassmanyoowan | 206.8 | 102 |
| 48 | ↓ 1 | mcbirk | 205.3 | ― |
| 49 | ↓ 1 | mcrorigan | 203.1 | ― |
| 50 | ↓ 1 | iamczecksy | 200.6 | ― |
| 51 | ↓ 1 | DorHarris | 199.3 | ― |
| 52 | ↓ 1 | burden321 | 199 | ― |
| 53 | ↓ 1 | MadnessBeliever | 190.4 | ― |
| 54 | ↑ 1 | listenyall | 185.3 | 24 |
| 55 | ↓ 2 | LurkasM1 | 178.7 | 8 |
| 56 | ↓ 2 | flemingo24 | 162.1 | ― |
| 57 | ↓ 1 | Mattxps | 157.8 | ― |
| 58 | ↓ 1 | runhaags1 | 153.2 | ― |
| 59 | ↓ 1 | vrobrolf | 151.4 | ― |
| 60 | ↓ 1 | LJSchoppert | 148 | ― |
| 61 | ↓ 1 | alpal2214 | 142.9 | ― |
| 62 | ↓ 1 | Big_Mike_S | 142.6 | ― |
| 63 | ↓ 1 | masterpierround | 131.5 | ― |
| 64 | ↑ 4 | paulindy2000 | 130.6 | 24 |
| 65 | ↓ 2 | fetamorphasis | 115.7 | ― |
| 66 | ↓ 2 | DerpTrain | 113.5 | ― |
| 67 | ↓ 2 | Wateroski | 110.7 | ― |
| 68 | ↓ 2 | thebigscratch | 109 | ― |
| 69 | ↓ 2 | KhaledHisham_22 | 108 | ― |
| 70 | ― | BorisB98 | 104.5 | ― |
| 71 | ― | Mucknuggle | 100.8 | ― |
| 72 | ― | Funny-Substance5576 | 100 | ― |
| 72 | ― | NinaOneEight | 100 | ― |
| 72 | ― | paaulo | 100 | ― |
| 75 | ― | thecowhasmilk | 93.3 | ― |
| 76 | ↑ 2 | Eyeconoclastic | 86.8 | 2.8 |
| 77 | ↓ 1 | TwistedWitch | 86.7 | ― |
| 78 | ↓ 1 | baat | 84.3 | ― |
| 79 | ― | maaiikeen | 75 | ― |
| 80 | ― | Goutye | 72.4 | ― |
| 81 | ― | detestrian | 68.3 | ― |
| 82 | ― | srjnp | 62.5 | ― |
| 83 | ― | lukmanCZ | 56 | ― |
| 84 | ― | ich1maru | 50.5 | ― |
| 85 | ― | Revolution64 | 50 | ― |
| 86 | ― | beerdrinker_mavech | 48 | ― |
| 87 | ― | Norskov | 46.6 | ― |
| 88 | ― | Miserable_Hour | 45.7 | ― |
| 89 | ― | denali_11 | 41.7 | ― |
| 89 | ― | ItsDqoi | 41.7 | ― |
| 91 | ― | Robcobes | 41.5 | ― |
| 92 | ― | GOLDUPGRADEPACKS | 36 | ― |
| 93 | ― | Randy_Manpipe | 35.7 | ― |
| 94 | ― | Costinha3 | 30 | ― |
| 94 | ― | Short_Bus_ | 30 | ― |
| 96 | ― | thelostknight99 | 28.6 | ― |
| 97 | ― | Mattho | 26.7 | ― |
| 98 | ― | bizzileb1tch | 26.5 | ― |
| 99 | ― | KVMechelen | 26 | ― |
| 100 | ― | bwong87 | 24.9 | ― |
| 100 | ― | Kbo007 | 24.9 | ― |
| 102 | ― | PM_ME_COOL_IDEAS | 23.3 | ― |
| 103 | ― | Fanaertismo | 22.4 | ― |
| 104 | ― | balinki | 12.5 | ― |
| 105 | ― | aidikay | 10.3 | ― |
| 106 | ― | copycatrfl | 5 | ― |
| 107 | ― | r_daveboiii | 3.6 | ― |
| 108 | ― | unsatpat | 1.3 | ― |
| 109 | ― | CarltonKirbyTV | 0 | ― |
| 109 | ― | Flounder | 0 | ― |
| 109 | ― | Gta352 | 0 | ― |
| 109 | ― | iamthesnee | 0 | ― |
| 109 | ― | K2daL | 0 | ― |
| 109 | ― | Mieszko | 0 | ― |
| 109 | ― | MtLupus | 0 | ― |
| 109 | ― | mussekuuper | 0 | ― |
| 109 | ― | PITW | 0 | ― |
| 109 | ― | Pokesoulmaster | 0 | ― |
| 109 | ― | Positive_Ad2228 | 0 | ― |
| 109 | ― | Quaxcon | 0 | ― |

Best Pick
Men's Single Rider Fantasy League 2024
STANDINGS
Awarded to the player who scores
the most points in a single race
during the season
More Information
Last updated on October 28, 2024 for the Tour of Guangxi
| Rank | User | Score | Rider | Race | |
|---|---|---|---|---|---|
| 1 | yellow52 | 545 | Ben O'Connor | Vuelta | |
| 2 | Eyeconoclastic | 470 | Jasper Philipsen | Sanremo | |
| 3 | ssfoxx27 | 396 | Ben O'Connor | Worlds RR | |
| 3 | vbarrielle | 396 | Valentin Madouas | Olympic RR | |
| 5 | beaker15 | 355 | Mattias Skjelmose | Vuelta | |
| 6 | sharkbait_hahaha | 322 | Christophe Laporte | Olympic RR | |
| 7 | BWallis17 | 283 | Toms Skujins | Worlds RR | |
| 8 | ZBGT | 282 | Santiago Buitrago | Tour | |
| 9 | Judas_Bishop | 275 | Jan Hirt | Giro | |
| 10 | Zeckesan | 264 | Giulio Ciccone | Tour | |
| 11 | Avila99 | 252 | Mattias Skjelmose | Suisse | |
| 12 | Mattxps | 240 | Gianni Vermeersch | Roubaix | |
| 13 | alpal2214 | 225 | Marc Hirschi | San Sebastian | |
| 14 | Tuttle_not_Buttle | 222 | Ben Healy | Worlds RR | |
| 15 | Kryziven | 204 | Jasper Stuyven | Sanremo | |
| 15 | listenyall | 204 | Jan Tratnik | Olympic RR | |
| 15 | Ok_Chipmunk_3854 | 204 | Jordi Meeus | Roubaix | |
| 18 | Born-Wrangler-6223 | 189 | Alberto Bettiol | Flanders | |
| 18 | BSantos57 | 189 | David Gaudu | Lombardia | |
| 18 | Redskin44 | 189 | Pello Bilbao | Liège | |
| 21 | Funny-Substance5576 | 188 | Filippo Ganna | Worlds ITT | |
| 21 | paulindy2000 | 188 | Julian Alaphilippe | San Sebastian | |
| 21 | VeggieLegs21 | 188 | Marc Hirschi | Amstel | |
| 24 | Seabhac7 | 187 | Tom Pidcock | Suisse | |
| 25 | the_ginger27 | 180 | Steff Cras | Tour | |
| 26 | vrobrolf | 164 | Michael Matthews | Flanders | |
| 27 | AwakenTheBacon_ | 154 | Marc Soler | Itzulia | |
| ✬ | 27 | Divergee5 | 154 | Victor Lafay | Guangxi |
| 27 | LynniePinnie67 | 154 | Bauke Mollema | Worlds RR | |
| 27 | RaylanGivens8 | 154 | Tiesj Benoot | Liège | |
| 31 | JDdieSonne | 147 | Tao Geoghegan Hart | Romandie | |
| 32 | neo487666 | 142 | Attila Valter | UAE Tour | |
| 33 | arne-b | 140 | Dries van Gestel | Roubaix | |
| 33 | fewfiet | 140 | Adam Yates | Suisse | |
| 33 | Nussig | 140 | Adam Yates | Suisse | |
| 33 | Sappert | 140 | Luca Mozzato | Flanders | |
| 37 | CudoLanda | 136 | Felix Gall | Suisse | |
| 38 | Joder-tio | 135 | Mikel Landa | Tour | |
| 38 | wonderbeann | 135 | Mikel Landa | Tour | |
| 40 | djordastic | 133.3 | Daniel Martinez | Giro | |
| 40 | Solesticio | 133.3 | Daniel Martinez | Giro | |
| 42 | baat | 131 | Tom Pidcock | Strade | |
| ✬ | 43 | nahgoe16 | 130 | Giovanni Aleotti | Guangxi |
| 44 | DorHarris | 127 | Simon Yates | Romandie | |
| 45 | MrR2D | 124 | Giulio Pellizzari | Lombardia | |
| 46 | flemingo24 | 120 | Jonathan Milan | Gent | |
| 46 | Salty-Level | 120 | Matej Mohoric | Strade | |
| 46 | YourBeneluxOverlords | 120 | Remco Evenepoel | Tour | |
| 49 | SparkleCrotchLover | 112.5 | Antonio Tiberi | Giro | |
| 50 | Big_Mike_S | 112 | Juan Ayuso | Tirreno | |
| 51 | fetamorphasis | 110 | Kasper Asgreen | Worlds ITT | |
| 51 | Thomas1VL | 110 | Valentin Madouas | Amstel | |
| 53 | andytheciderman | 105 | Mathieu van der Poel | Liège | |
| 53 | ser-seaworth | 105 | Mads Pedersen | Roubaix | |
| 55 | LJSchoppert | 104 | Marc Hirschi | Olympic RR | |
| ✬ | 56 | bassmanyoowan | 102 | Ewen Costiou | Guangxi |
| 56 | LurkasM1 | 102 | Max Schachmann | Renewi Tour | |
| 56 | mcbirk | 102 | Joao Almeida | Catalunya | |
| 59 | Team_Telekom | 101 | Nils Politt | E3 | |
| 60 | NinaOneEight | 100 | Primoz Roglic | Vuelta | |
| 60 | paaulo | 100 | Joao Almeida | Tour | |
| 60 | Xcpa9 | 100 | Primoz Roglic | Vuelta | |
| 63 | iamczecksy | 93.3 | Remco Evenepoel | Lombardia | |
| 63 | mcrorigan | 93.3 | Remco Evenepoel | Lombardia | |
| 63 | runhaags1 | 93.3 | Matteo Jorgenson | Paris–Nice | |
| 63 | thecowhasmilk | 93.3 | Matteo Jorgenson | Paris–Nice | |
| 67 | DerpTrain | 90 | Tom Pidcock | Amstel | |
| 68 | Low-Finance-9556 | 87.5 | Tadej Pogacar | Worlds RR | |
| 68 | markp88 | 87.5 | Mathieu van der Poel | Roubaix | |
| 70 | Lxnnox | 84 | Jai Hindley | Tirreno | |
| 70 | TwistedWitch | 84 | Jai Hindley | Tirreno | |
| 72 | thebigscratch | 80 | Adam Yates | Tour | |
| 73 | maaiikeen | 75 | Tadej Pogacar | Tour | |
| 73 | narlano | 75 | Tadej Pogacar | Tour | |
| 73 | Wateroski | 75 | Tadej Pogacar | Tour | |
| 76 | burden321 | 72 | Kévin Vauquelin | Flèche | |
| 77 | BorisB98 | 70 | Michael Matthews | Sanremo | |
| 77 | detestrian | 70 | Mauri Vansevenant | Liège | |
| 77 | MadnessBeliever | 70 | Mauri Vansevenant | Liège | |
| 77 | Robcobes | 70 | Alexander Kristoff | Roubaix | |
| 81 | srjnp | 62.5 | Richard Carapaz | Vuelta | |
| 82 | Drazen | 60 | Remco Evenepoel | Olympic TT | |
| 82 | Yasunick | 60 | Remco Evenepoel | Olympic TT | |
| 84 | lukmanCZ | 56 | Primoz Roglic | Dauphiné | |
| 84 | Mucknuggle | 56 | Jonas Vingegaard | Tirreno | |
| 86 | Goutye | 53.3 | Ben O'Connor | UAE Tour | |
| 87 | Norskov | 53 | Tobias Lund Andresen | Cyclassics | |
| 88 | ich1maru | 50.5 | Remco Evenepoel | Dauphiné | |
| 89 | KhaledHisham_22 | 50 | David Gaudu | Vuelta | |
| 90 | beerdrinker_mavech | 48 | Ben Healy | Tour | |
| 91 | Fanaertismo | 45 | Benoît Cosnefroy | Flèche | |
| 92 | denali_11 | 41.7 | Tadej Pogacar | Giro | |
| 92 | ItsDqoi | 41.7 | Tadej Pogacar | Giro | |
| 92 | masterpierround | 41.7 | Tadej Pogacar | Giro | |
| 95 | ADW343 | 36 | Mathieu van der Poel | Gent | |
| 95 | GOLDUPGRADEPACKS | 36 | Felix Gall | Tour | |
| 97 | Randy_Manpipe | 35.7 | Ben O'Connor | Giro | |
| 98 | Miserable_Hour | 33.7 | Egan Bernal | Paris–Nice | |
| 99 | thelostknight99 | 33 | Luke Lamperti | De Panne | |
| 100 | Costinha3 | 30 | Isaac Del Toro | Down Under | |
| 100 | Darklight88 | 30 | Jasper Philipsen | Gent | |
| 100 | Short_Bus_ | 30 | Isaac Del Toro | Down Under | |
| 103 | Mattho | 26.7 | Julian Alaphilippe | Down Under | |
| 104 | KVMechelen | 26 | Carlos Rodriguez | Vuelta | |
| 104 | Revolution64 | 26 | Carlos Rodriguez | Vuelta | |
| 106 | bwong87 | 24.9 | Derek Gee | Tour | |
| 106 | Kbo007 | 24.9 | Derek Gee | Tour | |
| 108 | bizzileb1tch | 23.5 | Michael Matthews | Amstel | |
| 109 | PM_ME_COOL_IDEAS | 23.3 | Mattias Skjelmose | Paris–Nice | |
| 110 | tomatoincredible | 20.7 | Olav Kooij | Sanremo | |
| 111 | balinki | 12.5 | Ilan Van Wilder | Paris–Nice | |
| 112 | epi_counts | 12 | Tim Wellens | Strade | |
| 113 | aidikay | 10.3 | Simon Yates | Down Under | |
| 114 | K2daL | 7.7 | Quinn Simmons | Cadel Evans | |
| 114 | PITW | 7.7 | Quinn Simmons | Cadel Evans | |
| 116 | copycatrfl | 5 | Chris Harper | Down Under | |
| 117 | r_daveboiii | 3.6 | Aurélien Paret-Peintre | Giro | |
| 118 | unsatpat | 1.3 | Jai Hindley | Romandie |
Back to TopSymbols
✬ Made their best pick in the latest race

Saganth
Men's Single Rider Fantasy League 2024
STANDINGS
Awarded to the player who scores
the most points from riders who finished second
during the season
More Information
Last updated on October 28, 2024 for the Tour of Guangxi
| Rank | User | Score | Picks | Last Race Score | |
|---|---|---|---|---|---|
| 1 | yellow52 | 622 | 3 | ― | |
| 2 | ssfoxx27 | 396 | 1 | ― | |
| 2 | vbarrielle | 396 | 1 | ― | |
| 4 | Salty-Level | 267 | 3 | ― | |
| 5 | Sappert | 210 | 2 | ― | |
| 6 | AwakenTheBacon_ | 208.8 | 3 | ― | |
| 7 | Funny-Substance5576 | 188 | 1 | ― | |
| 7 | paulindy2000 | 188 | 1 | ― | |
| 7 | VeggieLegs21 | 188 | 1 | ― | |
| 10 | markp88 | 183.5 | 3 | ― | |
| 11 | burden321 | 182 | 3 | ― | |
| 12 | andytheciderman | 148.9 | 3 | ― | |
| 13 | YourBeneluxOverlords | 138.1 | 2 | ― | |
| 14 | beaker15 | 133.3 | 1 | ― | |
| 14 | djordastic | 133.3 | 1 | ― | |
| 14 | Solesticio | 133.3 | 1 | ― | |
| ✴ | 17 | BWallis17 | 132.7 | 3 | 26.7 |
| 18 | Xcpa9 | 132.6 | 3 | ― | |
| 19 | Divergee5 | 120 | 2 | ― | |
| 20 | Big_Mike_S | 112 | 1 | ― | |
| 20 | Judas_Bishop | 112 | 2 | ― | |
| ✴ | 22 | JDdieSonne | 107.6 | 4 | 26.7 |
| 23 | fewfiet | 93.7 | 3 | ― | |
| 24 | iamczecksy | 93.3 | 1 | ― | |
| 24 | mcrorigan | 93.3 | 1 | ― | |
| 26 | Kryziven | 82.6 | 3 | ― | |
| 27 | Team_Telekom | 80 | 1 | ― | |
| 28 | Ok_Chipmunk_3854 | 77 | 2 | ― | |
| 29 | narlano | 74.7 | 1 | ― | |
| 30 | arne-b | 72 | 1 | ― | |
| 30 | mcbirk | 72 | 1 | ― | |
| ✴ | 32 | LynniePinnie67 | 71.7 | 2 | 26.7 |
| 33 | BorisB98 | 70 | 1 | ― | |
| 34 | Seabhac7 | 68 | 2 | ― | |
| 35 | SparkleCrotchLover | 65 | 2 | ― | |
| 36 | RaylanGivens8 | 62.3 | 2 | ― | |
| 37 | fetamorphasis | 56 | 1 | ― | |
| 37 | nahgoe16 | 56 | 1 | ― | |
| 39 | Redskin44 | 54 | 2 | ― | |
| 40 | Goutye | 53.3 | 1 | ― | |
| 40 | Lxnnox | 53.3 | 1 | ― | |
| 42 | ser-seaworth | 45 | 1 | ― | |
| 43 | listenyall | 44.9 | 2 | ― | |
| 44 | Mucknuggle | 44.8 | 1 | ― | |
| 44 | vrobrolf | 44.8 | 1 | ― | |
| ✴ | 46 | BSantos57 | 39.6 | 2 | 26.7 |
| 47 | Nussig | 37.8 | 2 | ― | |
| 48 | ADW343 | 36 | 1 | ― | |
| 48 | Mattxps | 36 | 1 | ― | |
| 48 | Norskov | 36 | 1 | ― | |
| 51 | alpal2214 | 32 | 1 | ― | |
| 51 | Thomas1VL | 32 | 1 | ― | |
| 53 | srjnp | 28.8 | 1 | ― | |
| ✴ | 54 | sharkbait_hahaha | 26.7 | 1 | 26.7 |
| ✴ | 54 | Tuttle_not_Buttle | 26.7 | 1 | 26.7 |
| 56 | CudoLanda | 12.9 | 1 | ― | |
| 57 | bassmanyoowan | 9 | 1 | ― | |
| 57 | bizzileb1tch | 9 | 1 | ― | |
| 57 | Born-Wrangler-6223 | 9 | 1 | ― | |
| 57 | Darklight88 | 9 | 1 | ― | |
| 57 | the_ginger27 | 9 | 1 | ― |
Back to TopSymbols
✴ Scored points in the latest race

Lucky in Love
Men's Single Rider Fantasy League 2024
STANDINGS
Awarded to the player who scores
points in the most races
during the season
More Information
Last updated on October 28, 2024 for the Tour of Guangxi
| Rank | User | Successful Picks | Entries | |
|---|---|---|---|---|
| ⚘ | 1 | fewfiet | 33 | 39 |
| 2 | andytheciderman | 30 | 37 | |
| 3 | Tuttle_not_Buttle | 29 | 37 | |
| 4 | RaylanGivens8 | 28 | 36 | |
| ⚘ | 5 | Avila99 | 27 | 39 |
| 6 | Nussig | 27 | 37 | |
| ⚘ | 7 | BSantos57 | 26 | 39 |
| ⚘ | 7 | ssfoxx27 | 26 | 39 |
| 9 | Judas_Bishop | 26 | 38 | |
| 10 | Sappert | 26 | 37 | |
| 11 | BWallis17 | 26 | 36 | |
| 12 | wonderbeann | 25 | 38 | |
| 13 | YourBeneluxOverlords | 25 | 35 | |
| ⚘ | 14 | AwakenTheBacon_ | 24 | 39 |
| 15 | CudoLanda | 24 | 36 | |
| 16 | Thomas1VL | 24 | 35 | |
| 17 | yellow52 | 23 | 36 | |
| 18 | JDdieSonne | 23 | 35 | |
| 19 | nahgoe16 | 23 | 33 | |
| 20 | Divergee5 | 22 | 38 | |
| 21 | SparkleCrotchLover | 22 | 34 | |
| ⚘ | 22 | LynniePinnie67 | 21 | 39 |
| 23 | Team_Telekom | 21 | 37 | |
| 23 | vbarrielle | 21 | 37 | |
| 25 | arne-b | 21 | 36 | |
| 25 | MrR2D | 21 | 36 | |
| 27 | beaker15 | 21 | 32 | |
| ⚘ | 28 | paulindy2000 | 20 | 39 |
| 29 | alpal2214 | 20 | 34 | |
| 30 | Xcpa9 | 20 | 27 | |
| 31 | Salty-Level | 19 | 33 | |
| 32 | Ok_Chipmunk_3854 | 18 | 38 | |
| 33 | Redskin44 | 18 | 34 | |
| 34 | the_ginger27 | 18 | 26 | |
| 35 | Joder-tio | 17 | 27 | |
| 36 | sharkbait_hahaha | 17 | 24 | |
| 37 | markp88 | 17 | 23 | |
| 38 | ser-seaworth | 16 | 28 | |
| 39 | MadnessBeliever | 16 | 21 | |
| 40 | Eyeconoclastic | 15 | 36 | |
| 41 | burden321 | 15 | 33 | |
| 42 | DerpTrain | 15 | 28 | |
| 43 | djordastic | 14 | 25 | |
| 44 | Kryziven | 14 | 22 | |
| 45 | bassmanyoowan | 13 | 28 | |
| 46 | VeggieLegs21 | 13 | 23 | |
| 47 | DorHarris | 13 | 22 | |
| 47 | ZBGT | 13 | 22 | |
| 49 | vrobrolf | 13 | 21 | |
| 50 | LJSchoppert | 13 | 20 | |
| 51 | listenyall | 13 | 17 | |
| 52 | mcrorigan | 12 | 23 | |
| 53 | Lxnnox | 12 | 21 | |
| 53 | neo487666 | 12 | 21 | |
| 55 | Seabhac7 | 12 | 19 | |
| 56 | flemingo24 | 12 | 18 | |
| 57 | baat | 12 | 15 | |
| 57 | BorisB98 | 12 | 15 | |
| 59 | Goutye | 11 | 19 | |
| 59 | mcbirk | 11 | 19 | |
| 61 | iamczecksy | 11 | 16 | |
| 62 | Zeckesan | 10 | 25 | |
| 63 | masterpierround | 10 | 19 | |
| 64 | LurkasM1 | 10 | 18 | |
| 65 | narlano | 10 | 16 | |
| 66 | Mattxps | 8 | 20 | |
| 67 | runhaags1 | 8 | 17 | |
| 68 | Robcobes | 8 | 15 | |
| 69 | fetamorphasis | 8 | 13 | |
| 70 | bizzileb1tch | 7 | 14 | |
| 71 | detestrian | 6 | 24 | |
| 72 | Norskov | 6 | 14 | |
| 73 | Big_Mike_S | 6 | 12 | |
| 74 | Wateroski | 6 | 8 | |
| 75 | Miserable_Hour | 5 | 6 | |
| 76 | KhaledHisham_22 | 4 | 5 | |
| ⍟ | 77 | Mucknuggle | 4 | 4 |
| ⍟ | 77 | thebigscratch | 4 | 4 |
| ⍟ | 77 | thelostknight99 | 4 | 4 |
| 80 | TwistedWitch | 3 | 7 | |
| 81 | thecowhasmilk | 3 | 6 | |
| 82 | ADW343 | 3 | 5 | |
| 82 | Funny-Substance5576 | 3 | 5 | |
| 84 | Darklight88 | 3 | 4 | |
| ⍟ | 85 | Born-Wrangler-6223 | 3 | 3 |
| ⍟ | 85 | Fanaertismo | 3 | 3 |
| ⍟ | 85 | ItsDqoi | 3 | 3 |
| ⍟ | 85 | srjnp | 3 | 3 |
| 89 | paaulo | 2 | 4 | |
| 89 | Solesticio | 2 | 4 | |
| ⍟ | 91 | Drazen | 2 | 2 |
| ⍟ | 91 | lukmanCZ | 2 | 2 |
| ⍟ | 91 | Revolution64 | 2 | 2 |
| 94 | balinki | 1 | 3 | |
| 94 | epi_counts | 1 | 3 | |
| 94 | KVMechelen | 1 | 3 | |
| 94 | PITW | 1 | 3 | |
| 98 | K2daL | 1 | 2 | |
| 98 | NinaOneEight | 1 | 2 | |
| 98 | PM_ME_COOL_IDEAS | 1 | 2 | |
| ⍟ | 101 | aidikay | 1 | 1 |
| ⍟ | 101 | beerdrinker_mavech | 1 | 1 |
| ⍟ | 101 | bwong87 | 1 | 1 |
| ⍟ | 101 | copycatrfl | 1 | 1 |
| ⍟ | 101 | Costinha3 | 1 | 1 |
| ⍟ | 101 | denali_11 | 1 | 1 |
| ⍟ | 101 | GOLDUPGRADEPACKS | 1 | 1 |
| ⍟ | 101 | ich1maru | 1 | 1 |
| ⍟ | 101 | Kbo007 | 1 | 1 |
| ⍟ | 101 | Low-Finance-9556 | 1 | 1 |
| ⍟ | 101 | maaiikeen | 1 | 1 |
| ⍟ | 101 | Mattho | 1 | 1 |
| ⍟ | 101 | r_daveboiii | 1 | 1 |
| ⍟ | 101 | Randy_Manpipe | 1 | 1 |
| ⍟ | 101 | Short_Bus_ | 1 | 1 |
| ⍟ | 101 | tomatoincredible | 1 | 1 |
| ⍟ | 101 | unsatpat | 1 | 1 |
| ⍟ | 101 | Yasunick | 1 | 1 |
| ⛒ | 119 | Gta352 | 0 | 2 |
| ⛒ | 120 | alphaa_doge | 0 | 1 |
| ⛒ | 120 | bdrammel | 0 | 1 |
| ⛒ | 120 | CarltonKirbyTV | 0 | 1 |
| ⛒ | 120 | disambiguation | 0 | 1 |
| ⛒ | 120 | Flounder | 0 | 1 |
| ⛒ | 120 | iamthesnee | 0 | 1 |
| ⛒ | 120 | Lyx97 | 0 | 1 |
| ⛒ | 120 | Mieszko | 0 | 1 |
| ⛒ | 120 | MtLupus | 0 | 1 |
| ⛒ | 120 | mussekuuper | 0 | 1 |
| ⛒ | 120 | Pokesoulmaster | 0 | 1 |
| ⛒ | 120 | Positive_Ad2228 | 0 | 1 |
| ⛒ | 120 | Quaxcon | 0 | 1 |
Back to TopSymbols
⚘ Entered all races
⍟ Scored on all entries
⛒ SkunkedIn case of a tie...
The player who has made most picks wins

Love Struck
Men's Single Rider Fantasy League 2024
STANDINGS
Awarded to the player who scores
the most points from one rider
during the season
More Information
Last updated on October 28, 2024 for the Tour of Guangxi
| Rank | User | Score | Rider | Picks | Last Race Score | |
|---|---|---|---|---|---|---|
| 1 | vbarrielle | 529.4 | Valentin Madouas | 5 | ― | |
| 2 | Eyeconoclastic | 487.1 | Jasper Philipsen | 2 | ― | |
| 3 | sharkbait_hahaha | 476 | Christophe Laporte | 2 | ― | |
| 4 | YourBeneluxOverlords | 466.3 | Remco Evenepoel | 7 | ― | |
| 5 | fewfiet | 413.7 | Tadej Pogacar | 9 | ― | |
| 6 | beaker15 | 387.5 | Mattias Skjelmose | 3 | ― | |
| 7 | BWallis17 | 319 | Toms Skujins | 2 | ― | |
| 8 | Avila99 | 288.7 | Lennert Van Eetvelt | 2 | ― | |
| 9 | alpal2214 | 285 | Marc Hirschi | 2 | ― | |
| 10 | JDdieSonne | 282.5 | Matteo Jorgenson | 7 | ― | |
| 11 | Redskin44 | 234 | Pello Bilbao | 2 | ― | |
| ✴ | 12 | LurkasM1 | 226 | Max Schachmann | 5 | 8 |
| 13 | Nussig | 222.9 | Tadej Pogacar | 6 | ― | |
| 14 | paulindy2000 | 216 | Julian Alaphilippe | 2 | ― | |
| 15 | arne-b | 213.8 | Kévin Vauquelin | 3 | ― | |
| 16 | Team_Telekom | 212.7 | Nils Politt | 5 | ― | |
| 17 | Thomas1VL | 197.6 | Tadej Pogacar | 5 | ― | |
| 18 | BSantos57 | 194 | Tim Wellens | 2 | ― | |
| 19 | LynniePinnie67 | 193 | Bauke Mollema | 2 | ― | |
| 20 | djordastic | 176 | Primoz Roglic | 3 | ― | |
| 21 | RaylanGivens8 | 171.3 | Tiesj Benoot | 2 | ― | |
| 22 | Divergee5 | 169.8 | Mikel Landa | 3 | ― | |
| 23 | Wateroski | 159.6 | Tadej Pogacar | 3 | ― | |
| 24 | ssfoxx27 | 159 | Chris Harper | 2 | ― | |
| 25 | markp88 | 151.3 | Tadej Pogacar | 3 | ― | |
| 26 | Zeckesan | 149 | Lorenzo Fortunato | 2 | ― | |
| 27 | Salty-Level | 148 | Juan Ayuso | 2 | ― | |
| 28 | Kryziven | 134.7 | Tadej Pogacar | 3 | ― | |
| 29 | ser-seaworth | 126.5 | Mads Pedersen | 2 | ― | |
| 30 | andytheciderman | 122.3 | Tiesj Benoot | 3 | ― | |
| 31 | Sappert | 116.7 | Tadej Pogacar | 2 | ― | |
| 32 | Xcpa9 | 112.2 | Primoz Roglic | 2 | ― | |
| 33 | thecowhasmilk | 106.8 | Matteo Jorgenson | 2 | ― | |
| 34 | narlano | 103.6 | Tadej Pogacar | 2 | ― | |
| 35 | Lxnnox | 91.5 | Jai Hindley | 3 | ― | |
| 36 | Tuttle_not_Buttle | 90 | Einer Rubio | 2 | ― | |
| 37 | MrR2D | 86.7 | Ilan Van Wilder | 2 | ― | |
| 38 | Joder-tio | 86 | Tadej Pogacar | 3 | ― | |
| 39 | Judas_Bishop | 79 | Mike Teunissen | 3 | ― | |
| 40 | SparkleCrotchLover | 78.3 | Joao Almeida | 2 | ― | |
| 41 | Goutye | 76.2 | Stefan Küng | 5 | ― | |
| 42 | Ok_Chipmunk_3854 | 74.5 | Enric Mas | 2 | ― | |
| 43 | yellow52 | 72.9 | Tadej Pogacar | 3 | ― | |
| 44 | neo487666 | 70.3 | Tadej Pogacar | 2 | ― | |
| 45 | iamczecksy | 68 | Tadej Pogacar | 2 | ― | |
| 46 | CudoLanda | 65.5 | Pello Bilbao | 2 | ― | |
| 47 | ItsDqoi | 59.7 | Tadej Pogacar | 2 | ― | |
| 47 | masterpierround | 59.7 | Tadej Pogacar | 2 | ― | |
| 49 | nahgoe16 | 49 | Ben Healy | 2 | ― | |
| 50 | BorisB98 | 45.8 | Aleksandr Vlasov | 2 | ― | |
| 51 | wonderbeann | 40.4 | Wout Poels | 3 | ― | |
| 52 | DorHarris | 39.7 | Dylan Teuns | 2 | ― | |
| 53 | mcrorigan | 30.5 | Matteo Trentin | 2 | ― | |
| 54 | bassmanyoowan | 30.2 | Stefan Küng | 3 | ― | |
| 55 | MadnessBeliever | 27 | Egan Bernal | 2 | ― | |
| 56 | DerpTrain | 11.9 | Valentin Madouas | 2 | ― |
Back to TopSymbols
✴ Scored points in the latest raceEligibility
Only successful picks are counted.
Must score points with one rider in a minimum of two races

My One and Only
My One
and Only
Men's Single Rider Fantasy League 2024
STANDINGS
Awarded to the player who makes
the most unique picks
during the season
More Information
Last updated on October 28, 2024 for the Tour of Guangxi
| Rank | User | Unique Picks | Unique Entries | Unique Score | Latest Unique Entry | Race | Result | |
|---|---|---|---|---|---|---|---|---|
| ✪ | 1 | nahgoe16 | 15 | 20 | 884 | Giovanni Aleotti | Guangxi | 130 |
| 2 | Judas_Bishop | 9 | 16 | 736 | Attila Valter | Lombardia | 0 | |
| ⊛ | 3 | AwakenTheBacon_ | 9 | 14 | 751 | Jan Hirt | Guangxi | 0 |
| 4 | sharkbait_hahaha | 8 | 13 | 1227 | Aleksandr Vlasov | Lombardia | 0 | |
| 5 | Tuttle_not_Buttle | 8 | 8 | 688 | Ben Healy | Worlds RR | 222 | |
| 6 | Avila99 | 7 | 13 | 856 | Lennert Van Eetvelt | Lombardia | 222 | |
| ✪ | 7 | wonderbeann | 6 | 12 | 214 | Lorenzo Fortunato | Guangxi | 110 |
| 8 | ssfoxx27 | 6 | 10 | 868 | Ben O'Connor | Worlds RR | 396 | |
| 9 | vbarrielle | 6 | 10 | 799 | Valentin Madouas | Quebec | 0 | |
| ✪ | 10 | RaylanGivens8 | 6 | 9 | 432 | Felix Großschartner | Guangxi | 88 |
| 11 | BWallis17 | 6 | 8 | 633 | Lorenzo Fortunato | Lombardia | 90 | |
| 12 | arne-b | 5 | 14 | 463 | Clément Champoussin | Lombardia | 0 | |
| 13 | ZBGT | 5 | 12 | 437 | Santiago Buitrago | Tour | 282 | |
| 14 | andytheciderman | 5 | 8 | 256 | Tiesj Benoot | Montreal | 72 | |
| ✪ | 15 | LurkasM1 | 5 | 8 | 241 | Max Schachmann | Guangxi | 8 |
| 16 | LynniePinnie67 | 4 | 11 | 506 | Bauke Mollema | Worlds RR | 154 | |
| 17 | Sappert | 4 | 11 | 158 | Biniam Girmay | Montreal | 0 | |
| 18 | paulindy2000 | 4 | 10 | 318 | Valentin Madouas | Lombardia | 0 | |
| ⊛ | 19 | Team_Telekom | 4 | 10 | 290 | Milan Vader | Guangxi | 0 |
| ⊛ | 20 | Salty-Level | 4 | 9 | 394 | Iván García Cortina | Guangxi | 0 |
| 21 | Redskin44 | 4 | 8 | 403 | Sean Quinn | Lombardia | 0 | |
| 22 | ser-seaworth | 4 | 8 | 280 | Michael Woods | San Sebastian | 93 | |
| 23 | MrR2D | 4 | 7 | 282 | Giulio Pellizzari | Lombardia | 124 | |
| 24 | beaker15 | 4 | 4 | 540 | Jai Hindley | Montreal | 57 | |
| ✪ | 25 | bassmanyoowan | 3 | 12 | 250 | Ewen Costiou | Guangxi | 102 |
| 26 | Eyeconoclastic | 3 | 9 | 494 | Ben Healy | Montreal | 18 | |
| 27 | the_ginger27 | 3 | 8 | 278 | Jasper Stuyven | Olympic RR | 70 | |
| 28 | mcbirk | 3 | 8 | 168 | Lucas Plapp | Giro | 0 | |
| 29 | LJSchoppert | 3 | 7 | 225 | Andrea Bagioli | Montreal | 42 | |
| 30 | flemingo24 | 3 | 5 | 229 | Oscar Onley | Tour | 0 | |
| 31 | DorHarris | 3 | 4 | 210 | Simon Yates | Romandie | 127 | |
| 32 | CudoLanda | 3 | 4 | 181 | Corbin Strong | Quebec | 0 | |
| 33 | Mattxps | 2 | 10 | 444 | Max Poole | Vuelta | 0 | |
| 34 | Norskov | 2 | 9 | 89 | Alexander Kamp | Montreal | 0 | |
| 35 | DerpTrain | 2 | 9 | 64 | Dorian Godon | Cyclassics | 24 | |
| 36 | VeggieLegs21 | 2 | 8 | 273 | Pello Bilbao | San Sebastian | 0 | |
| 37 | Lxnnox | 2 | 6 | 86 | Jakob Fuglsang | Pologne | 40 | |
| 38 | Zeckesan | 2 | 5 | 358 | Isaac del Toro | Vuelta | 0 | |
| 39 | Thomas1VL | 2 | 5 | 170 | Pello Bilbao | Pologne | 0 | |
| 40 | fetamorphasis | 2 | 5 | 118 | Adam Yates | Worlds RR | 8 | |
| 41 | BSantos57 | 2 | 4 | 343 | David Gaudu | Lombardia | 189 | |
| 42 | neo487666 | 2 | 4 | 181 | Jan Tratnik | Romandie | 0 | |
| 43 | JDdieSonne | 2 | 4 | 174 | Georg Zimmermann | Frankfurt | 27 | |
| 44 | SparkleCrotchLover | 2 | 3 | 143 | Tiesj Benoot | Olympic RR | 0 | |
| 45 | BorisB98 | 2 | 3 | 75 | Luke Lamperti | Dwars | 0 | |
| 46 | MadnessBeliever | 2 | 3 | 67 | Gianni Vermeersch | Amstel | 0 | |
| 47 | listenyall | 2 | 2 | 262 | Mattias Skjelmose | Olympic TT | 58 | |
| 48 | baat | 2 | 2 | 139 | Fred Wright | Sanremo | 8 | |
| ⊛ | 49 | Ok_Chipmunk_3854 | 1 | 7 | 204 | Alexey Lutsenko | Guangxi | 0 |
| 50 | yellow52 | 1 | 6 | 545 | Stephen Williams | Quebec | 0 | |
| 51 | alpal2214 | 1 | 6 | 225 | Tom Pidcock | Lombardia | 0 | |
| ✪ | 52 | Divergee5 | 1 | 5 | 154 | Victor Lafay | Guangxi | 154 |
| 53 | vrobrolf | 1 | 3 | 164 | Adrien Petit | Roubaix | 0 | |
| 54 | Funny-Substance5576 | 1 | 2 | 188 | Filippo Ganna | Worlds ITT | 188 | |
| 55 | Seabhac7 | 1 | 2 | 187 | Tom Pidcock | Suisse | 187 | |
| 56 | ADW343 | 1 | 2 | 28 | Alberto Bettiol | Roubaix | 0 | |
| 57 | KhaledHisham_22 | 1 | 2 | 10 | Mauri Vansevenant | Giro | 10 | |
| 58 | Kryziven | 1 | 1 | 204 | Jasper Stuyven | Sanremo | 204 | |
| 59 | Born-Wrangler-6223 | 1 | 1 | 189 | Alberto Bettiol | Flanders | 189 | |
| 60 | Robcobes | 1 | 1 | 70 | Alexander Kristoff | Roubaix | 70 | |
| 61 | srjnp | 1 | 1 | 50 | Brandon McNulty | Olympic RR | 50 | |
| 62 | beerdrinker_mavech | 1 | 1 | 48 | Ben Healy | Tour | 48 | |
| 63 | thelostknight99 | 1 | 1 | 33 | Luke Lamperti | De Panne | 33 | |
| 64 | paaulo | 1 | 1 | 20 | António Morgado | Omloop | 20 | |
| 65 | Miserable_Hour | 1 | 1 | 12 | Jan Hirt | UAE Tour | 12 | |
| 66 | detestrian | 0 | 8 | 0 | Thibau Nys | Suisse | 0 | |
| 67 | burden321 | 0 | 7 | 0 | Giulio Ciccone | Vuelta | 0 | |
| 68 | mcrorigan | 0 | 6 | 0 | Joao Almeida | Flèche | 0 | |
| 69 | masterpierround | 0 | 4 | 0 | Ion Izagirre | Amstel | 0 | |
| 70 | runhaags1 | 0 | 3 | 0 | Jan Hirt | Tour | 0 | |
| 70 | narlano | 0 | 3 | 0 | Roger Adriá | Suisse | 0 | |
| 70 | djordastic | 0 | 3 | 0 | Jai Hindley | Liège | 0 | |
| 70 | TwistedWitch | 0 | 3 | 0 | Nico Denz | Flanders | 0 | |
| 74 | iamczecksy | 0 | 2 | 0 | Stephen Williams | Worlds RR | 0 | |
| 74 | markp88 | 0 | 2 | 0 | Alex Aranburu | San Sebastian | 0 | |
| 74 | Big_Mike_S | 0 | 2 | 0 | Oier Lazkano | Dwars | 0 | |
| 74 | Xcpa9 | 0 | 2 | 0 | Biniam Girmay | Dwars | 0 | |
| 74 | thecowhasmilk | 0 | 2 | 0 | Laurenz Rex | De Panne | 0 | |
| 74 | PITW | 0 | 2 | 0 | Warre Vangheluwe | Omloop | 0 | |
| 74 | Wateroski | 0 | 2 | 0 | Piet Allegaert | Omloop | 0 | |
| ⊛ | 81 | Nussig | 0 | 1 | 0 | Emanuel Buchmann | Guangxi | 0 |
| 81 | YourBeneluxOverlords | 0 | 1 | 0 | Cian Uijtdebroeks | Vuelta | 0 | |
| 81 | epi_counts | 0 | 1 | 0 | Fred Wright | Olympic RR | 0 | |
| 81 | Solesticio | 0 | 1 | 0 | Rui Costa | Olympic RR | 0 | |
| 81 | Flounder | 0 | 1 | 0 | Wout van Aert | Tour | 0 | |
| 81 | MtLupus | 0 | 1 | 0 | Silvan Dillier | Tour | 0 | |
| 81 | Pokesoulmaster | 0 | 1 | 0 | Bryan Coquard | Tour | 0 | |
| 81 | bizzileb1tch | 0 | 1 | 0 | Pedro Lopez Juan | Giro | 0 | |
| 81 | KVMechelen | 0 | 1 | 0 | Matteo Fabbro | Giro | 0 | |
| 81 | Quaxcon | 0 | 1 | 0 | Hugo Hofstetter | Giro | 0 | |
| 81 | Joder-tio | 0 | 1 | 0 | Raúl García | Catalunya | 0 | |
| 81 | disambiguation | 0 | 1 | 0 | Leo Hayter | Cadel Evans | 0 | |
| 81 | Gta352 | 0 | 1 | 0 | Leo Hayter | Down Under | 0 | |
| 81 | K2daL | 0 | 1 | 0 | Harry Sweeny | Down Under | 0 |
Back to TopSymbols
✪ Made a unique pick in the latest race
⊛ Made a unique entry in the latest raceEligibility
Unique picks are made by just one player or less than 1% of all players in a race.In case of a tie...
The player who has made most unique entries wins.
If players are still tied, the player whose unique picks scored the most points wins.

Heart of Gold
Men's Single Rider Fantasy League 2024
STANDINGS
Awarded to the player who earns
the most podium finishes
during the season
More Information
Last updated on October 28, 2024 for the Tour of Guangxi
| Rank | User | Podiums | Firsts | Seconds | Thirds | Podium Points | Latest Podium | |
|---|---|---|---|---|---|---|---|---|
| 1 | AwakenTheBacon_ | 6 | 3 | 2 | 1 | 635 | Montreal | |
| 2 | ssfoxx27 | 6 | 3 | 0 | 3 | 868 | Worlds RR | |
| 3 | Tuttle_not_Buttle | 5 | 2 | 0 | 3 | 611 | Worlds RR | |
| 4 | sharkbait_hahaha | 5 | 1 | 1 | 3 | 932 | Vuelta | |
| 5 | Team_Telekom | 5 | 1 | 0 | 4 | 355.5 | Renewi Tour | |
| ✴ | 6 | nahgoe16 | 5 | 0 | 4 | 1 | 488 | Guangxi |
| 7 | Avila99 | 4 | 3 | 1 | 0 | 697 | Lombardia | |
| 8 | Judas_Bishop | 4 | 2 | 1 | 1 | 550 | Giro | |
| 9 | Salty-Level | 4 | 1 | 2 | 1 | 441 | Quebec | |
| 10 | Nussig | 4 | 1 | 2 | 1 | 350 | Bretagne | |
| 11 | RaylanGivens8 | 4 | 0 | 4 | 0 | 338 | Quebec | |
| 12 | arne-b | 4 | 0 | 2 | 2 | 383 | Flèche | |
| 13 | BSantos57 | 4 | 0 | 2 | 2 | 322.3 | Lombardia | |
| 14 | andytheciderman | 4 | 0 | 0 | 4 | 290.3 | Montreal | |
| 15 | vbarrielle | 3 | 2 | 0 | 1 | 650 | Pologne | |
| 16 | Mattxps | 3 | 2 | 0 | 1 | 556.5 | Giro | |
| 17 | LurkasM1 | 3 | 1 | 1 | 1 | 224.5 | Renewi Tour | |
| 18 | ZBGT | 3 | 1 | 0 | 2 | 419 | Tour | |
| 19 | mcbirk | 3 | 1 | 0 | 2 | 227 | Catalunya | |
| 20 | Thomas1VL | 3 | 0 | 2 | 1 | 210 | Quebec | |
| 21 | BWallis17 | 3 | 0 | 1 | 2 | 493 | Worlds RR | |
| 22 | alpal2214 | 2 | 2 | 0 | 0 | 285 | Bretagne | |
| 23 | LynniePinnie67 | 2 | 2 | 0 | 0 | 242 | Dwars | |
| 24 | paulindy2000 | 2 | 1 | 1 | 0 | 289 | San Sebastian | |
| 25 | flemingo24 | 2 | 1 | 1 | 0 | 187 | Gent | |
| 26 | JDdieSonne | 2 | 1 | 0 | 1 | 240.3 | Romandie | |
| 27 | beaker15 | 2 | 0 | 2 | 0 | 488.3 | Vuelta | |
| 28 | Zeckesan | 2 | 0 | 2 | 0 | 358 | Tour | |
| 29 | Sappert | 2 | 0 | 2 | 0 | 132 | Frankfurt | |
| 30 | Ok_Chipmunk_3854 | 2 | 0 | 1 | 1 | 237.3 | Roubaix | |
| 31 | djordastic | 2 | 0 | 1 | 1 | 223.3 | Giro | |
| 32 | MrR2D | 2 | 0 | 1 | 1 | 188 | Lombardia | |
| 33 | DorHarris | 2 | 0 | 1 | 1 | 157 | Romandie | |
| 34 | YourBeneluxOverlords | 2 | 0 | 0 | 2 | 165 | Olympic TT | |
| 35 | DerpTrain | 2 | 0 | 0 | 2 | 130 | Amstel | |
| 36 | yellow52 | 1 | 1 | 0 | 0 | 545 | Vuelta | |
| 37 | Eyeconoclastic | 1 | 1 | 0 | 0 | 470 | Sanremo | |
| 38 | Redskin44 | 1 | 1 | 0 | 0 | 189 | Liège | |
| 39 | Funny-Substance5576 | 1 | 1 | 0 | 0 | 188 | Worlds ITT | |
| 39 | VeggieLegs21 | 1 | 1 | 0 | 0 | 188 | Amstel | |
| ✴ | 41 | Divergee5 | 1 | 1 | 0 | 0 | 154 | Guangxi |
| 42 | neo487666 | 1 | 1 | 0 | 0 | 142 | UAE Tour | |
| 43 | baat | 1 | 1 | 0 | 0 | 131 | Strade | |
| 44 | BorisB98 | 1 | 1 | 0 | 0 | 43 | Omloop | |
| 45 | Kryziven | 1 | 0 | 1 | 0 | 204 | Sanremo | |
| 46 | Born-Wrangler-6223 | 1 | 0 | 1 | 0 | 189 | Flanders | |
| 47 | Seabhac7 | 1 | 0 | 1 | 0 | 187 | Suisse | |
| 48 | Solesticio | 1 | 0 | 1 | 0 | 133.3 | Giro | |
| 49 | fetamorphasis | 1 | 0 | 1 | 0 | 110 | Worlds ITT | |
| 50 | ser-seaworth | 1 | 0 | 1 | 0 | 78 | Dauphiné | |
| 51 | burden321 | 1 | 0 | 1 | 0 | 72 | Flèche | |
| 52 | Norskov | 1 | 0 | 1 | 0 | 53 | Cyclassics | |
| 53 | listenyall | 1 | 0 | 0 | 1 | 204 | Olympic RR | |
| 54 | vrobrolf | 1 | 0 | 0 | 1 | 164 | Flanders | |
| 55 | fewfiet | 1 | 0 | 0 | 1 | 140 | Suisse | |
| 56 | SparkleCrotchLover | 1 | 0 | 0 | 1 | 112.5 | Giro | |
| 57 | Big_Mike_S | 1 | 0 | 0 | 1 | 112 | Tirreno | |
| ✴ | 58 | wonderbeann | 1 | 0 | 0 | 1 | 110 | Guangxi |
| 59 | runhaags1 | 1 | 0 | 0 | 1 | 93.3 | Paris–Nice | |
| 59 | thecowhasmilk | 1 | 0 | 0 | 1 | 93.3 | Paris–Nice | |
| 61 | Drazen | 1 | 0 | 0 | 1 | 60 | Olympic TT | |
| 61 | Yasunick | 1 | 0 | 0 | 1 | 60 | Olympic TT | |
| 63 | detestrian | 1 | 0 | 0 | 1 | 33.3 | Itzulia | |
| 63 | MadnessBeliever | 1 | 0 | 0 | 1 | 33.3 | Itzulia | |
| 63 | mcrorigan | 1 | 0 | 0 | 1 | 33.3 | Itzulia |
Back to TopSymbols
✴ Finished on the podium last race.Eligibility
A podium pick is one of the three highest scores in a race regardless of how many players share that score.In case of a tie...
The player with the most first, then second, then third place finishes wins.
If players are still tied, the player who has earned more points from podium finishes wins.
Vuelta a España
Men's Single Rider Fantasy League 2024
Entries
Players
A total of 59 players entered:
| User | Pick | Base | Bonus | Score |
|---|---|---|---|---|
| AwakenTheBacon_ | Adam Yates | ― | ― | ― |
| JDdieSonne | Adam Yates | ― | ― | ― |
| listenyall | Adam Yates | ― | ― | ― |
| nahgoe16 | Adam Yates | ― | ― | ― |
| RaylanGivens8 | Adam Yates | ― | ― | ― |
| Tuttle_not_Buttle | Adam Yates | ― | ― | ― |
| BSantos57 | Joao Almeida | ― | ― | ― |
| paaulo | Joao Almeida | ― | ― | ― |
| Solesticio | Joao Almeida | ― | ― | ― |
| SparkleCrotchLover | Joao Almeida | ― | ― | ― |
| Thomas1VL | Joao Almeida | ― | ― | ― |
| bassmanyoowan | Carlos Rodriguez | ― | ― | ― |
| Eyeconoclastic | Carlos Rodriguez | ― | ― | ― |
| KVMechelen | Carlos Rodriguez | ― | ― | ― |
| Ok_Chipmunk_3854 | Carlos Rodriguez | ― | ― | ― |
| Revolution64 | Carlos Rodriguez | ― | ― | ― |
| djordastic | Primoz Roglic | ― | ― | ― |
| fewfiet | Primoz Roglic | ― | ― | ― |
| Joder-tio | Primoz Roglic | ― | ― | ― |
| NinaOneEight | Primoz Roglic | ― | ― | ― |
| Xcpa9 | Primoz Roglic | ― | ― | ― |
| andytheciderman | Richard Carapaz | ― | ― | ― |
| LurkasM1 | Richard Carapaz | ― | ― | ― |
| Lxnnox | Richard Carapaz | ― | ― | ― |
| srjnp | Richard Carapaz | ― | ― | ― |
| Judas_Bishop | David Gaudu | ― | ― | ― |
| KhaledHisham_22 | David Gaudu | ― | ― | ― |
| ser-seaworth | David Gaudu | ― | ― | ― |
| vbarrielle | David Gaudu | ― | ― | ― |
| fetamorphasis | Thymen Arensman | ― | ― | ― |
| runhaags1 | Thymen Arensman | ― | ― | ― |
| Salty-Level | Thymen Arensman | ― | ― | ― |
| Avila99 | Mikel Landa | ― | ― | ― |
| BWallis17 | Mikel Landa | ― | ― | ― |
| Divergee5 | Mikel Landa | ― | ― | ― |
| CudoLanda | Enric Mas | ― | ― | ― |
| Funny-Substance5576 | Enric Mas | ― | ― | ― |
| Nussig | Enric Mas | ― | ― | ― |
| alpal2214 | Felix Gall | ― | ― | ― |
| LJSchoppert | Felix Gall | ― | ― | ― |
| LynniePinnie67 | Tao Geoghegan Hart | ― | ― | ― |
| MrR2D | Tao Geoghegan Hart | ― | ― | ― |
| iamczecksy | Sepp Kuss | ― | ― | ― |
| Team_Telekom | Sepp Kuss | ― | ― | ― |
| arne-b | Cristian Rodriguez | ― | ― | ― |
| mcrorigan | Cristian Rodriguez | ― | ― | ― |
| DerpTrain | Lennert Van Eetvelt | ― | ― | ― |
| ssfoxx27 | Lennert Van Eetvelt | ― | ― | ― |
| burden321 | Giulio Ciccone | ― | ★ | ― |
| Zeckesan | Isaac del Toro | ― | ★ | ― |
| sharkbait_hahaha | Guillaume Martin | ― | ★ | ― |
| Redskin44 | Louis Meintjes | ― | ★ | ― |
| yellow52 | Ben O'Connor | ― | ★ | ― |
| paulindy2000 | Valentin Paret-Peintre | ― | ★ | ― |
| Mattxps | Max Poole | ― | ★ | ― |
| Sappert | Matthew Riccitello | ― | ★ | ― |
| beaker15 | Mattias Skjelmose | ― | ★ | ― |
| YourBeneluxOverlords | Cian Uijtdebroeks | ― | ★ | ― |
| wonderbeann | Filippo Zana | ― | ★ | ― |
Riders
A total of 25 riders were picked:
| Rank | Rider | Picks | Base | Bonus |
|---|---|---|---|---|
| ― | Adam Yates | 6 | ― | ― |
| ― | Joao Almeida | 5 | ― | ― |
| ― | Carlos Rodriguez | 5 | ― | ― |
| ― | Primoz Roglic | 5 | ― | ― |
| ― | Richard Carapaz | 4 | ― | ― |
| ― | David Gaudu | 4 | ― | ― |
| ― | Thymen Arensman | 3 | ― | ― |
| ― | Mikel Landa | 3 | ― | ― |
| ― | Enric Mas | 3 | ― | ― |
| ― | Felix Gall | 2 | ― | ― |
| ― | Tao Geoghegan Hart | 2 | ― | ― |
| ― | Sepp Kuss | 2 | ― | ― |
| ― | Cristian Rodriguez | 2 | ― | ― |
| ― | Lennert Van Eetvelt | 2 | ― | ― |
| ― | Giulio Ciccone | 1 | ― | ★ |
| ― | Isaac del Toro | 1 | ― | ★ |
| ― | Guillaume Martin | 1 | ― | ★ |
| ― | Louis Meintjes | 1 | ― | ★ |
| ― | Ben O'Connor | 1 | ― | ★ |
| ― | Valentin Paret-Peintre | 1 | ― | ★ |
| ― | Max Poole | 1 | ― | ★ |
| ― | Matthew Riccitello | 1 | ― | ★ |
| ― | Mattias Skjelmose | 1 | ― | ★ |
| ― | Cian Uijtdebroeks | 1 | ― | ★ |
| ― | Filippo Zana | 1 | ― | ★ |
Renewi Tour
Men's Single Rider Fantasy League 2024
Entries
Players
A total of 39 players entered:
| User | Pick | Base | Bonus | Score |
|---|---|---|---|---|
| fewfiet | Mathieu van der Poel | ― | ― | ― |
| Joder-tio | Mathieu van der Poel | ― | ― | ― |
| Nussig | Mathieu van der Poel | ― | ― | ― |
| Tuttle_not_Buttle | Mathieu van der Poel | ― | ― | ― |
| YourBeneluxOverlords | Mathieu van der Poel | ― | ― | ― |
| BSantos57 | Tim Wellens | ― | ― | ― |
| Eyeconoclastic | Tim Wellens | ― | ― | ― |
| Ok_Chipmunk_3854 | Tim Wellens | ― | ― | ― |
| Sappert | Tim Wellens | ― | ― | ― |
| ssfoxx27 | Tim Wellens | ― | ― | ― |
| beaker15 | Biniam Girmay | ― | ― | ― |
| Divergee5 | Biniam Girmay | ― | ― | ― |
| Salty-Level | Biniam Girmay | ― | ― | ― |
| CudoLanda | Filippo Ganna | ― | ― | ― |
| iamczecksy | Filippo Ganna | ― | ― | ― |
| Avila99 | Matej Mohoric | ― | ― | ― |
| Thomas1VL | Matej Mohoric | ― | ― | ― |
| JDdieSonne | Nils Politt | ― | ― | ― |
| listenyall | Nils Politt | ― | ― | ― |
| alpal2214 | Matteo Trentin | ― | ― | ― |
| markp88 | Matteo Trentin | ― | ― | ― |
| burden321 | Axel Zingle | ― | ― | ― |
| paulindy2000 | Axel Zingle | ― | ― | ― |
| yellow52 | Kragh Andersen Søren | ― | ★ | ― |
| RaylanGivens8 | Stefan Bissegger | ― | ★ | ― |
| andytheciderman | Mikkel Bjerg | ― | ★ | ― |
| fetamorphasis | Arnaud De Lie | ― | ★ | ― |
| LynniePinnie67 | Hartthijs de Vries | ― | ★ | ― |
| bassmanyoowan | Yves Lampaert | ― | ★ | ― |
| sharkbait_hahaha | Christophe Laporte | ― | ★ | ― |
| arne-b | Matis Louvel | ― | ★ | ― |
| vbarrielle | Valentin Madouas | ― | ★ | ― |
| nahgoe16 | Oliver Naesen | ― | ★ | ― |
| LurkasM1 | Max Schachmann | ― | ★ | ― |
| BWallis17 | Magnus Sheffield | ― | ★ | ― |
| AwakenTheBacon_ | Jasper Stuyven | ― | ★ | ― |
| Judas_Bishop | Mike Teunissen | ― | ★ | ― |
| Team_Telekom | Ilan Van Wilder | ― | ★ | ― |
| wonderbeann | Kévin Vauquelin | ― | ★ | ― |
Riders
A total of 24 riders were picked:
| Rank | Rider | Picks | Base | Bonus |
|---|---|---|---|---|
| ― | Mathieu van der Poel | 5 | ― | ― |
| ― | Tim Wellens | 5 | ― | ― |
| ― | Biniam Girmay | 3 | ― | ― |
| ― | Filippo Ganna | 2 | ― | ― |
| ― | Matej Mohoric | 2 | ― | ― |
| ― | Nils Politt | 2 | ― | ― |
| ― | Matteo Trentin | 2 | ― | ― |
| ― | Axel Zingle | 2 | ― | ― |
| ― | Kragh Andersen Søren | 1 | ― | ★ |
| ― | Stefan Bissegger | 1 | ― | ★ |
| ― | Mikkel Bjerg | 1 | ― | ★ |
| ― | Arnaud De Lie | 1 | ― | ★ |
| ― | Hartthijs de Vries | 1 | ― | ★ |
| ― | Yves Lampaert | 1 | ― | ★ |
| ― | Christophe Laporte | 1 | ― | ★ |
| ― | Matis Louvel | 1 | ― | ★ |
| ― | Valentin Madouas | 1 | ― | ★ |
| ― | Oliver Naesen | 1 | ― | ★ |
| ― | Max Schachmann | 1 | ― | ★ |
| ― | Magnus Sheffield | 1 | ― | ★ |
| ― | Jasper Stuyven | 1 | ― | ★ |
| ― | Mike Teunissen | 1 | ― | ★ |
| ― | Ilan Van Wilder | 1 | ― | ★ |
| ― | Kévin Vauquelin | 1 | ― | ★ |
Il Lombardia
Single Rider Fantasy League 2024
Results
Players
A total of 40 players entered:
| User | Pick | Base | Bonus | Score |
|---|---|---|---|---|
| Avila99 | Lennert Van Eetvelt | 126 | 96 | 222 |
| BSantos57 | David Gaudu | 101 | 88 | 189 |
| MrR2D | Giulio Pellizzari | 62 | 62 | 124 |
| iamczecksy | Remco Evenepoel | 93.3 | 0 | 93.3 |
| mcrorigan | Remco Evenepoel | 93.3 | 0 | 93.3 |
| YourBeneluxOverlords | Remco Evenepoel | 93.3 | 0 | 93.3 |
| BWallis17 | Lorenzo Fortunato | 45 | 45 | 90 |
| Salty-Level | Enric Mas | 79 | 0 | 79 |
| Team_Telekom | Enric Mas | 79 | 0 | 79 |
| beaker15 | Tadej Pogacar | 58.3 | 0 | 58.3 |
| fewfiet | Tadej Pogacar | 58.3 | 0 | 58.3 |
| markp88 | Tadej Pogacar | 58.3 | 0 | 58.3 |
| Nussig | Tadej Pogacar | 58.3 | 0 | 58.3 |
| Thomas1VL | Tadej Pogacar | 58.3 | 0 | 58.3 |
| vbarrielle | Tadej Pogacar | 58.3 | 0 | 58.3 |
| LynniePinnie67 | Bauke Mollema | 39 | 0 | 39 |
| Sappert | Bauke Mollema | 39 | 0 | 39 |
| ssfoxx27 | Michael Storer | 35 | 0 | 35 |
| Tuttle_not_Buttle | Michael Storer | 35 | 0 | 35 |
| wonderbeann | Davide Piganzoli | 10 | 10 | 20 |
| sharkbait_hahaha | Aleksandr Vlasov | 0 | 0 | 0 |
| listenyall | Andrea Bagioli | 0 | 0 | 0 |
| LJSchoppert | Andrea Bagioli | 0 | 0 | 0 |
| Ok_Chipmunk_3854 | Antonio Tiberi | 0 | 0 | 0 |
| Judas_Bishop | Attila Valter | 0 | 0 | 0 |
| Divergee5 | Bart Lemmen | 0 | 0 | 0 |
| Eyeconoclastic | Bart Lemmen | 0 | 0 | 0 |
| arne-b | Clément Champoussin | 0 | 0 | 0 |
| JDdieSonne | Florian Lipowitz | 0 | 0 | 0 |
| LurkasM1 | Florian Lipowitz | 0 | 0 | 0 |
| AwakenTheBacon_ | Michael Woods | 0 | 0 | 0 |
| yellow52 | Michael Woods | 0 | 0 | 0 |
| RaylanGivens8 | Romain Bardet | 0 | 0 | 0 |
| Redskin44 | Sean Quinn | 0 | 0 | 0 |
| andytheciderman | Simon Yates | 0 | 0 | 0 |
| CudoLanda | Simon Yates | 0 | 0 | 0 |
| SparkleCrotchLover | Simon Yates | 0 | 0 | 0 |
| alpal2214 | Tom Pidcock | 0 | 0 | 0 |
| paulindy2000 | Valentin Madouas | 0 | 0 | 0 |
| nahgoe16 | Warren Barguil | 0 | 0 | 0 |
Riders
The Top 30 finishers were:
| Rank | Rider | Picks | Base | Bonus |
|---|---|---|---|---|
| 1 | Tadej Pogacar | 6 | 350 | 0 |
| 2 | Remco Evenepoel | 3 | 280 | 0 |
| 3 | Giulio Ciccone | 0 | 210 | 0 |
| 4 | Ion Izagirre | 0 | 175 | 0 |
| 5 | Enric Mas | 2 | 158 | 0 |
| 6 | Pavel Sivakov | 0 | 140 | 0 |
| 7 | Lennert Van Eetvelt | 1 | 126 | 96 |
| 8 | Neilson Powless | 0 | 112 | 0 |
| 9 | David Gaudu | 1 | 101 | 88 |
| 10 | Xandro Meurisse | 0 | 91 | 0 |
| 11 | Roger Adrià | 0 | 84 | 0 |
| 12 | Bauke Mollema | 2 | 78 | 0 |
| 13 | Michael Storer | 2 | 70 | 0 |
| 14 | Giulio Pellizzari | 1 | 62 | 62 |
| 15 | Thymen Arensman | 0 | 56 | 0 |
| 16 | Nairo Quintana | 0 | 52 | 0 |
| 17 | Archie Ryan | 0 | 48 | 0 |
| 18 | Lorenzo Fortunato | 1 | 45 | 45 |
| 19 | Georg Zimmermann | 0 | 42 | 0 |
| 20 | Filippo Zana | 0 | 39 | 0 |
| 21 | Wilco Kelderman | 0 | 35 | 0 |
| 22 | Edoardo Zambanini | 0 | 32 | 0 |
| 23 | Kevin Vermaerke | 0 | 28 | 0 |
| 24 | Jai Hindley | 0 | 25 | 0 |
| 25 | Rudy Molard | 0 | 21 | 0 |
| 26 | Dylan Teuns | 0 | 18 | 0 |
| 27 | Clément Berthet | 0 | 14 | 0 |
| 28 | Davide Piganzoli | 1 | 10 | 10 |
| 29 | Daniel Martinez | 0 | 8 | 0 |
| 30 | Edward Dunbar | 0 | 4 | 0 |
BEMER Cyclassics
Single Rider Fantasy League 2024
Results
Players
A total of 35 players entered:
| User | Pick | Base | Bonus | Score |
|---|---|---|---|---|
| Tuttle_not_Buttle | Olav Kooij | 120 | 30 | 150 |
| Norskov | Tobias Lund Andresen | 33 | 20 | 53 |
| ssfoxx27 | Danny van Poppel | 25 | 17 | 42 |
| Judas_Bishop | Jordi Meeus | 34 | 0 | 34 |
| MrR2D | Jordi Meeus | 34 | 0 | 34 |
| LynniePinnie67 | Axel Zingle | 27 | 0 | 27 |
| RaylanGivens8 | Axel Zingle | 27 | 0 | 27 |
| DerpTrain | Dorian Godon | 13 | 11 | 24 |
| Sappert | Oliver Naesen | 8 | 8 | 16 |
| arne-b | Arnaud Démare | 15 | 0 | 15 |
| paulindy2000 | Arnaud Démare | 15 | 0 | 15 |
| andytheciderman | Jonathan Milan | 12.9 | 0 | 12.9 |
| BSantos57 | Jonathan Milan | 12.9 | 0 | 12.9 |
| CudoLanda | Jonathan Milan | 12.9 | 0 | 12.9 |
| fewfiet | Jonathan Milan | 12.9 | 0 | 12.9 |
| JDdieSonne | Jonathan Milan | 12.9 | 0 | 12.9 |
| listenyall | Jonathan Milan | 12.9 | 0 | 12.9 |
| Xcpa9 | Jonathan Milan | 12.9 | 0 | 12.9 |
| nahgoe16 | Fabio Christen | 3 | 3 | 6 |
| wonderbeann | Alex Aranburu | 0 | 0 | 0 |
| fetamorphasis | Bryan Coquard | 0 | 0 | 0 |
| LJSchoppert | Caleb Ewan | 0 | 0 | 0 |
| alpal2214 | Christophe Laporte | 0 | 0 | 0 |
| LurkasM1 | Marco Haller | 0 | 0 | 0 |
| Redskin44 | Max Kanter | 0 | 0 | 0 |
| Ok_Chipmunk_3854 | Nils Politt | 0 | 0 | 0 |
| burden321 | Pascal Ackermann | 0 | 0 | 0 |
| AwakenTheBacon_ | Paul Penhoët | 0 | 0 | 0 |
| SparkleCrotchLover | Paul Penhoët | 0 | 0 | 0 |
| vbarrielle | Paul Penhoët | 0 | 0 | 0 |
| Avila99 | Phil Bauhaus | 0 | 0 | 0 |
| Team_Telekom | Phil Bauhaus | 0 | 0 | 0 |
| yellow52 | Sam Bennett | 0 | 0 | 0 |
| beaker15 | Tim Merlier | 0 | 0 | 0 |
| Divergee5 | Tim Merlier | 0 | 0 | 0 |
Riders
The Top 30 finishers were:
| Rank | Rider | Picks | Base | Bonus |
|---|---|---|---|---|
| 1 | Olav Kooij | 1 | 120 | 30 |
| 2 | Jonathan Milan | 7 | 90 | 0 |
| 3 | Biniam Girmay | 0 | 75 | 0 |
| 4 | Jordi Meeus | 2 | 68 | 0 |
| 5 | Alexander Kristoff | 0 | 60 | 0 |
| 6 | Axel Zingle | 2 | 54 | 0 |
| 7 | Jasper Philipsen | 0 | 48 | 0 |
| 8 | Mike Teunissen | 0 | 44 | 0 |
| 9 | Matteo Trentin | 0 | 39 | 0 |
| 10 | Stefano Oldani | 0 | 36 | 0 |
| 11 | Tobias Lund Andresen | 1 | 33 | 20 |
| 12 | Arnaud Démare | 2 | 30 | 0 |
| 13 | Luke Lamperti | 0 | 27 | 0 |
| 14 | Danny van Poppel | 1 | 25 | 17 |
| 15 | Iván García Cortina | 0 | 23 | 0 |
| 16 | Hugo Hofstetter | 0 | 21 | 0 |
| 17 | Nikias Arndt | 0 | 19 | 0 |
| 18 | Stefan Bissegger | 0 | 17 | 0 |
| 19 | Nicolò Parisini | 0 | 15 | 0 |
| 20 | Dorian Godon | 1 | 13 | 11 |
| 21 | Arnaud De Lie | 0 | 11 | 0 |
| 22 | Davide Ballerini | 0 | 9 | 0 |
| 23 | Oliver Naesen | 1 | 8 | 8 |
| 24 | Clément Russo | 0 | 7 | 0 |
| 25 | Tim Wellens | 0 | 6 | 0 |
| 26 | Laurenz Rex | 0 | 5 | 0 |
| 27 | Anders Foldager | 0 | 4 | 0 |
| 28 | Fabio Christen | 1 | 3 | 3 |
| 29 | Jon Barrenetxea | 0 | 2 | 0 |
| 30 | Mikkel Honore | 0 | 1 | 0 |
Tour of Guangxi
Single Rider Fantasy League 2024
Results
Players
A total of 33 players entered:
| User | Pick | Base | Bonus | Score |
|---|---|---|---|---|
| Divergee5 | Victor Lafay | 100 | 54 | 154 |
| nahgoe16 | Giovanni Aleotti | 80 | 50 | 130 |
| wonderbeann | Lorenzo Fortunato | 64 | 46 | 110 |
| bassmanyoowan | Ewen Costiou | 58 | 44 | 102 |
| fewfiet | Lennert Van Eetvelt | 100 | 0 | 100 |
| YourBeneluxOverlords | Lennert Van Eetvelt | 100 | 0 | 100 |
| RaylanGivens8 | Felix Großschartner | 48 | 40 | 88 |
| beaker15 | Tim Wellens | 36 | 0 | 36 |
| Thomas1VL | Tim Wellens | 36 | 0 | 36 |
| BSantos57 | Oscar Onley | 26.7 | 0 | 26.7 |
| BWallis17 | Oscar Onley | 26.7 | 0 | 26.7 |
| JDdieSonne | Oscar Onley | 26.7 | 0 | 26.7 |
| LynniePinnie67 | Oscar Onley | 26.7 | 0 | 26.7 |
| sharkbait_hahaha | Oscar Onley | 26.7 | 0 | 26.7 |
| Tuttle_not_Buttle | Oscar Onley | 26.7 | 0 | 26.7 |
| Redskin44 | Quinn Simmons | 26 | 0 | 26 |
| yellow52 | Quinn Simmons | 26 | 0 | 26 |
| andytheciderman | Alex Baudin | 24 | 0 | 24 |
| Judas_Bishop | Alex Baudin | 24 | 0 | 24 |
| listenyall | Alex Baudin | 24 | 0 | 24 |
| MrR2D | Alex Baudin | 24 | 0 | 24 |
| paulindy2000 | Alex Baudin | 24 | 0 | 24 |
| LurkasM1 | Max Schachmann | 4 | 4 | 8 |
| Avila99 | Joe Blackmore | 2.8 | 0 | 2.8 |
| CudoLanda | Joe Blackmore | 2.8 | 0 | 2.8 |
| Eyeconoclastic | Joe Blackmore | 2.8 | 0 | 2.8 |
| SparkleCrotchLover | Joe Blackmore | 2.8 | 0 | 2.8 |
| ssfoxx27 | Joe Blackmore | 2.8 | 0 | 2.8 |
| Ok_Chipmunk_3854 | Alexey Lutsenko | 0 | 0 | 0 |
| Nussig | Emanuel Buchmann | 0 | 0 | 0 |
| Salty-Level | Iván García Cortina | 0 | 0 | 0 |
| AwakenTheBacon_ | Jan Hirt | 0 | 0 | 0 |
| Team_Telekom | Milan Vader | 0 | 0 | 0 |
Riders
The Top 30 finishers were:
| Rank | Rider | Picks | Base | Bonus |
|---|---|---|---|---|
| 1 | Lennert Van Eetvelt | 2 | 200 | 0 |
| 2 | Oscar Onley | 6 | 160 | 0 |
| 3 | Alex Baudin | 5 | 120 | 0 |
| 4 | Victor Lafay | 1 | 100 | 54 |
| 5 | Pavel Sivakov | 0 | 90 | 0 |
| 6 | Giovanni Aleotti | 1 | 80 | 50 |
| 7 | Tim Wellens | 2 | 72 | 0 |
| 8 | Lorenzo Fortunato | 1 | 64 | 46 |
| 9 | Ewen Costiou | 1 | 58 | 44 |
| 10 | Quinn Simmons | 2 | 52 | 0 |
| 11 | Felix Großschartner | 1 | 48 | 40 |
| 12 | Welay Berhe | 0 | 44 | 0 |
| 13 | Robert Stannard | 0 | 40 | 0 |
| 14 | Alexander Hajek | 0 | 36 | 0 |
| 15 | Johannes Staune-Mittet | 0 | 32 | 0 |
| 16 | Ruben Fernandez | 0 | 30 | 0 |
| 17 | Amanuel Ghebreigzabhier | 0 | 28 | 0 |
| 18 | Max Poole | 0 | 26 | 0 |
| 19 | Rune Herregodts | 0 | 24 | 0 |
| 20 | Óscar Rodríguez | 0 | 22 | 0 |
| 21 | Igor Arrieta | 0 | 20 | 0 |
| 22 | Sylvain Moniquet | 0 | 18 | 0 |
| 23 | Martin Svrcek | 0 | 16 | 0 |
| 24 | Joe Blackmore | 5 | 14 | 0 |
| 25 | Esteban Chaves | 0 | 12 | 0 |
| 26 | Mick van Dijke | 0 | 10 | 0 |
| 27 | Natnael Tesfazion | 0 | 8 | 0 |
| 28 | Thomas Champion | 0 | 6 | 0 |
| 29 | Max Schachmann | 1 | 4 | 4 |
| 30 | Mathis Le Berre | 0 | 2 | 0 |
Bretagne Classic
Single Rider Fantasy League 2024
Results
Players
A total of 37 players entered:
| User | Pick | Base | Bonus | Score |
|---|---|---|---|---|
| alpal2214 | Marc Hirschi | 60 | 0 | 60 |
| Nussig | Marc Hirschi | 60 | 0 | 60 |
| RaylanGivens8 | Mikkel Honore | 27 | 18 | 45 |
| LurkasM1 | Magnus Cort | 37.5 | 0 | 37.5 |
| Team_Telekom | Magnus Cort | 37.5 | 0 | 37.5 |
| fewfiet | Arnaud De Lie | 34 | 0 | 34 |
| iamczecksy | Arnaud De Lie | 34 | 0 | 34 |
| andytheciderman | Tiesj Benoot | 19 | 14 | 33 |
| LynniePinnie67 | Thibau Nys | 30 | 0 | 30 |
| Tuttle_not_Buttle | Thibau Nys | 30 | 0 | 30 |
| Avila99 | Michael Matthews | 24 | 0 | 24 |
| Salty-Level | Michael Matthews | 24 | 0 | 24 |
| nahgoe16 | Frederik Wandahl | 8 | 8 | 16 |
| CudoLanda | Jan Christen | 3 | 3 | 6 |
| Judas_Bishop | Anders Foldager | 0 | 0 | 0 |
| burden321 | Axel Laurance | 0 | 0 | 0 |
| MrR2D | Axel Laurance | 0 | 0 | 0 |
| bassmanyoowan | Christophe Laporte | 0 | 0 | 0 |
| Divergee5 | Christophe Laporte | 0 | 0 | 0 |
| sharkbait_hahaha | Christophe Laporte | 0 | 0 | 0 |
| Sappert | Iván García Cortina | 0 | 0 | 0 |
| wonderbeann | Jasper Stuyven | 0 | 0 | 0 |
| DerpTrain | Jordan Jegat | 0 | 0 | 0 |
| ssfoxx27 | Jordan Jegat | 0 | 0 | 0 |
| beaker15 | Julian Alaphilippe | 0 | 0 | 0 |
| BWallis17 | Julian Alaphilippe | 0 | 0 | 0 |
| arne-b | Kévin Vauquelin | 0 | 0 | 0 |
| SparkleCrotchLover | Kévin Vauquelin | 0 | 0 | 0 |
| Ok_Chipmunk_3854 | Mathieu Burgaudeau | 0 | 0 | 0 |
| fetamorphasis | Neilson Powless | 0 | 0 | 0 |
| AwakenTheBacon_ | Valentin Madouas | 0 | 0 | 0 |
| BSantos57 | Valentin Madouas | 0 | 0 | 0 |
| Eyeconoclastic | Valentin Madouas | 0 | 0 | 0 |
| JDdieSonne | Valentin Madouas | 0 | 0 | 0 |
| listenyall | Valentin Madouas | 0 | 0 | 0 |
| paulindy2000 | Valentin Madouas | 0 | 0 | 0 |
| vbarrielle | Valentin Madouas | 0 | 0 | 0 |
Riders
The Top 30 finishers were:
| Rank | Rider | Picks | Base | Bonus |
|---|---|---|---|---|
| 1 | Marc Hirschi | 2 | 120 | 0 |
| 2 | Paul Magnier | 0 | 90 | 0 |
| 3 | Magnus Cort | 2 | 75 | 0 |
| 4 | Arnaud De Lie | 2 | 68 | 0 |
| 5 | Thibau Nys | 2 | 60 | 0 |
| 6 | Dorian Godon | 0 | 54 | 0 |
| 7 | Michael Matthews | 2 | 48 | 0 |
| 8 | Thibaud Gruel | 0 | 44 | 0 |
| 9 | Clément Venturini | 0 | 39 | 0 |
| 10 | Hugo Page | 0 | 36 | 0 |
| 11 | Simone Velasco | 0 | 33 | 0 |
| 12 | Magnus Sheffield | 0 | 30 | 0 |
| 13 | Mikkel Honore | 1 | 27 | 18 |
| 14 | Mads Würtz Schmidt | 0 | 25 | 0 |
| 15 | Krists Neilands | 0 | 23 | 0 |
| 16 | Julien Simon | 0 | 21 | 0 |
| 17 | Tiesj Benoot | 1 | 19 | 14 |
| 18 | Edoardo Zambanini | 0 | 17 | 0 |
| 19 | Pello Bilbao | 0 | 15 | 0 |
| 20 | Alexander Hajek | 0 | 13 | 0 |
| 21 | Søren Kragh Andersen | 0 | 11 | 0 |
| 22 | Jake Stewart | 0 | 9 | 0 |
| 23 | Frederik Wandahl | 1 | 8 | 8 |
| 24 | Antonio Angulo | 0 | 7 | 0 |
| 25 | Warren Barguil | 0 | 6 | 0 |
| 26 | Benoît Cosnefroy | 0 | 5 | 0 |
| 27 | Benjamin Thomas | 0 | 4 | 0 |
| 28 | Jan Christen | 1 | 3 | 3 |
| 29 | Alex Aranburu | 0 | 2 | 0 |
| 30 | Lukas Nerurkar | 0 | 1 | 0 |
La Vuelta a España
Single Rider Fantasy League 2024
Results
Players
A total of 59 players entered:
| User | Pick | Base | Bonus | Score |
|---|---|---|---|---|
| yellow52 | Ben O'Connor | 400 | 145 | 545 |
| beaker15 | Mattias Skjelmose | 225 | 130 | 355 |
| sharkbait_hahaha | Guillaume Martin | 80 | 80 | 160 |
| CudoLanda | Enric Mas | 100 | 0 | 100 |
| Funny-Substance5576 | Enric Mas | 100 | 0 | 100 |
| Nussig | Enric Mas | 100 | 0 | 100 |
| djordastic | Primoz Roglic | 100 | 0 | 100 |
| fewfiet | Primoz Roglic | 100 | 0 | 100 |
| Joder-tio | Primoz Roglic | 100 | 0 | 100 |
| NinaOneEight | Primoz Roglic | 100 | 0 | 100 |
| Xcpa9 | Primoz Roglic | 100 | 0 | 100 |
| andytheciderman | Richard Carapaz | 62.5 | 0 | 62.5 |
| LurkasM1 | Richard Carapaz | 62.5 | 0 | 62.5 |
| Lxnnox | Richard Carapaz | 62.5 | 0 | 62.5 |
| srjnp | Richard Carapaz | 62.5 | 0 | 62.5 |
| Avila99 | Mikel Landa | 53.3 | 0 | 53.3 |
| BWallis17 | Mikel Landa | 53.3 | 0 | 53.3 |
| Divergee5 | Mikel Landa | 53.3 | 0 | 53.3 |
| arne-b | Cristian Rodriguez | 50 | 0 | 50 |
| mcrorigan | Cristian Rodriguez | 50 | 0 | 50 |
| Judas_Bishop | David Gaudu | 50 | 0 | 50 |
| KhaledHisham_22 | David Gaudu | 50 | 0 | 50 |
| ser-seaworth | David Gaudu | 50 | 0 | 50 |
| vbarrielle | David Gaudu | 50 | 0 | 50 |
| iamczecksy | Sepp Kuss | 45 | 0 | 45 |
| Team_Telekom | Sepp Kuss | 45 | 0 | 45 |
| Redskin44 | Louis Meintjes | 15 | 15 | 30 |
| bassmanyoowan | Carlos Rodriguez | 26 | 0 | 26 |
| Eyeconoclastic | Carlos Rodriguez | 26 | 0 | 26 |
| KVMechelen | Carlos Rodriguez | 26 | 0 | 26 |
| Ok_Chipmunk_3854 | Carlos Rodriguez | 26 | 0 | 26 |
| Revolution64 | Carlos Rodriguez | 26 | 0 | 26 |
| AwakenTheBacon_ | Adam Yates | 18.3 | 0 | 18.3 |
| JDdieSonne | Adam Yates | 18.3 | 0 | 18.3 |
| listenyall | Adam Yates | 18.3 | 0 | 18.3 |
| nahgoe16 | Adam Yates | 18.3 | 0 | 18.3 |
| RaylanGivens8 | Adam Yates | 18.3 | 0 | 18.3 |
| Tuttle_not_Buttle | Adam Yates | 18.3 | 0 | 18.3 |
| Sappert | Matthew Riccitello | 5 | 5 | 10 |
| alpal2214 | Felix Gall | 5 | 0 | 5 |
| LJSchoppert | Felix Gall | 5 | 0 | 5 |
| YourBeneluxOverlords | Cian Uijtdebroeks | 0 | 0 | 0 |
| wonderbeann | Filippo Zana | 0 | 0 | 0 |
| burden321 | Giulio Ciccone | 0 | 0 | 0 |
| Zeckesan | Isaac del Toro | 0 | 0 | 0 |
| BSantos57 | Joao Almeida | 0 | 0 | 0 |
| paaulo | Joao Almeida | 0 | 0 | 0 |
| Solesticio | Joao Almeida | 0 | 0 | 0 |
| SparkleCrotchLover | Joao Almeida | 0 | 0 | 0 |
| Thomas1VL | Joao Almeida | 0 | 0 | 0 |
| DerpTrain | Lennert Van Eetvelt | 0 | 0 | 0 |
| ssfoxx27 | Lennert Van Eetvelt | 0 | 0 | 0 |
| Mattxps | Max Poole | 0 | 0 | 0 |
| LynniePinnie67 | Tao Geoghegan Hart | 0 | 0 | 0 |
| MrR2D | Tao Geoghegan Hart | 0 | 0 | 0 |
| fetamorphasis | Thymen Arensman | 0 | 0 | 0 |
| runhaags1 | Thymen Arensman | 0 | 0 | 0 |
| Salty-Level | Thymen Arensman | 0 | 0 | 0 |
| paulindy2000 | Valentin Paret-Peintre | 0 | 0 | 0 |
Riders
The Top 30 finishers were:
| Rank | Rider | Picks | Base | Bonus |
|---|---|---|---|---|
| 1 | Primoz Roglic | 5 | 500 | 0 |
| 2 | Ben O'Connor | 1 | 400 | 145 |
| 3 | Enric Mas | 3 | 300 | 0 |
| 4 | Richard Carapaz | 4 | 250 | 0 |
| 5 | Mattias Skjelmose | 1 | 225 | 130 |
| 6 | David Gaudu | 4 | 200 | 0 |
| 7 | Florian Lipowitz | 0 | 180 | 0 |
| 8 | Mikel Landa | 3 | 160 | 0 |
| 9 | Pavel Sivakov | 0 | 145 | 0 |
| 10 | Carlos Rodriguez | 5 | 130 | 0 |
| 11 | Edward Dunbar | 0 | 120 | 0 |
| 12 | Adam Yates | 6 | 110 | 0 |
| 13 | Cristian Rodriguez | 2 | 100 | 0 |
| 14 | Sepp Kuss | 2 | 90 | 0 |
| 15 | Guillaume Martin | 1 | 80 | 80 |
| 16 | Lorenzo Fortunato | 0 | 75 | 0 |
| 17 | Félix Parra José | 0 | 70 | 0 |
| 18 | Aleksandr Vlasov | 0 | 65 | 0 |
| 19 | Steven Kruijswijk | 0 | 60 | 0 |
| 20 | Clément Berthet | 0 | 55 | 0 |
| 21 | Quentin Pacher | 0 | 50 | 0 |
| 22 | Jack Haig | 0 | 45 | 0 |
| 23 | Mattia Cattaneo | 0 | 40 | 0 |
| 24 | Óscar Rodríguez | 0 | 35 | 0 |
| 25 | Attila Valter | 0 | 30 | 0 |
| 26 | Mikel Bizkarra | 0 | 25 | 0 |
| 27 | Einer Rubio | 0 | 20 | 0 |
| 28 | Louis Meintjes | 1 | 15 | 15 |
| 29 | Felix Gall | 2 | 10 | 0 |
| 30 | Matthew Riccitello | 1 | 5 | 5 |
GP Montréal
Single Rider Fantasy League 2024
Results
Players
A total of 41 players entered:
| User | Pick | Base | Bonus | Score |
|---|---|---|---|---|
| Avila99 | Julian Alaphilippe | 75 | 28 | 103 |
| AwakenTheBacon_ | Toms Skujins | 54 | 25 | 79 |
| andytheciderman | Tiesj Benoot | 48 | 24 | 72 |
| beaker15 | Jai Hindley | 36 | 21 | 57 |
| Redskin44 | Pello Bilbao | 45 | 0 | 45 |
| yellow52 | Pello Bilbao | 45 | 0 | 45 |
| LJSchoppert | Andrea Bagioli | 25 | 17 | 42 |
| Divergee5 | Maxim Van Gils | 34 | 0 | 34 |
| YourBeneluxOverlords | Maxim Van Gils | 34 | 0 | 34 |
| BWallis17 | Wilco Kelderman | 19 | 14 | 33 |
| nahgoe16 | Sergio Higuita | 11 | 10 | 21 |
| djordastic | Tadej Pogacar | 20 | 0 | 20 |
| fewfiet | Tadej Pogacar | 20 | 0 | 20 |
| Nussig | Tadej Pogacar | 20 | 0 | 20 |
| ssfoxx27 | Tadej Pogacar | 20 | 0 | 20 |
| Thomas1VL | Tadej Pogacar | 20 | 0 | 20 |
| wonderbeann | Tadej Pogacar | 20 | 0 | 20 |
| Eyeconoclastic | Ben Healy | 9 | 9 | 18 |
| RaylanGivens8 | Kevin Vermaerke | 3 | 3 | 6 |
| CudoLanda | Matteo Jorgenson | 6 | 0 | 6 |
| JDdieSonne | Matteo Jorgenson | 6 | 0 | 6 |
| LurkasM1 | Matteo Jorgenson | 6 | 0 | 6 |
| LynniePinnie67 | Matteo Jorgenson | 6 | 0 | 6 |
| Team_Telekom | Matteo Jorgenson | 6 | 0 | 6 |
| Tuttle_not_Buttle | Romain Grégoire | 2 | 2 | 4 |
| alpal2214 | Neilson Powless | 2.7 | 0 | 2.7 |
| Ok_Chipmunk_3854 | Neilson Powless | 2.7 | 0 | 2.7 |
| Xcpa9 | Neilson Powless | 2.7 | 0 | 2.7 |
| Funny-Substance5576 | Alberto Bettiol | 0 | 0 | 0 |
| MrR2D | Alex Baudin | 0 | 0 | 0 |
| Norskov | Alexander Kamp | 0 | 0 | 0 |
| Salty-Level | Arnaud De Lie | 0 | 0 | 0 |
| Judas_Bishop | Aurélien Paret-Peintre | 0 | 0 | 0 |
| Sappert | Biniam Girmay | 0 | 0 | 0 |
| sharkbait_hahaha | Halland Johannessen Tobias | 0 | 0 | 0 |
| bassmanyoowan | Marius Mayrhofer | 0 | 0 | 0 |
| arne-b | Matis Louvel | 0 | 0 | 0 |
| BSantos57 | Valentin Madouas | 0 | 0 | 0 |
| paulindy2000 | Valentin Madouas | 0 | 0 | 0 |
| SparkleCrotchLover | Valentin Madouas | 0 | 0 | 0 |
| vbarrielle | Valentin Madouas | 0 | 0 | 0 |
Riders
The Top 30 finishers were:
| Rank | Rider | Picks | Base | Bonus |
|---|---|---|---|---|
| 1 | Tadej Pogacar | 6 | 120 | 0 |
| 2 | Pello Bilbao | 2 | 90 | 0 |
| 3 | Julian Alaphilippe | 1 | 75 | 28 |
| 4 | Maxim Van Gils | 2 | 68 | 0 |
| 5 | Ion Izagirre | 0 | 60 | 0 |
| 6 | Toms Skujins | 1 | 54 | 25 |
| 7 | Tiesj Benoot | 1 | 48 | 24 |
| 8 | Michael Woods | 0 | 44 | 0 |
| 9 | Edoardo Zambanini | 0 | 39 | 0 |
| 10 | Jai Hindley | 1 | 36 | 21 |
| 11 | Romain Bardet | 0 | 33 | 0 |
| 12 | Matteo Jorgenson | 5 | 30 | 0 |
| 13 | Simon Yates | 0 | 27 | 0 |
| 14 | Andrea Bagioli | 1 | 25 | 17 |
| 15 | Alex Aranburu | 0 | 23 | 0 |
| 16 | Jakob Fuglsang | 0 | 21 | 0 |
| 17 | Wilco Kelderman | 1 | 19 | 14 |
| 18 | Bauke Mollema | 0 | 17 | 0 |
| 19 | Bart Lemmen | 0 | 15 | 0 |
| 20 | Magnus Sheffield | 0 | 13 | 0 |
| 21 | Sergio Higuita | 1 | 11 | 10 |
| 22 | Ben Healy | 1 | 9 | 9 |
| 23 | Neilson Powless | 3 | 8 | 0 |
| 24 | Ilan Van Wilder | 0 | 7 | 0 |
| 25 | Jenno Berckmoes | 0 | 6 | 0 |
| 26 | Rudy Molard | 0 | 5 | 0 |
| 27 | Michael Gogl | 0 | 4 | 0 |
| 28 | Kevin Vermaerke | 1 | 3 | 3 |
| 29 | Romain Grégoire | 1 | 2 | 2 |
| 30 | Lorenzo Rota | 0 | 1 | 0 |
GP Québec
Single Rider Fantasy League 2024
Results
Players
A total of 39 players entered:
| User | Pick | Base | Bonus | Score |
|---|---|---|---|---|
| Salty-Level | Biniam Girmay | 90 | 29 | 119 |
| RaylanGivens8 | Strand Hagenes Per | 60 | 26 | 86 |
| BSantos57 | Michael Matthews | 40 | 0 | 40 |
| Thomas1VL | Michael Matthews | 40 | 0 | 40 |
| Tuttle_not_Buttle | Michael Matthews | 40 | 0 | 40 |
| Norskov | Frederik Wandahl | 21 | 15 | 36 |
| paulindy2000 | Romain Grégoire | 15 | 12 | 27 |
| burden321 | Luke Lamperti | 16.5 | 0 | 16.5 |
| BWallis17 | Luke Lamperti | 16.5 | 0 | 16.5 |
| djordastic | Tadej Pogacar | 16 | 0 | 16 |
| Nussig | Tadej Pogacar | 16 | 0 | 16 |
| wonderbeann | Tadej Pogacar | 16 | 0 | 16 |
| fewfiet | Arnaud De Lie | 13.5 | 0 | 13.5 |
| YourBeneluxOverlords | Arnaud De Lie | 13.5 | 0 | 13.5 |
| andytheciderman | Toms Skujins | 2.3 | 0 | 2.3 |
| Eyeconoclastic | Toms Skujins | 2.3 | 0 | 2.3 |
| listenyall | Toms Skujins | 2.3 | 0 | 2.3 |
| SparkleCrotchLover | Toms Skujins | 2.3 | 0 | 2.3 |
| Judas_Bishop | Matej Mohoric | 1 | 1 | 2 |
| LurkasM1 | Alex Aranburu | 0 | 0 | 0 |
| sharkbait_hahaha | Ben Healy | 0 | 0 | 0 |
| CudoLanda | Corbin Strong | 0 | 0 | 0 |
| Redskin44 | Dorian Godon | 0 | 0 | 0 |
| Team_Telekom | Dorian Godon | 0 | 0 | 0 |
| Divergee5 | Dries De Bondt | 0 | 0 | 0 |
| beaker15 | Julian Alaphilippe | 0 | 0 | 0 |
| mcrorigan | Julian Alaphilippe | 0 | 0 | 0 |
| AwakenTheBacon_ | Kevin Vermaerke | 0 | 0 | 0 |
| ssfoxx27 | Marius Mayrhofer | 0 | 0 | 0 |
| JDdieSonne | Matteo Jorgenson | 0 | 0 | 0 |
| LynniePinnie67 | Matteo Jorgenson | 0 | 0 | 0 |
| Ok_Chipmunk_3854 | Matteo Jorgenson | 0 | 0 | 0 |
| Avila99 | Paul Lapeira | 0 | 0 | 0 |
| Funny-Substance5576 | Paul Lapeira | 0 | 0 | 0 |
| arne-b | Romain Bardet | 0 | 0 | 0 |
| yellow52 | Stephen Williams | 0 | 0 | 0 |
| bassmanyoowan | Tim Wellens | 0 | 0 | 0 |
| vbarrielle | Valentin Madouas | 0 | 0 | 0 |
| Sappert | Warren Barguil | 0 | 0 | 0 |
Riders
The Top 30 finishers were:
| Rank | Rider | Picks | Base | Bonus |
|---|---|---|---|---|
| 1 | Michael Matthews | 3 | 120 | 0 |
| 2 | Biniam Girmay | 1 | 90 | 29 |
| 3 | Rudy Molard | 0 | 75 | 0 |
| 4 | Tiesj Benoot | 0 | 68 | 0 |
| 5 | Strand Hagenes Per | 1 | 60 | 26 |
| 6 | Bauke Mollema | 0 | 54 | 0 |
| 7 | Tadej Pogacar | 3 | 48 | 0 |
| 8 | Neilson Powless | 0 | 44 | 0 |
| 9 | Pello Bilbao | 0 | 39 | 0 |
| 10 | Edoardo Zambanini | 0 | 36 | 0 |
| 11 | Luke Lamperti | 2 | 33 | 0 |
| 12 | Gianni Vermeersch | 0 | 30 | 0 |
| 13 | Arnaud De Lie | 2 | 27 | 0 |
| 14 | Alex Baudin | 0 | 25 | 0 |
| 15 | Ruben Guerreiro | 0 | 23 | 0 |
| 16 | Frederik Wandahl | 1 | 21 | 15 |
| 17 | Lorenzo Rota | 0 | 19 | 0 |
| 18 | Matis Louvel | 0 | 17 | 0 |
| 19 | Romain Grégoire | 1 | 15 | 12 |
| 20 | Alberto Bettiol | 0 | 13 | 0 |
| 21 | Wilco Kelderman | 0 | 11 | 0 |
| 22 | Toms Skujins | 4 | 9 | 0 |
| 23 | Jon Barrenetxea | 0 | 8 | 0 |
| 24 | Quinn Simmons | 0 | 7 | 0 |
| 25 | Andrea Bagioli | 0 | 6 | 0 |
| 26 | Clément Venturini | 0 | 5 | 0 |
| 27 | Max Schachmann | 0 | 4 | 0 |
| 28 | Sergio Higuita | 0 | 3 | 0 |
| 29 | Mikkel Honore | 0 | 2 | 0 |
| 30 | Matej Mohoric | 1 | 1 | 1 |
Renewi Tour
Single Rider Fantasy League 2024
Results
Players
A total of 39 players entered:
| User | Pick | Base | Bonus | Score |
|---|---|---|---|---|
| sharkbait_hahaha | Christophe Laporte | 100 | 54 | 154 |
| LurkasM1 | Max Schachmann | 58 | 44 | 102 |
| Team_Telekom | Ilan Van Wilder | 48 | 40 | 88 |
| vbarrielle | Valentin Madouas | 36 | 34 | 70 |
| AwakenTheBacon_ | Jasper Stuyven | 30 | 30 | 60 |
| Judas_Bishop | Mike Teunissen | 28 | 28 | 56 |
| BSantos57 | Tim Wellens | 40 | 0 | 40 |
| Eyeconoclastic | Tim Wellens | 40 | 0 | 40 |
| Ok_Chipmunk_3854 | Tim Wellens | 40 | 0 | 40 |
| Sappert | Tim Wellens | 40 | 0 | 40 |
| ssfoxx27 | Tim Wellens | 40 | 0 | 40 |
| Avila99 | Matej Mohoric | 32 | 0 | 32 |
| Thomas1VL | Matej Mohoric | 32 | 0 | 32 |
| nahgoe16 | Oliver Naesen | 16 | 16 | 32 |
| alpal2214 | Matteo Trentin | 20 | 0 | 20 |
| markp88 | Matteo Trentin | 20 | 0 | 20 |
| burden321 | Axel Zingle | 12 | 0 | 12 |
| paulindy2000 | Axel Zingle | 12 | 0 | 12 |
| fetamorphasis | Arnaud De Lie | 0 | 0 | 0 |
| beaker15 | Biniam Girmay | 0 | 0 | 0 |
| Divergee5 | Biniam Girmay | 0 | 0 | 0 |
| Salty-Level | Biniam Girmay | 0 | 0 | 0 |
| CudoLanda | Filippo Ganna | 0 | 0 | 0 |
| iamczecksy | Filippo Ganna | 0 | 0 | 0 |
| LynniePinnie67 | Hartthijs de Vries | 0 | 0 | 0 |
| wonderbeann | Kévin Vauquelin | 0 | 0 | 0 |
| yellow52 | Kragh Andersen Søren | 0 | 0 | 0 |
| BWallis17 | Magnus Sheffield | 0 | 0 | 0 |
| fewfiet | Mathieu van der Poel | 0 | 0 | 0 |
| Joder-tio | Mathieu van der Poel | 0 | 0 | 0 |
| Nussig | Mathieu van der Poel | 0 | 0 | 0 |
| Tuttle_not_Buttle | Mathieu van der Poel | 0 | 0 | 0 |
| YourBeneluxOverlords | Mathieu van der Poel | 0 | 0 | 0 |
| arne-b | Matis Louvel | 0 | 0 | 0 |
| andytheciderman | Mikkel Bjerg | 0 | 0 | 0 |
| JDdieSonne | Nils Politt | 0 | 0 | 0 |
| listenyall | Nils Politt | 0 | 0 | 0 |
| RaylanGivens8 | Stefan Bissegger | 0 | 0 | 0 |
| bassmanyoowan | Yves Lampaert | 0 | 0 | 0 |
Riders
The Top 30 finishers were:
| Rank | Rider | Picks | Base | Bonus |
|---|---|---|---|---|
| 1 | Tim Wellens | 5 | 200 | 0 |
| 2 | Alec Segaert | 0 | 160 | 0 |
| 3 | Strand Hagenes Per | 0 | 120 | 0 |
| 4 | Christophe Laporte | 1 | 100 | 54 |
| 5 | Stan Dewulf | 0 | 90 | 0 |
| 6 | Jasper Philipsen | 0 | 80 | 0 |
| 7 | Ben Turner | 0 | 72 | 0 |
| 8 | Matej Mohoric | 2 | 64 | 0 |
| 9 | Max Schachmann | 1 | 58 | 44 |
| 10 | Alberto Bettiol | 0 | 52 | 0 |
| 11 | Ilan Van Wilder | 1 | 48 | 40 |
| 12 | Fred Wright | 0 | 44 | 0 |
| 13 | Matteo Trentin | 2 | 40 | 0 |
| 14 | Valentin Madouas | 1 | 36 | 34 |
| 15 | Rick Pluimers | 0 | 32 | 0 |
| 16 | Jasper Stuyven | 1 | 30 | 30 |
| 17 | Mike Teunissen | 1 | 28 | 28 |
| 18 | Aurélien Paret-Peintre | 0 | 26 | 0 |
| 19 | Axel Zingle | 2 | 24 | 0 |
| 20 | Eddy Le Huitouze | 0 | 22 | 0 |
| 21 | Tiesj Benoot | 0 | 20 | 0 |
| 22 | Jonas Rutsch | 0 | 18 | 0 |
| 23 | Oliver Naesen | 1 | 16 | 16 |
| 24 | Mikkel Honore | 0 | 14 | 0 |
| 25 | Søren Kragh Andersen | 0 | 12 | 0 |
| 26 | Paul Penhoët | 0 | 10 | 0 |
| 27 | Aimé De Gendt | 0 | 8 | 0 |
| 28 | Elias Maris | 0 | 6 | 0 |
| 29 | Lars Craps | 0 | 4 | 0 |
| 30 | Tomas Kopecky | 0 | 2 | 0 |
World Championship Road Time Trial
Single Rider Fantasy League 2024
Results
Players
A total of 42 players entered:
| User | Pick | Base | Bonus | Score |
|---|---|---|---|---|
| Funny-Substance5576 | Filippo Ganna | 144 | 44 | 188 |
| fetamorphasis | Kasper Asgreen | 72 | 38 | 110 |
| BWallis17 | Brandon McNulty | 47 | 32 | 79 |
| nahgoe16 | Magnus Sheffield | 36 | 27 | 63 |
| bassmanyoowan | Mikkel Bjerg | 32 | 26 | 58 |
| Tuttle_not_Buttle | Edoardo Affini | 54 | 0 | 54 |
| yellow52 | Edoardo Affini | 54 | 0 | 54 |
| fewfiet | Remco Evenepoel | 45 | 0 | 45 |
| Team_Telekom | Remco Evenepoel | 45 | 0 | 45 |
| wonderbeann | Remco Evenepoel | 45 | 0 | 45 |
| YourBeneluxOverlords | Remco Evenepoel | 45 | 0 | 45 |
| CudoLanda | Jay Vine | 40.5 | 0 | 40.5 |
| ssfoxx27 | Jay Vine | 40.5 | 0 | 40.5 |
| Judas_Bishop | Tobias Foss | 32.5 | 0 | 32.5 |
| Redskin44 | Tobias Foss | 32.5 | 0 | 32.5 |
| LurkasM1 | Max Schachmann | 14 | 12 | 26 |
| burden321 | Primoz Roglic | 20 | 0 | 20 |
| djordastic | Primoz Roglic | 20 | 0 | 20 |
| BSantos57 | Joshua Tarling | 18 | 0 | 18 |
| Divergee5 | Joshua Tarling | 18 | 0 | 18 |
| Salty-Level | Joshua Tarling | 18 | 0 | 18 |
| Thomas1VL | Joshua Tarling | 18 | 0 | 18 |
| Xcpa9 | Joshua Tarling | 18 | 0 | 18 |
| arne-b | Bruno Armirail | 14.3 | 0 | 14.3 |
| MrR2D | Bruno Armirail | 14.3 | 0 | 14.3 |
| paulindy2000 | Bruno Armirail | 14.3 | 0 | 14.3 |
| Avila99 | Daan Hoole | 12.5 | 0 | 12.5 |
| Eyeconoclastic | Daan Hoole | 12.5 | 0 | 12.5 |
| beaker15 | Stefan Küng | 11.6 | 0 | 11.6 |
| JDdieSonne | Stefan Küng | 11.6 | 0 | 11.6 |
| listenyall | Stefan Küng | 11.6 | 0 | 11.6 |
| Nussig | Stefan Küng | 11.6 | 0 | 11.6 |
| vbarrielle | Stefan Küng | 11.6 | 0 | 11.6 |
| andytheciderman | Nelson Oliveira | 7.3 | 0 | 7.3 |
| AwakenTheBacon_ | Nelson Oliveira | 7.3 | 0 | 7.3 |
| RaylanGivens8 | Nelson Oliveira | 7.3 | 0 | 7.3 |
| Sappert | Nelson Oliveira | 7.3 | 0 | 7.3 |
| LJSchoppert | Joao Almeida | 6.5 | 0 | 6.5 |
| Ok_Chipmunk_3854 | Joao Almeida | 6.5 | 0 | 6.5 |
| sharkbait_hahaha | Mathias Vacek | 3.5 | 0 | 3.5 |
| SparkleCrotchLover | Mathias Vacek | 3.5 | 0 | 3.5 |
| LynniePinnie67 | Mattia Cattaneo | 0 | 0 | 0 |
Riders
The Top 30 finishers were:
| Rank | Rider | Picks | Base | Bonus |
|---|---|---|---|---|
| 1 | Remco Evenepoel | 4 | 180 | 0 |
| 2 | Filippo Ganna | 1 | 144 | 44 |
| 3 | Edoardo Affini | 2 | 108 | 0 |
| 4 | Joshua Tarling | 5 | 90 | 0 |
| 5 | Jay Vine | 2 | 81 | 0 |
| 6 | Kasper Asgreen | 1 | 72 | 38 |
| 7 | Tobias Foss | 2 | 65 | 0 |
| 8 | Stefan Küng | 5 | 58 | 0 |
| 9 | Victor Campenaerts | 0 | 52 | 0 |
| 10 | Brandon McNulty | 1 | 47 | 32 |
| 11 | Bruno Armirail | 3 | 43 | 0 |
| 12 | Primoz Roglic | 2 | 40 | 0 |
| 13 | Magnus Sheffield | 1 | 36 | 27 |
| 14 | Mikkel Bjerg | 1 | 32 | 26 |
| 15 | Nelson Oliveira | 4 | 29 | 0 |
| 16 | Søren Wærenskjold | 0 | 27 | 0 |
| 17 | Daan Hoole | 2 | 25 | 0 |
| 18 | Walter Vargas | 0 | 23 | 0 |
| 19 | Pier-André Côté | 0 | 22 | 0 |
| 20 | Miguel Heidemann | 0 | 20 | 0 |
| 21 | Thibault Guernalec | 0 | 18 | 0 |
| 22 | Derek Gee | 0 | 16 | 0 |
| 23 | Max Schachmann | 1 | 14 | 12 |
| 24 | Joao Almeida | 2 | 13 | 0 |
| 25 | David de la Cruz | 0 | 11 | 0 |
| 26 | Raúl García | 0 | 9 | 0 |
| 27 | Mathias Vacek | 2 | 7 | 0 |
| 28 | Filip Maciejuk | 0 | 5 | 0 |
| 29 | Stefan Bissegger | 0 | 3 | 0 |
| 30 | Yevgeniy Fedorov | 0 | 2 | 0 |
World Championship Road Race
Single Rider Fantasy League 2024
Results
Players
A total of 43 players entered:
| User | Pick | Base | Bonus | Score |
|---|---|---|---|---|
| ssfoxx27 | Ben O'Connor | 280 | 116 | 396 |
| BWallis17 | Toms Skujins | 175 | 108 | 283 |
| Tuttle_not_Buttle | Ben Healy | 126 | 96 | 222 |
| LynniePinnie67 | Bauke Mollema | 78 | 76 | 154 |
| djordastic | Tadej Pogacar | 87.5 | 0 | 87.5 |
| fewfiet | Tadej Pogacar | 87.5 | 0 | 87.5 |
| listenyall | Tadej Pogacar | 87.5 | 0 | 87.5 |
| Low-Finance-9556 | Tadej Pogacar | 87.5 | 0 | 87.5 |
| arne-b | Marc Hirschi | 70 | 0 | 70 |
| Divergee5 | Marc Hirschi | 70 | 0 | 70 |
| Funny-Substance5576 | Remco Evenepoel | 52.7 | 0 | 52.7 |
| SparkleCrotchLover | Remco Evenepoel | 52.7 | 0 | 52.7 |
| YourBeneluxOverlords | Remco Evenepoel | 52.7 | 0 | 52.7 |
| Avila99 | Romain Bardet | 45.5 | 0 | 45.5 |
| RaylanGivens8 | Romain Bardet | 45.5 | 0 | 45.5 |
| Salty-Level | Juan Ayuso | 18 | 18 | 36 |
| LurkasM1 | Florian Lipowitz | 10 | 10 | 20 |
| fetamorphasis | Adam Yates | 4 | 4 | 8 |
| andytheciderman | Valentin Madouas | 8 | 0 | 8 |
| AwakenTheBacon_ | Valentin Madouas | 8 | 0 | 8 |
| paulindy2000 | Valentin Madouas | 8 | 0 | 8 |
| vbarrielle | Valentin Madouas | 8 | 0 | 8 |
| alphaa_doge | Derek Gee | 0 | 0 | 0 |
| Ok_Chipmunk_3854 | Derek Gee | 0 | 0 | 0 |
| Sappert | Derek Gee | 0 | 0 | 0 |
| nahgoe16 | Georg Steinhauser | 0 | 0 | 0 |
| Lyx97 | Jay Vine | 0 | 0 | 0 |
| wonderbeann | Jay Vine | 0 | 0 | 0 |
| bassmanyoowan | Jonas Abrahamsen | 0 | 0 | 0 |
| JDdieSonne | Matteo Jorgenson | 0 | 0 | 0 |
| Nussig | Matteo Jorgenson | 0 | 0 | 0 |
| beaker15 | Mattias Skjelmose | 0 | 0 | 0 |
| Redskin44 | Mattias Skjelmose | 0 | 0 | 0 |
| BSantos57 | Maxim Van Gils | 0 | 0 | 0 |
| Eyeconoclastic | Michael Matthews | 0 | 0 | 0 |
| Team_Telekom | Michael Matthews | 0 | 0 | 0 |
| MrR2D | Neilson Powless | 0 | 0 | 0 |
| Xcpa9 | Neilson Powless | 0 | 0 | 0 |
| CudoLanda | Pello Bilbao | 0 | 0 | 0 |
| Thomas1VL | Pello Bilbao | 0 | 0 | 0 |
| yellow52 | Pello Bilbao | 0 | 0 | 0 |
| iamczecksy | Stephen Williams | 0 | 0 | 0 |
| sharkbait_hahaha | Tiesj Benoot | 0 | 0 | 0 |
Riders
The Top 30 finishers were:
| Rank | Rider | Picks | Base | Bonus |
|---|---|---|---|---|
| 1 | Tadej Pogacar | 4 | 350 | 0 |
| 2 | Ben O'Connor | 1 | 280 | 116 |
| 3 | Mathieu van der Poel | 0 | 210 | 0 |
| 4 | Toms Skujins | 1 | 175 | 108 |
| 5 | Remco Evenepoel | 3 | 158 | 0 |
| 6 | Marc Hirschi | 2 | 140 | 0 |
| 7 | Ben Healy | 1 | 126 | 96 |
| 8 | Enric Mas | 0 | 112 | 0 |
| 9 | Quinn Simmons | 0 | 101 | 0 |
| 10 | Romain Bardet | 2 | 91 | 0 |
| 11 | Roger Adrià | 0 | 84 | 0 |
| 12 | Bauke Mollema | 1 | 78 | 76 |
| 13 | Mads Pedersen | 0 | 70 | 0 |
| 14 | Markus Hoelgaard | 0 | 62 | 0 |
| 15 | Georg Zimmermann | 0 | 56 | 0 |
| 16 | Oscar Onley | 0 | 52 | 0 |
| 17 | Brandon McNulty | 0 | 48 | 0 |
| 18 | Jai Hindley | 0 | 45 | 0 |
| 19 | Kevin Vermaerke | 0 | 42 | 0 |
| 20 | Mathias Vacek | 0 | 39 | 0 |
| 21 | Archie Ryan | 0 | 35 | 0 |
| 22 | Valentin Madouas | 4 | 32 | 0 |
| 23 | Frederik Wandahl | 0 | 28 | 0 |
| 24 | Magnus Cort | 0 | 25 | 0 |
| 25 | Giulio Ciccone | 0 | 21 | 0 |
| 26 | Juan Ayuso | 1 | 18 | 18 |
| 27 | Attila Valter | 0 | 14 | 0 |
| 28 | Florian Lipowitz | 1 | 10 | 10 |
| 29 | Felix Großschartner | 0 | 8 | 0 |
| 30 | Adam Yates | 1 | 4 | 4 |
Tour de Pologne
Single Rider Fantasy League 2024
Results
Players
A total of 40 players entered:
| User | Pick | Base | Bonus | Score |
|---|---|---|---|---|
| vbarrielle | Romain Grégoire | 100 | 54 | 154 |
| MrR2D | Jan Christen | 32 | 32 | 64 |
| ssfoxx27 | Mark Donovan | 22 | 22 | 44 |
| AwakenTheBacon_ | Diego Ulissi | 40 | 0 | 40 |
| burden321 | Diego Ulissi | 40 | 0 | 40 |
| Divergee5 | Diego Ulissi | 40 | 0 | 40 |
| Judas_Bishop | Diego Ulissi | 40 | 0 | 40 |
| Lxnnox | Jakob Fuglsang | 20 | 20 | 40 |
| Redskin44 | Magnus Sheffield | 30 | 0 | 30 |
| sharkbait_hahaha | Magnus Sheffield | 30 | 0 | 30 |
| yellow52 | Magnus Sheffield | 30 | 0 | 30 |
| Avila99 | Jonas Vingegaard | 28.6 | 0 | 28.6 |
| fetamorphasis | Jonas Vingegaard | 28.6 | 0 | 28.6 |
| fewfiet | Jonas Vingegaard | 28.6 | 0 | 28.6 |
| iamczecksy | Jonas Vingegaard | 28.6 | 0 | 28.6 |
| markp88 | Jonas Vingegaard | 28.6 | 0 | 28.6 |
| Nussig | Jonas Vingegaard | 28.6 | 0 | 28.6 |
| Tuttle_not_Buttle | Jonas Vingegaard | 28.6 | 0 | 28.6 |
| CudoLanda | Oscar Onley | 26 | 0 | 26 |
| the_ginger27 | Oscar Onley | 26 | 0 | 26 |
| nahgoe16 | Archie Ryan | 8 | 8 | 16 |
| BWallis17 | Felix Großschartner | 14 | 0 | 14 |
| RaylanGivens8 | Felix Großschartner | 14 | 0 | 14 |
| BSantos57 | Rafal Majka | 13 | 0 | 13 |
| wonderbeann | Rafal Majka | 13 | 0 | 13 |
| alpal2214 | Aurélien Paret-Peintre | 10 | 0 | 10 |
| arne-b | Aurélien Paret-Peintre | 10 | 0 | 10 |
| listenyall | Aurélien Paret-Peintre | 10 | 0 | 10 |
| paulindy2000 | Aurélien Paret-Peintre | 10 | 0 | 10 |
| beaker15 | Tim Wellens | 4 | 0 | 4 |
| Sappert | Tim Wellens | 4 | 0 | 4 |
| YourBeneluxOverlords | Tim Wellens | 4 | 0 | 4 |
| LynniePinnie67 | Davide Formolo | 0 | 0 | 0 |
| JDdieSonne | Max Schachmann | 0 | 0 | 0 |
| LurkasM1 | Max Schachmann | 0 | 0 | 0 |
| ser-seaworth | Max Schachmann | 0 | 0 | 0 |
| Thomas1VL | Pello Bilbao | 0 | 0 | 0 |
| Salty-Level | Romain Bardet | 0 | 0 | 0 |
| andytheciderman | Thibau Nys | 0 | 0 | 0 |
| Team_Telekom | Tobias Foss | 0 | 0 | 0 |
Riders
The Top 30 finishers were:
| Rank | Rider | Picks | Base | Bonus |
|---|---|---|---|---|
| 1 | Jonas Vingegaard | 7 | 200 | 0 |
| 2 | Diego Ulissi | 4 | 160 | 0 |
| 3 | Wilco Kelderman | 0 | 120 | 0 |
| 4 | Romain Grégoire | 1 | 100 | 54 |
| 5 | Magnus Sheffield | 3 | 90 | 0 |
| 6 | Matej Mohoric | 0 | 80 | 0 |
| 7 | Edoardo Zambanini | 0 | 72 | 0 |
| 8 | Yannis Voisard | 0 | 64 | 0 |
| 9 | Mikkel Honore | 0 | 58 | 0 |
| 10 | Oscar Onley | 2 | 52 | 0 |
| 11 | Raúl García | 0 | 48 | 0 |
| 12 | William Barta | 0 | 44 | 0 |
| 13 | Aurélien Paret-Peintre | 4 | 40 | 0 |
| 14 | Ben Hermans | 0 | 36 | 0 |
| 15 | Jan Christen | 1 | 32 | 32 |
| 16 | Alessandro Verre | 0 | 30 | 0 |
| 17 | Felix Großschartner | 2 | 28 | 0 |
| 18 | Rafal Majka | 2 | 26 | 0 |
| 19 | Hugo Houle | 0 | 24 | 0 |
| 20 | Mark Donovan | 1 | 22 | 22 |
| 21 | Jakob Fuglsang | 1 | 20 | 20 |
| 22 | Stan Dewulf | 0 | 18 | 0 |
| 23 | Francesco Busatto | 0 | 16 | 0 |
| 24 | David Peña Jesus | 0 | 14 | 0 |
| 25 | Tim Wellens | 3 | 12 | 0 |
| 26 | Fredrik Hagen Carl | 0 | 10 | 0 |
| 27 | Archie Ryan | 1 | 8 | 8 |
| 28 | Piotr Pekala | 0 | 6 | 0 |
| 29 | Fred Wright | 0 | 4 | 0 |
| 30 | Frederik Wandahl | 0 | 2 | 0 |
Donostia San Sebastian
Single Rider Fantasy League 2024
Results
Players
A total of 45 players entered:
| User | Pick | Base | Bonus | Score |
|---|---|---|---|---|
| alpal2214 | Marc Hirschi | 180 | 45 | 225 |
| paulindy2000 | Julian Alaphilippe | 144 | 44 | 188 |
| BWallis17 | Kevin Vermaerke | 90 | 41 | 131 |
| LynniePinnie67 | Neilson Powless | 72 | 38 | 110 |
| ser-seaworth | Michael Woods | 58 | 35 | 93 |
| andytheciderman | Jan Christen | 52 | 33 | 85 |
| LJSchoppert | Brandon McNulty | 47 | 32 | 79 |
| nahgoe16 | Clément Berthet | 32 | 26 | 58 |
| Judas_Bishop | Jefferson Cepeda | 12 | 0 | 12 |
| SparkleCrotchLover | Jefferson Cepeda | 12 | 0 | 12 |
| ssfoxx27 | Jefferson Cepeda | 12 | 0 | 12 |
| RaylanGivens8 | Maxim Van Gils | 5.8 | 0 | 5.8 |
| Sappert | Maxim Van Gils | 5.8 | 0 | 5.8 |
| Tuttle_not_Buttle | Maxim Van Gils | 5.8 | 0 | 5.8 |
| YourBeneluxOverlords | Maxim Van Gils | 5.8 | 0 | 5.8 |
| markp88 | Alex Aranburu | 0 | 0 | 0 |
| arne-b | Clément Champoussin | 0 | 0 | 0 |
| LurkasM1 | Daniel Martinez | 0 | 0 | 0 |
| Thomas1VL | Daniel Martinez | 0 | 0 | 0 |
| BSantos57 | Giulio Ciccone | 0 | 0 | 0 |
| Ok_Chipmunk_3854 | Giulio Ciccone | 0 | 0 | 0 |
| Avila99 | Isaac del Toro | 0 | 0 | 0 |
| burden321 | Ivan Romeo | 0 | 0 | 0 |
| AwakenTheBacon_ | Jonas Vingegaard | 0 | 0 | 0 |
| fewfiet | Jonas Vingegaard | 0 | 0 | 0 |
| iamczecksy | Jonas Vingegaard | 0 | 0 | 0 |
| listenyall | Jonas Vingegaard | 0 | 0 | 0 |
| Norskov | Jonas Vingegaard | 0 | 0 | 0 |
| Nussig | Jonas Vingegaard | 0 | 0 | 0 |
| vbarrielle | Lenny Martinez | 0 | 0 | 0 |
| beaker15 | Mikel Landa | 0 | 0 | 0 |
| Divergee5 | Mikel Landa | 0 | 0 | 0 |
| wonderbeann | Mikel Landa | 0 | 0 | 0 |
| yellow52 | Mikel Landa | 0 | 0 | 0 |
| VeggieLegs21 | Pello Bilbao | 0 | 0 | 0 |
| djordastic | Richard Carapaz | 0 | 0 | 0 |
| Salty-Level | Richard Carapaz | 0 | 0 | 0 |
| detestrian | Romain Bardet | 0 | 0 | 0 |
| Eyeconoclastic | Romain Bardet | 0 | 0 | 0 |
| fetamorphasis | Santiago Buitrago | 0 | 0 | 0 |
| Redskin44 | Santiago Buitrago | 0 | 0 | 0 |
| CudoLanda | Simon Yates | 0 | 0 | 0 |
| JDdieSonne | Simon Yates | 0 | 0 | 0 |
| Lxnnox | Simon Yates | 0 | 0 | 0 |
| MrR2D | Simon Yates | 0 | 0 | 0 |
Riders
The Top 30 finishers were:
| Rank | Rider | Picks | Base | Bonus |
|---|---|---|---|---|
| 1 | Marc Hirschi | 1 | 180 | 45 |
| 2 | Julian Alaphilippe | 1 | 144 | 44 |
| 3 | Lennert Van Eetvelt | 0 | 108 | 0 |
| 4 | Kevin Vermaerke | 1 | 90 | 41 |
| 5 | Jhonnatan Narvaez | 0 | 81 | 0 |
| 6 | Neilson Powless | 1 | 72 | 38 |
| 7 | Patrick Konrad | 0 | 65 | 0 |
| 8 | Michael Woods | 1 | 58 | 35 |
| 9 | Jan Christen | 1 | 52 | 33 |
| 10 | Brandon McNulty | 1 | 47 | 32 |
| 11 | Ben O'Connor | 0 | 43 | 0 |
| 12 | George Bennett | 0 | 40 | 0 |
| 13 | Jefferson Cepeda | 3 | 36 | 0 |
| 14 | Clément Berthet | 1 | 32 | 26 |
| 15 | Florian Lipowitz | 0 | 29 | 0 |
| 16 | Andreas Kron | 0 | 27 | 0 |
| 17 | Pablo Castrillo | 0 | 25 | 0 |
| 18 | Maxim Van Gils | 4 | 23 | 0 |
| 19 | Pavel Sivakov | 0 | 22 | 0 |
| 20 | Julien Bernard | 0 | 20 | 0 |
| 21 | Lorenzo Rota | 0 | 18 | 0 |
| 22 | Giovanni Aleotti | 0 | 16 | 0 |
| 23 | Halland Johannessen Tobias | 0 | 14 | 0 |
| 24 | Mauri Vansevenant | 0 | 13 | 0 |
| 25 | Alexander Hajek | 0 | 11 | 0 |
| 26 | Jordan Jegat | 0 | 9 | 0 |
| 27 | Óscar Rodríguez | 0 | 7 | 0 |
| 28 | Lawrence Warbasse | 0 | 5 | 0 |
| 29 | Jack Haig | 0 | 3 | 0 |
| 30 | Filippo Zana | 0 | 2 | 0 |
Tour de France
Single Rider Fantasy League 2024
Results
Players
A total of 75 players entered:
| User | Pick | Base | Bonus | Score |
|---|---|---|---|---|
| ZBGT | Santiago Buitrago | 156 | 126 | 282 |
| Zeckesan | Giulio Ciccone | 144 | 120 | 264 |
| sharkbait_hahaha | Guillaume Martin | 120 | 108 | 228 |
| the_ginger27 | Steff Cras | 90 | 90 | 180 |
| Joder-tio | Mikel Landa | 135 | 0 | 135 |
| wonderbeann | Mikel Landa | 135 | 0 | 135 |
| Judas_Bishop | Remco Evenepoel | 120 | 0 | 120 |
| Nussig | Remco Evenepoel | 120 | 0 | 120 |
| YourBeneluxOverlords | Remco Evenepoel | 120 | 0 | 120 |
| Avila99 | Joao Almeida | 100 | 0 | 100 |
| paaulo | Joao Almeida | 100 | 0 | 100 |
| Solesticio | Joao Almeida | 100 | 0 | 100 |
| beaker15 | Adam Yates | 80 | 0 | 80 |
| neo487666 | Adam Yates | 80 | 0 | 80 |
| thebigscratch | Adam Yates | 80 | 0 | 80 |
| fewfiet | Tadej Pogacar | 75 | 0 | 75 |
| Kryziven | Tadej Pogacar | 75 | 0 | 75 |
| maaiikeen | Tadej Pogacar | 75 | 0 | 75 |
| markp88 | Tadej Pogacar | 75 | 0 | 75 |
| narlano | Tadej Pogacar | 75 | 0 | 75 |
| Sappert | Tadej Pogacar | 75 | 0 | 75 |
| Thomas1VL | Tadej Pogacar | 75 | 0 | 75 |
| Wateroski | Tadej Pogacar | 75 | 0 | 75 |
| BSantos57 | Carlos Rodriguez | 72 | 0 | 72 |
| listenyall | Carlos Rodriguez | 72 | 0 | 72 |
| Tuttle_not_Buttle | Carlos Rodriguez | 72 | 0 | 72 |
| iamczecksy | Matteo Jorgenson | 64 | 0 | 64 |
| JDdieSonne | Matteo Jorgenson | 64 | 0 | 64 |
| LJSchoppert | Matteo Jorgenson | 64 | 0 | 64 |
| beerdrinker_mavech | Ben Healy | 24 | 24 | 48 |
| KhaledHisham_22 | Laurens De Plus | 48 | 0 | 48 |
| MrR2D | Laurens De Plus | 48 | 0 | 48 |
| Divergee5 | Felix Gall | 36 | 0 | 36 |
| GOLDUPGRADEPACKS | Felix Gall | 36 | 0 | 36 |
| Xcpa9 | Felix Gall | 36 | 0 | 36 |
| bassmanyoowan | Wilco Kelderman | 30 | 0 | 30 |
| ser-seaworth | Wilco Kelderman | 30 | 0 | 30 |
| alpal2214 | Derek Gee | 24.9 | 0 | 24.9 |
| baat | Derek Gee | 24.9 | 0 | 24.9 |
| bwong87 | Derek Gee | 24.9 | 0 | 24.9 |
| fetamorphasis | Derek Gee | 24.9 | 0 | 24.9 |
| Kbo007 | Derek Gee | 24.9 | 0 | 24.9 |
| LynniePinnie67 | Derek Gee | 24.9 | 0 | 24.9 |
| Mattxps | Derek Gee | 24.9 | 0 | 24.9 |
| Ok_Chipmunk_3854 | Enric Mas | 24 | 0 | 24 |
| Revolution64 | Enric Mas | 24 | 0 | 24 |
| Seabhac7 | Enric Mas | 24 | 0 | 24 |
| arne-b | Romain Bardet | 6 | 6 | 12 |
| CudoLanda | Egan Bernal | 3 | 0 | 3 |
| MadnessBeliever | Egan Bernal | 3 | 0 | 3 |
| ssfoxx27 | Egan Bernal | 3 | 0 | 3 |
| Team_Telekom | Egan Bernal | 3 | 0 | 3 |
| LurkasM1 | Aleksandr Vlasov | 0 | 0 | 0 |
| Pokesoulmaster | Bryan Coquard | 0 | 0 | 0 |
| Lxnnox | Cristian Rodriguez | 0 | 0 | 0 |
| mcrorigan | Cristian Rodriguez | 0 | 0 | 0 |
| nahgoe16 | David Gaudu | 0 | 0 | 0 |
| vbarrielle | David Gaudu | 0 | 0 | 0 |
| DerpTrain | Geraint Thomas | 0 | 0 | 0 |
| runhaags1 | Jan Hirt | 0 | 0 | 0 |
| AwakenTheBacon_ | Juan Ayuso | 0 | 0 | 0 |
| VeggieLegs21 | Juan Ayuso | 0 | 0 | 0 |
| paulindy2000 | Lenny Martinez | 0 | 0 | 0 |
| Salty-Level | Matej Mohoric | 0 | 0 | 0 |
| flemingo24 | Oscar Onley | 0 | 0 | 0 |
| BWallis17 | Pello Bilbao | 0 | 0 | 0 |
| andytheciderman | Primoz Roglic | 0 | 0 | 0 |
| bizzileb1tch | Primoz Roglic | 0 | 0 | 0 |
| detestrian | Primoz Roglic | 0 | 0 | 0 |
| djordastic | Primoz Roglic | 0 | 0 | 0 |
| NinaOneEight | Primoz Roglic | 0 | 0 | 0 |
| MtLupus | Silvan Dillier | 0 | 0 | 0 |
| Redskin44 | Stephen Williams | 0 | 0 | 0 |
| yellow52 | Tom Pidcock | 0 | 0 | 0 |
| Flounder | Wout van Aert | 0 | 0 | 0 |
Riders
The Top 30 finishers were:
| Rank | Rider | Picks | Base | Bonus |
|---|---|---|---|---|
| 1 | Tadej Pogacar | 8 | 600 | 0 |
| 2 | Jonas Vingegaard | 0 | 480 | 0 |
| 3 | Remco Evenepoel | 3 | 360 | 0 |
| 4 | Joao Almeida | 3 | 300 | 0 |
| 5 | Mikel Landa | 2 | 270 | 0 |
| 6 | Adam Yates | 3 | 240 | 0 |
| 7 | Carlos Rodriguez | 3 | 216 | 0 |
| 8 | Matteo Jorgenson | 3 | 192 | 0 |
| 9 | Derek Gee | 7 | 174 | 0 |
| 10 | Santiago Buitrago | 1 | 156 | 126 |
| 11 | Giulio Ciccone | 1 | 144 | 120 |
| 12 | Simon Yates | 0 | 132 | 0 |
| 13 | Guillaume Martin | 1 | 120 | 108 |
| 14 | Felix Gall | 3 | 108 | 0 |
| 15 | Laurens De Plus | 2 | 96 | 0 |
| 16 | Steff Cras | 1 | 90 | 90 |
| 17 | Richard Carapaz | 0 | 84 | 0 |
| 18 | Jai Hindley | 0 | 78 | 0 |
| 19 | Enric Mas | 3 | 72 | 0 |
| 20 | Louis Meintjes | 0 | 66 | 0 |
| 21 | Wilco Kelderman | 2 | 60 | 0 |
| 22 | Julien Bernard | 0 | 54 | 0 |
| 23 | Javier Romo | 0 | 48 | 0 |
| 24 | Carlos Verona | 0 | 42 | 0 |
| 25 | Valentin Madouas | 0 | 36 | 0 |
| 26 | Ilan Van Wilder | 0 | 30 | 0 |
| 27 | Ben Healy | 1 | 24 | 24 |
| 28 | Jordan Jegat | 0 | 18 | 0 |
| 29 | Egan Bernal | 4 | 12 | 0 |
| 30 | Romain Bardet | 1 | 6 | 6 |
Tour de Suisse
Single Rider Fantasy League 2024
Results
Players
A total of 46 players entered:
| User | Pick | Base | Bonus | Score |
|---|---|---|---|---|
| Avila99 | Mattias Skjelmose | 168 | 84 | 252 |
| Seabhac7 | Tom Pidcock | 112 | 75 | 187 |
| fewfiet | Adam Yates | 140 | 0 | 140 |
| Nussig | Adam Yates | 140 | 0 | 140 |
| CudoLanda | Felix Gall | 73 | 63 | 136 |
| Salty-Level | Sergio Higuita | 62 | 57 | 119 |
| Judas_Bishop | George Bennett | 39 | 39 | 78 |
| andytheciderman | Joao Almeida | 56 | 0 | 56 |
| fetamorphasis | Joao Almeida | 56 | 0 | 56 |
| nahgoe16 | Joao Almeida | 56 | 0 | 56 |
| SparkleCrotchLover | Joao Almeida | 56 | 0 | 56 |
| BWallis17 | Enric Mas | 50.5 | 0 | 50.5 |
| Ok_Chipmunk_3854 | Enric Mas | 50.5 | 0 | 50.5 |
| DerpTrain | Oscar Onley | 45 | 0 | 45 |
| mcrorigan | Oscar Onley | 45 | 0 | 45 |
| vbarrielle | Valentin Paret-Peintre | 17 | 17 | 34 |
| LJSchoppert | Isaac del Toro | 18.7 | 0 | 18.7 |
| MadnessBeliever | Isaac del Toro | 18.7 | 0 | 18.7 |
| neo487666 | Isaac del Toro | 18.7 | 0 | 18.7 |
| MrR2D | Maxim Van Gils | 8 | 8 | 16 |
| ssfoxx27 | Junior Lecerf William | 14 | 0 | 14 |
| the_ginger27 | Junior Lecerf William | 14 | 0 | 14 |
| iamczecksy | Ben Tulett | 11 | 0 | 11 |
| ZBGT | Ben Tulett | 11 | 0 | 11 |
| AwakenTheBacon_ | Wout Poels | 8.4 | 0 | 8.4 |
| LynniePinnie67 | Wout Poels | 8.4 | 0 | 8.4 |
| Sappert | Wout Poels | 8.4 | 0 | 8.4 |
| Team_Telekom | Wout Poels | 8.4 | 0 | 8.4 |
| wonderbeann | Wout Poels | 8.4 | 0 | 8.4 |
| alpal2214 | Damiano Caruso | 0 | 0 | 0 |
| Eyeconoclastic | Damien Howson | 0 | 0 | 0 |
| Lxnnox | Emanuel Buchmann | 0 | 0 | 0 |
| Joder-tio | Kévin Vauquelin | 0 | 0 | 0 |
| ser-seaworth | Kévin Vauquelin | 0 | 0 | 0 |
| paulindy2000 | Lenny Martinez | 0 | 0 | 0 |
| sharkbait_hahaha | Lenny Martinez | 0 | 0 | 0 |
| bassmanyoowan | Marc Hirschi | 0 | 0 | 0 |
| flemingo24 | Nairo Quintana | 0 | 0 | 0 |
| Kryziven | Nairo Quintana | 0 | 0 | 0 |
| Redskin44 | Nairo Quintana | 0 | 0 | 0 |
| BSantos57 | Richard Carapaz | 0 | 0 | 0 |
| RaylanGivens8 | Richard Carapaz | 0 | 0 | 0 |
| narlano | Roger Adriá | 0 | 0 | 0 |
| detestrian | Thibau Nys | 0 | 0 | 0 |
| burden321 | Yannis Voisard | 0 | 0 | 0 |
| Tuttle_not_Buttle | Yannis Voisard | 0 | 0 | 0 |
Riders
The Top 30 Finishers Were:
| Rank | Rider | Picks | Base | Bonus |
|---|---|---|---|---|
| 1 | Adam Yates | 2 | 280 | 0 |
| 2 | Joao Almeida | 4 | 224 | 0 |
| 3 | Mattias Skjelmose | 1 | 168 | 84 |
| 4 | Egan Bernal | 0 | 140 | 0 |
| 5 | Matthew Riccitello | 0 | 126 | 0 |
| 6 | Tom Pidcock | 1 | 112 | 75 |
| 7 | Enric Mas | 2 | 101 | 0 |
| 8 | Oscar Onley | 2 | 90 | 0 |
| 9 | Wilco Kelderman | 0 | 81 | 0 |
| 10 | Felix Gall | 1 | 73 | 63 |
| 11 | Pelayo Sanchez | 0 | 67 | 0 |
| 12 | Sergio Higuita | 1 | 62 | 57 |
| 13 | Isaac del Toro | 3 | 56 | 0 |
| 14 | David de la Cruz | 0 | 50 | 0 |
| 15 | Matteo Badilatti | 0 | 45 | 0 |
| 16 | Wout Poels | 5 | 42 | 0 |
| 17 | George Bennett | 1 | 39 | 39 |
| 18 | Martin López | 0 | 36 | 0 |
| 19 | Marco Brenner | 0 | 34 | 0 |
| 20 | Finlay Pickering | 0 | 31 | 0 |
| 21 | Junior Lecerf William | 2 | 28 | 0 |
| 22 | Brandon Rivera | 0 | 25 | 0 |
| 23 | Ben Tulett | 2 | 22 | 0 |
| 24 | Einer Rubio | 0 | 20 | 0 |
| 25 | Valentin Paret-Peintre | 1 | 17 | 17 |
| 26 | Johannes Staune-Mittet | 0 | 14 | 0 |
| 27 | Attila Valter | 0 | 11 | 0 |
| 28 | Maxim Van Gils | 1 | 8 | 8 |
| 29 | Frank van den Broek | 0 | 6 | 0 |
| 30 | Jan Christen | 0 | 3 | 0 |
Criterium du Dauphiné
Single Rider Fantasy League 2024
Results
Players
A total of 58 players entered:
| User | Pick | Base | Bonus | Score |
|---|---|---|---|---|
| AwakenTheBacon_ | Jack Haig | 42 | 42 | 84 |
| ser-seaworth | Marc Soler | 39 | 39 | 78 |
| sharkbait_hahaha | Guillaume Martin | 34 | 34 | 68 |
| SparkleCrotchLover | Aleksandr Vlasov | 56 | 0 | 56 |
| VeggieLegs21 | Aleksandr Vlasov | 56 | 0 | 56 |
| djordastic | Primoz Roglic | 56 | 0 | 56 |
| fewfiet | Primoz Roglic | 56 | 0 | 56 |
| lukmanCZ | Primoz Roglic | 56 | 0 | 56 |
| Nussig | Primoz Roglic | 56 | 0 | 56 |
| Salty-Level | Primoz Roglic | 56 | 0 | 56 |
| ich1maru | Remco Evenepoel | 50.5 | 0 | 50.5 |
| YourBeneluxOverlords | Remco Evenepoel | 50.5 | 0 | 50.5 |
| Divergee5 | Mikel Landa | 36.5 | 0 | 36.5 |
| runhaags1 | Mikel Landa | 36.5 | 0 | 36.5 |
| Avila99 | Carlos Rodriguez | 35 | 0 | 35 |
| detestrian | Carlos Rodriguez | 35 | 0 | 35 |
| RaylanGivens8 | Carlos Rodriguez | 35 | 0 | 35 |
| Xcpa9 | Carlos Rodriguez | 35 | 0 | 35 |
| alpal2214 | Matteo Jorgenson | 32 | 0 | 32 |
| JDdieSonne | Matteo Jorgenson | 32 | 0 | 32 |
| listenyall | Matteo Jorgenson | 32 | 0 | 32 |
| Ok_Chipmunk_3854 | Matteo Jorgenson | 32 | 0 | 32 |
| Seabhac7 | Matteo Jorgenson | 32 | 0 | 32 |
| Thomas1VL | Matteo Jorgenson | 32 | 0 | 32 |
| yellow52 | Matteo Jorgenson | 32 | 0 | 32 |
| beaker15 | David Gaudu | 22.5 | 0 | 22.5 |
| vbarrielle | David Gaudu | 22.5 | 0 | 22.5 |
| BSantos57 | Santiago Buitrago | 13.4 | 0 | 13.4 |
| BWallis17 | Santiago Buitrago | 13.4 | 0 | 13.4 |
| MadnessBeliever | Santiago Buitrago | 13.4 | 0 | 13.4 |
| markp88 | Santiago Buitrago | 13.4 | 0 | 13.4 |
| Mattxps | Santiago Buitrago | 13.4 | 0 | 13.4 |
| andytheciderman | Jai Hindley | 6.2 | 0 | 6.2 |
| fetamorphasis | Jai Hindley | 6.2 | 0 | 6.2 |
| Joder-tio | Jai Hindley | 6.2 | 0 | 6.2 |
| LurkasM1 | Jai Hindley | 6.2 | 0 | 6.2 |
| Lxnnox | Jai Hindley | 6.2 | 0 | 6.2 |
| LJSchoppert | Antonio Tiberi | 0 | 0 | 0 |
| burden321 | Chris Harper | 0 | 0 | 0 |
| Redskin44 | Chris Harper | 0 | 0 | 0 |
| ssfoxx27 | Chris Harper | 0 | 0 | 0 |
| Tuttle_not_Buttle | Chris Harper | 0 | 0 | 0 |
| CudoLanda | Clement Berthet | 0 | 0 | 0 |
| Judas_Bishop | Clement Berthet | 0 | 0 | 0 |
| Team_Telekom | Clement Berthet | 0 | 0 | 0 |
| arne-b | Cristian Rodriguez | 0 | 0 | 0 |
| wonderbeann | Cristian Rodriguez | 0 | 0 | 0 |
| mcrorigan | Ilan Van Wilder | 0 | 0 | 0 |
| the_ginger27 | Ilan Van Wilder | 0 | 0 | 0 |
| masterpierround | Juan Ayuso | 0 | 0 | 0 |
| Sappert | Juan Ayuso | 0 | 0 | 0 |
| DerpTrain | Neilson Powless | 0 | 0 | 0 |
| paulindy2000 | Pavel Sivakov | 0 | 0 | 0 |
| iamczecksy | Sepp Kuss | 0 | 0 | 0 |
| DorHarris | Tao Geoghegan Hart | 0 | 0 | 0 |
| Eyeconoclastic | Tao Geoghegan Hart | 0 | 0 | 0 |
| LynniePinnie67 | Tao Geoghegan Hart | 0 | 0 | 0 |
| MrR2D | Tao Geoghegan Hart | 0 | 0 | 0 |
Riders
The Top 30 finishers were:
| Rank | Rider | Picks | Base | Bonus |
|---|---|---|---|---|
| 1 | Primoz Roglic | 5 | 280 | 0 |
| 2 | Matteo Jorgenson | 7 | 224 | 0 |
| 3 | Derek Gee | 0 | 168 | 0 |
| 4 | Carlos Rodriguez | 4 | 140 | 0 |
| 5 | Laurens De Plus | 0 | 126 | 0 |
| 6 | Aleksandr Vlasov | 2 | 112 | 0 |
| 7 | Remco Evenepoel | 2 | 101 | 0 |
| 8 | Giulio Ciccone | 0 | 90 | 0 |
| 9 | Oier Lazkano | 0 | 81 | 0 |
| 10 | Mikel Landa | 2 | 73 | 0 |
| 11 | Santiago Buitrago | 5 | 67 | 0 |
| 12 | Javier Romo | 0 | 62 | 0 |
| 13 | Callum Scotson | 0 | 56 | 0 |
| 14 | Louis Meintjes | 0 | 50 | 0 |
| 15 | David Gaudu | 2 | 45 | 0 |
| 16 | Jack Haig | 1 | 42 | 42 |
| 17 | Marc Soler | 1 | 39 | 39 |
| 18 | Eduardo Sepulveda | 0 | 36 | 0 |
| 19 | Guillaume Martin | 1 | 34 | 34 |
| 20 | Jai Hindley | 5 | 31 | 0 |
| 21 | Dylan Teuns | 0 | 28 | 0 |
| 22 | Warren Barguil | 0 | 25 | 0 |
| 23 | Fredrik Hagen Carl | 0 | 22 | 0 |
| 24 | Jakob Fuglsang | 0 | 20 | 0 |
| 25 | Krists Neilands | 0 | 17 | 0 |
| 26 | Romain Grégoire | 0 | 14 | 0 |
| 27 | Nicolas Prodhomme | 0 | 11 | 0 |
| 28 | Bruno Armirail | 0 | 8 | 0 |
| 29 | Darren Rafferty | 0 | 6 | 0 |
| 30 | Bart Lemmen | 0 | 3 | 0 |
Giro d'Italia
Single Rider Fantasy League 2024
Results
Players
A total of 78 players entered:
| User | Pick | Base | Bonus | Score |
|---|---|---|---|---|
| Judas_Bishop | Jan Hirt | 160 | 115 | 275 |
| beaker15 | Daniel Martinez | 133.3 | 0 | 133.3 |
| djordastic | Daniel Martinez | 133.3 | 0 | 133.3 |
| Solesticio | Daniel Martinez | 133.3 | 0 | 133.3 |
| Mattxps | Antonio Tiberi | 112.5 | 0 | 112.5 |
| SparkleCrotchLover | Antonio Tiberi | 112.5 | 0 | 112.5 |
| andytheciderman | Geraint Thomas | 100 | 0 | 100 |
| Thomas1VL | Geraint Thomas | 100 | 0 | 100 |
| VeggieLegs21 | Geraint Thomas | 100 | 0 | 100 |
| LynniePinnie67 | Einer Rubio | 90 | 0 | 90 |
| yellow52 | Einer Rubio | 90 | 0 | 90 |
| ZBGT | Lorenzo Fortunato | 55 | 0 | 55 |
| Zeckesan | Lorenzo Fortunato | 55 | 0 | 55 |
| AwakenTheBacon_ | Tadej Pogacar | 41.7 | 0 | 41.7 |
| denali_11 | Tadej Pogacar | 41.7 | 0 | 41.7 |
| fewfiet | Tadej Pogacar | 41.7 | 0 | 41.7 |
| flemingo24 | Tadej Pogacar | 41.7 | 0 | 41.7 |
| iamczecksy | Tadej Pogacar | 41.7 | 0 | 41.7 |
| ItsDqoi | Tadej Pogacar | 41.7 | 0 | 41.7 |
| Joder-tio | Tadej Pogacar | 41.7 | 0 | 41.7 |
| Kryziven | Tadej Pogacar | 41.7 | 0 | 41.7 |
| masterpierround | Tadej Pogacar | 41.7 | 0 | 41.7 |
| neo487666 | Tadej Pogacar | 41.7 | 0 | 41.7 |
| Nussig | Tadej Pogacar | 41.7 | 0 | 41.7 |
| Sappert | Tadej Pogacar | 41.7 | 0 | 41.7 |
| burden321 | Thymen Arensman | 40 | 0 | 40 |
| BWallis17 | Thymen Arensman | 40 | 0 | 40 |
| narlano | Thymen Arensman | 40 | 0 | 40 |
| sharkbait_hahaha | Thymen Arensman | 40 | 0 | 40 |
| Xcpa9 | Thymen Arensman | 40 | 0 | 40 |
| baat | Ben O'Connor | 35.7 | 0 | 35.7 |
| JDdieSonne | Ben O'Connor | 35.7 | 0 | 35.7 |
| Randy_Manpipe | Ben O'Connor | 35.7 | 0 | 35.7 |
| RaylanGivens8 | Ben O'Connor | 35.7 | 0 | 35.7 |
| Seabhac7 | Ben O'Connor | 35.7 | 0 | 35.7 |
| vrobrolf | Ben O'Connor | 35.7 | 0 | 35.7 |
| Wateroski | Ben O'Connor | 35.7 | 0 | 35.7 |
| listenyall | Romain Bardet | 29 | 0 | 29 |
| markp88 | Romain Bardet | 29 | 0 | 29 |
| paulindy2000 | Romain Bardet | 29 | 0 | 29 |
| thebigscratch | Romain Bardet | 29 | 0 | 29 |
| vbarrielle | Romain Bardet | 29 | 0 | 29 |
| mcrorigan | Rafal Majka | 26.7 | 0 | 26.7 |
| Ok_Chipmunk_3854 | Rafal Majka | 26.7 | 0 | 26.7 |
| Tuttle_not_Buttle | Rafal Majka | 26.7 | 0 | 26.7 |
| DerpTrain | Damiano Caruso | 23.3 | 0 | 23.3 |
| LJSchoppert | Damiano Caruso | 23.3 | 0 | 23.3 |
| Norskov | Damiano Caruso | 23.3 | 0 | 23.3 |
| KhaledHisham_22 | Mauri Vansevenant | 5 | 5 | 10 |
| arne-b | Aurélien Paret-Peintre | 3.6 | 0 | 3.6 |
| Avila99 | Aurélien Paret-Peintre | 3.6 | 0 | 3.6 |
| DorHarris | Aurélien Paret-Peintre | 3.6 | 0 | 3.6 |
| Goutye | Aurélien Paret-Peintre | 3.6 | 0 | 3.6 |
| r_daveboiii | Aurélien Paret-Peintre | 3.6 | 0 | 3.6 |
| ssfoxx27 | Aurélien Paret-Peintre | 3.6 | 0 | 3.6 |
| wonderbeann | Aurélien Paret-Peintre | 3.6 | 0 | 3.6 |
| alpal2214 | Alexey Lutsenko | 0 | 0 | 0 |
| MrR2D | Alexey Lutsenko | 0 | 0 | 0 |
| BSantos57 | Cian Uijtdebroeks | 0 | 0 | 0 |
| CudoLanda | Cian Uijtdebroeks | 0 | 0 | 0 |
| Divergee5 | Cian Uijtdebroeks | 0 | 0 | 0 |
| YourBeneluxOverlords | Cian Uijtdebroeks | 0 | 0 | 0 |
| bassmanyoowan | Edward Dunbar | 0 | 0 | 0 |
| Redskin44 | Edward Dunbar | 0 | 0 | 0 |
| Robcobes | Edward Dunbar | 0 | 0 | 0 |
| Lxnnox | Felix Großschartner | 0 | 0 | 0 |
| ser-seaworth | Felix Großschartner | 0 | 0 | 0 |
| LurkasM1 | Florian Lipowitz | 0 | 0 | 0 |
| MadnessBeliever | Florian Lipowitz | 0 | 0 | 0 |
| Salty-Level | Florian Lipowitz | 0 | 0 | 0 |
| runhaags1 | Giulio Pellizzari | 0 | 0 | 0 |
| Team_Telekom | Giulio Pellizzari | 0 | 0 | 0 |
| Quaxcon | Hugo Hofstetter | 0 | 0 | 0 |
| detestrian | Jan Tratnik | 0 | 0 | 0 |
| mcbirk | Lucas Plapp | 0 | 0 | 0 |
| KVMechelen | Matteo Fabbro | 0 | 0 | 0 |
| Eyeconoclastic | Michael Woods | 0 | 0 | 0 |
| bizzileb1tch | Pedro Lopez Juan | 0 | 0 | 0 |
Riders
The Top 30 finishers were:
| Rank | Rider | Picks | Base | Bonus |
|---|---|---|---|---|
| 1 | Tadej Pogacar | 12 | 500 | 0 |
| 2 | Daniel Martinez | 3 | 400 | 0 |
| 3 | Geraint Thomas | 3 | 300 | 0 |
| 4 | Ben O'Connor | 7 | 250 | 0 |
| 5 | Antonio Tiberi | 2 | 225 | 0 |
| 6 | Thymen Arensman | 5 | 200 | 0 |
| 7 | Einer Rubio | 2 | 180 | 0 |
| 8 | Jan Hirt | 1 | 160 | 115 |
| 9 | Romain Bardet | 5 | 145 | 0 |
| 10 | Michael Storer | 0 | 130 | 0 |
| 11 | Filippo Zana | 0 | 120 | 0 |
| 12 | Lorenzo Fortunato | 2 | 110 | 0 |
| 13 | Davide Piganzoli | 0 | 100 | 0 |
| 14 | Simon Geschke | 0 | 90 | 0 |
| 15 | Rafal Majka | 3 | 80 | 0 |
| 16 | Valentin Paret-Peintre | 0 | 75 | 0 |
| 17 | Damiano Caruso | 3 | 70 | 0 |
| 18 | Luca Covili | 0 | 65 | 0 |
| 19 | Nairo Quintana | 0 | 60 | 0 |
| 20 | Domenico Pozzovivo | 0 | 55 | 0 |
| 21 | Alex Baudin | 0 | 50 | 0 |
| 22 | Attila Valter | 0 | 45 | 0 |
| 23 | Nicola Conci | 0 | 40 | 0 |
| 24 | Giovanni Aleotti | 0 | 35 | 0 |
| 25 | Michel Ries | 0 | 30 | 0 |
| 26 | Aurélien Paret-Peintre | 7 | 25 | 0 |
| 27 | Edoardo Zambanini | 0 | 20 | 0 |
| 28 | Jhonnatan Narvaez | 0 | 15 | 0 |
| 29 | Kevin Vermaerke | 0 | 10 | 0 |
| 30 | Mauri Vansevenant | 1 | 5 | 5 |
Eschborn–Frankfurt
Single Rider Fantasy League 2024
Results
Players
A total of 54 players entered:
| User | Pick | Base | Bonus | Score |
|---|---|---|---|---|
| Tuttle_not_Buttle | Riley Sheehan | 75 | 28 | 103 |
| Sappert | Lukas Nerurkar | 68 | 27 | 95 |
| AwakenTheBacon_ | Roger Adrià | 60 | 26 | 86 |
| LynniePinnie67 | Alex Aranburu | 45 | 0 | 45 |
| Xcpa9 | Alex Aranburu | 45 | 0 | 45 |
| fewfiet | Maxim Van Gils | 40 | 0 | 40 |
| Kryziven | Maxim Van Gils | 40 | 0 | 40 |
| YourBeneluxOverlords | Maxim Van Gils | 40 | 0 | 40 |
| CudoLanda | Jan Christen | 23 | 16 | 39 |
| JDdieSonne | Georg Zimmermann | 15 | 12 | 27 |
| wonderbeann | Frank van den Broek | 13 | 11 | 24 |
| djordastic | Marc Hirschi | 19.5 | 0 | 19.5 |
| flemingo24 | Marc Hirschi | 19.5 | 0 | 19.5 |
| listenyall | Thibau Nys | 13.5 | 0 | 13.5 |
| Nussig | Thibau Nys | 13.5 | 0 | 13.5 |
| Norskov | Anders Foldager | 0 | 0 | 0 |
| BSantos57 | Axel Laurance | 0 | 0 | 0 |
| MadnessBeliever | Axel Laurance | 0 | 0 | 0 |
| Thomas1VL | Axel Laurance | 0 | 0 | 0 |
| vrobrolf | Axel Laurance | 0 | 0 | 0 |
| Zeckesan | Axel Laurance | 0 | 0 | 0 |
| arne-b | Axel Zingle | 0 | 0 | 0 |
| Avila99 | Axel Zingle | 0 | 0 | 0 |
| masterpierround | Axel Zingle | 0 | 0 | 0 |
| Mattxps | Axel Zingle | 0 | 0 | 0 |
| paulindy2000 | Axel Zingle | 0 | 0 | 0 |
| SparkleCrotchLover | Axel Zingle | 0 | 0 | 0 |
| vbarrielle | Axel Zingle | 0 | 0 | 0 |
| markp88 | Halland Johannessen Tobias | 0 | 0 | 0 |
| Salty-Level | Halland Johannessen Tobias | 0 | 0 | 0 |
| detestrian | Iván García Cortina | 0 | 0 | 0 |
| ser-seaworth | Iván García Cortina | 0 | 0 | 0 |
| ssfoxx27 | John Degenkolb | 0 | 0 | 0 |
| sharkbait_hahaha | Jonas Abrahamsen | 0 | 0 | 0 |
| the_ginger27 | Laurenz Rex | 0 | 0 | 0 |
| Joder-tio | Lorenzo Rota | 0 | 0 | 0 |
| Judas_Bishop | Lorenzo Rota | 0 | 0 | 0 |
| VeggieLegs21 | Luca Mozzato | 0 | 0 | 0 |
| burden321 | Max Schachmann | 0 | 0 | 0 |
| BWallis17 | Max Schachmann | 0 | 0 | 0 |
| LurkasM1 | Max Schachmann | 0 | 0 | 0 |
| Redskin44 | Max Schachmann | 0 | 0 | 0 |
| Divergee5 | Nils Politt | 0 | 0 | 0 |
| neo487666 | Nils Politt | 0 | 0 | 0 |
| Ok_Chipmunk_3854 | Nils Politt | 0 | 0 | 0 |
| Team_Telekom | Nils Politt | 0 | 0 | 0 |
| beaker15 | Paul Magnier | 0 | 0 | 0 |
| DerpTrain | Paul Magnier | 0 | 0 | 0 |
| Goutye | Paul Magnier | 0 | 0 | 0 |
| bassmanyoowan | Sam Bennett | 0 | 0 | 0 |
| DorHarris | Sam Bennett | 0 | 0 | 0 |
| Eyeconoclastic | Sam Bennett | 0 | 0 | 0 |
| Seabhac7 | Sam Bennett | 0 | 0 | 0 |
| yellow52 | Søren Wærenskjold | 0 | 0 | 0 |
Riders
The Top 30 finishers were:
| Rank | Rider | Picks | Base | Bonus |
|---|---|---|---|---|
| 1 | Maxim Van Gils | 3 | 120 | 0 |
| 2 | Alex Aranburu | 2 | 90 | 0 |
| 3 | Riley Sheehan | 1 | 75 | 28 |
| 4 | Lukas Nerurkar | 1 | 68 | 27 |
| 5 | Roger Adrià | 1 | 60 | 26 |
| 6 | Kobe Goossens | 0 | 54 | 0 |
| 7 | Kevin Vermaerke | 0 | 48 | 0 |
| 8 | Søren Kragh Andersen | 0 | 44 | 0 |
| 9 | Marc Hirschi | 2 | 39 | 0 |
| 10 | Markus Hoelgaard | 0 | 36 | 0 |
| 11 | Jonathan Lastra | 0 | 33 | 0 |
| 12 | Diego Ulissi | 0 | 30 | 0 |
| 13 | Thibau Nys | 2 | 27 | 0 |
| 14 | Derek Gee | 0 | 25 | 0 |
| 15 | Jan Christen | 1 | 23 | 16 |
| 16 | David de la Cruz | 0 | 21 | 0 |
| 17 | Jonas Rutsch | 0 | 19 | 0 |
| 18 | Sergio Samitier | 0 | 17 | 0 |
| 19 | Georg Zimmermann | 1 | 15 | 12 |
| 20 | Frank van den Broek | 1 | 13 | 11 |
| 21 | Marco Haller | 0 | 11 | 0 |
| 22 | Neilson Powless | 0 | 9 | 0 |
| 23 | Emanuel Buchmann | 0 | 8 | 0 |
| 24 | Lucas Eriksson | 0 | 7 | 0 |
| 25 | Callum Scotson | 0 | 6 | 0 |
| 26 | Sergio Higuita | 0 | 5 | 0 |
| 27 | Matteo Badilatti | 0 | 4 | 0 |
| 28 | Ådne Holter | 0 | 3 | 0 |
| 29 | Christian Eiking Odd | 0 | 2 | 0 |
| 30 | Fausto Masnada | 0 | 1 | 0 |
Tour de Romandie
Single Rider Fantasy League 2024
Results
Players
A total of 59 players entered:
| User | Pick | Base | Bonus | Score |
|---|---|---|---|---|
| JDdieSonne | Tao Geoghegan Hart | 81 | 66 | 147 |
| DorHarris | Simon Yates | 67 | 60 | 127 |
| vbarrielle | David Gaudu | 50 | 50 | 100 |
| markp88 | Aleksandr Vlasov | 74.7 | 0 | 74.7 |
| narlano | Aleksandr Vlasov | 74.7 | 0 | 74.7 |
| Xcpa9 | Aleksandr Vlasov | 74.7 | 0 | 74.7 |
| andytheciderman | Carlos Rodriguez | 70 | 0 | 70 |
| MadnessBeliever | Carlos Rodriguez | 70 | 0 | 70 |
| Nussig | Carlos Rodriguez | 70 | 0 | 70 |
| wonderbeann | Carlos Rodriguez | 70 | 0 | 70 |
| BWallis17 | Ilan Van Wilder | 70 | 0 | 70 |
| MrR2D | Ilan Van Wilder | 70 | 0 | 70 |
| AwakenTheBacon_ | Juan Ayuso | 31.5 | 0 | 31.5 |
| fewfiet | Juan Ayuso | 31.5 | 0 | 31.5 |
| Kryziven | Juan Ayuso | 31.5 | 0 | 31.5 |
| masterpierround | Juan Ayuso | 31.5 | 0 | 31.5 |
| Joder-tio | Cristian Rodriguez | 31 | 0 | 31 |
| ssfoxx27 | Cristian Rodriguez | 31 | 0 | 31 |
| mcrorigan | Richard Carapaz | 25.3 | 0 | 25.3 |
| RaylanGivens8 | Richard Carapaz | 25.3 | 0 | 25.3 |
| Seabhac7 | Richard Carapaz | 25.3 | 0 | 25.3 |
| vrobrolf | Richard Carapaz | 25.3 | 0 | 25.3 |
| Divergee5 | Lenny Martinez | 22.5 | 0 | 22.5 |
| djordastic | Lenny Martinez | 22.5 | 0 | 22.5 |
| paulindy2000 | Lenny Martinez | 22.5 | 0 | 22.5 |
| Redskin44 | Lenny Martinez | 22.5 | 0 | 22.5 |
| DerpTrain | Enric Mas | 22.4 | 0 | 22.4 |
| Fanaertismo | Enric Mas | 22.4 | 0 | 22.4 |
| runhaags1 | Enric Mas | 22.4 | 0 | 22.4 |
| ser-seaworth | Enric Mas | 22.4 | 0 | 22.4 |
| Team_Telekom | Enric Mas | 22.4 | 0 | 22.4 |
| Sappert | Yannis Voisard | 14 | 0 | 14 |
| Tuttle_not_Buttle | Yannis Voisard | 14 | 0 | 14 |
| Goutye | Guillaume Martin | 13 | 0 | 13 |
| Judas_Bishop | Guillaume Martin | 13 | 0 | 13 |
| sharkbait_hahaha | Guillaume Martin | 13 | 0 | 13 |
| baat | Thymen Arensman | 3.7 | 0 | 3.7 |
| CudoLanda | Thymen Arensman | 3.7 | 0 | 3.7 |
| Eyeconoclastic | Thymen Arensman | 3.7 | 0 | 3.7 |
| alpal2214 | Jai Hindley | 1.3 | 0 | 1.3 |
| bassmanyoowan | Jai Hindley | 1.3 | 0 | 1.3 |
| Lxnnox | Jai Hindley | 1.3 | 0 | 1.3 |
| SparkleCrotchLover | Jai Hindley | 1.3 | 0 | 1.3 |
| unsatpat | Jai Hindley | 1.3 | 0 | 1.3 |
| VeggieLegs21 | Jai Hindley | 1.3 | 0 | 1.3 |
| flemingo24 | Alex Baudin | 0 | 0 | 0 |
| BSantos57 | Alexey Lutsenko | 0 | 0 | 0 |
| burden321 | Alexey Lutsenko | 0 | 0 | 0 |
| yellow52 | Alexey Lutsenko | 0 | 0 | 0 |
| nahgoe16 | Brandon McNulty | 0 | 0 | 0 |
| Avila99 | Damiano Caruso | 0 | 0 | 0 |
| Salty-Level | Damiano Caruso | 0 | 0 | 0 |
| LynniePinnie67 | Edward Dunbar | 0 | 0 | 0 |
| Zeckesan | Giulio Ciccone | 0 | 0 | 0 |
| neo487666 | Jan Tratnik | 0 | 0 | 0 |
| Norskov | Junior Lecerf William | 0 | 0 | 0 |
| Ok_Chipmunk_3854 | Lucas Plapp | 0 | 0 | 0 |
| ZBGT | Magnus Sheffield | 0 | 0 | 0 |
| detestrian | Maikel Zijlaard | 0 | 0 | 0 |
Riders
The Top 30 finishers were:
| Rank | Rider | Picks | Base | Bonus |
|---|---|---|---|---|
| 1 | Carlos Rodriguez | 4 | 280 | 0 |
| 2 | Aleksandr Vlasov | 3 | 224 | 0 |
| 3 | Florian Lipowitz | 0 | 168 | 0 |
| 4 | Ilan Van Wilder | 2 | 140 | 0 |
| 5 | Juan Ayuso | 4 | 126 | 0 |
| 6 | Enric Mas | 5 | 112 | 0 |
| 7 | Richard Carapaz | 4 | 101 | 0 |
| 8 | Lenny Martinez | 4 | 90 | 0 |
| 9 | Tao Geoghegan Hart | 1 | 81 | 66 |
| 10 | Egan Bernal | 0 | 73 | 0 |
| 11 | Simon Yates | 1 | 67 | 60 |
| 12 | Cristian Rodriguez | 2 | 62 | 0 |
| 13 | Adam Yates | 0 | 56 | 0 |
| 14 | David Gaudu | 1 | 50 | 50 |
| 15 | David de la Cruz | 0 | 45 | 0 |
| 16 | Harm Vanhoucke | 0 | 42 | 0 |
| 17 | Guillaume Martin | 3 | 39 | 0 |
| 18 | Pavel Sivakov | 0 | 36 | 0 |
| 19 | Damien Howson | 0 | 34 | 0 |
| 20 | Johannes Staune-Mittet | 0 | 31 | 0 |
| 21 | Yannis Voisard | 2 | 28 | 0 |
| 22 | Nicolas Prodhomme | 0 | 25 | 0 |
| 23 | Darren Rafferty | 0 | 22 | 0 |
| 24 | Ivan Sosa | 0 | 20 | 0 |
| 25 | Clément Berthet | 0 | 17 | 0 |
| 26 | Luca Vergallito | 0 | 14 | 0 |
| 27 | Thymen Arensman | 3 | 11 | 0 |
| 28 | Jai Hindley | 6 | 8 | 0 |
| 29 | Louis Meintjes | 0 | 6 | 0 |
| 30 | Patrick Konrad | 0 | 3 | 0 |
Liège–Bastogne–Liège
Single Rider Fantasy League 2024
Results
Players
A total of 56 players entered:
| User | Pick | Base | Bonus | Score |
|---|---|---|---|---|
| Redskin44 | Pello Bilbao | 101 | 88 | 189 |
| RaylanGivens8 | Tiesj Benoot | 78 | 76 | 154 |
| andytheciderman | Mathieu van der Poel | 105 | 0 | 105 |
| YourBeneluxOverlords | Mathieu van der Poel | 105 | 0 | 105 |
| sharkbait_hahaha | Benoît Cosnefroy | 52 | 52 | 104 |
| BSantos57 | Maxim Van Gils | 87.5 | 0 | 87.5 |
| Xcpa9 | Maxim Van Gils | 87.5 | 0 | 87.5 |
| MrR2D | Aleksandr Vlasov | 39 | 39 | 78 |
| detestrian | Mauri Vansevenant | 70 | 0 | 70 |
| MadnessBeliever | Mauri Vansevenant | 70 | 0 | 70 |
| fewfiet | Tadej Pogacar | 58.3 | 0 | 58.3 |
| Nussig | Tadej Pogacar | 58.3 | 0 | 58.3 |
| ser-seaworth | Tadej Pogacar | 58.3 | 0 | 58.3 |
| VeggieLegs21 | Tadej Pogacar | 58.3 | 0 | 58.3 |
| Wateroski | Tadej Pogacar | 58.3 | 0 | 58.3 |
| ZBGT | Tadej Pogacar | 58.3 | 0 | 58.3 |
| bassmanyoowan | Tom Pidcock | 45.5 | 0 | 45.5 |
| yellow52 | Tom Pidcock | 45.5 | 0 | 45.5 |
| flemingo24 | Halland Johannessen Tobias | 21 | 21 | 42 |
| BWallis17 | Alexey Lutsenko | 37.3 | 0 | 37.3 |
| the_ginger27 | Alexey Lutsenko | 37.3 | 0 | 37.3 |
| vrobrolf | Alexey Lutsenko | 37.3 | 0 | 37.3 |
| baat | Dylan Teuns | 18.7 | 0 | 18.7 |
| bizzileb1tch | Dylan Teuns | 18.7 | 0 | 18.7 |
| Joder-tio | Dylan Teuns | 18.7 | 0 | 18.7 |
| Judas_Bishop | Guillaume Martin | 15 | 0 | 15 |
| Mattxps | Guillaume Martin | 15 | 0 | 15 |
| Sappert | Guillaume Martin | 15 | 0 | 15 |
| Avila99 | Richard Carapaz | 9 | 0 | 9 |
| Eyeconoclastic | Richard Carapaz | 9 | 0 | 9 |
| CudoLanda | Romain Grégoire | 8.3 | 0 | 8.3 |
| LynniePinnie67 | Romain Grégoire | 8.3 | 0 | 8.3 |
| paulindy2000 | Romain Grégoire | 8.3 | 0 | 8.3 |
| wonderbeann | Wout Poels | 4 | 4 | 8 |
| Fanaertismo | Ben Healy | 3.5 | 0 | 3.5 |
| nahgoe16 | Ben Healy | 3.5 | 0 | 3.5 |
| Ok_Chipmunk_3854 | Ben Healy | 3.5 | 0 | 3.5 |
| Zeckesan | Ben Healy | 3.5 | 0 | 3.5 |
| alpal2214 | Mattias Skjelmose | 2.5 | 0 | 2.5 |
| DorHarris | Mattias Skjelmose | 2.5 | 0 | 2.5 |
| SparkleCrotchLover | Mattias Skjelmose | 2.5 | 0 | 2.5 |
| Thomas1VL | Mattias Skjelmose | 2.5 | 0 | 2.5 |
| Norskov | Andreas Kron | 0 | 0 | 0 |
| Seabhac7 | David Gaudu | 0 | 0 | 0 |
| vbarrielle | David Gaudu | 0 | 0 | 0 |
| djordastic | Jai Hindley | 0 | 0 | 0 |
| arne-b | Kévin Vauquelin | 0 | 0 | 0 |
| burden321 | Kévin Vauquelin | 0 | 0 | 0 |
| LJSchoppert | Kévin Vauquelin | 0 | 0 | 0 |
| Divergee5 | Michal Kwiatkowski | 0 | 0 | 0 |
| JDdieSonne | Santiago Buitrago | 0 | 0 | 0 |
| markp88 | Simon Yates | 0 | 0 | 0 |
| mcbirk | Simon Yates | 0 | 0 | 0 |
| AwakenTheBacon_ | Toms Skujins | 0 | 0 | 0 |
| DerpTrain | Toms Skujins | 0 | 0 | 0 |
| ssfoxx27 | Toms Skujins | 0 | 0 | 0 |
Riders
The Top 30 finishers were:
| Rank | Rider | Picks | Base | Bonus |
|---|---|---|---|---|
| 1 | Tadej Pogacar | 6 | 350 | 0 |
| 2 | Romain Bardet | 0 | 280 | 0 |
| 3 | Mathieu van der Poel | 2 | 210 | 0 |
| 4 | Maxim Van Gils | 2 | 175 | 0 |
| 5 | Aurélien Paret-Peintre | 0 | 158 | 0 |
| 6 | Mauri Vansevenant | 2 | 140 | 0 |
| 7 | Valentin Madouas | 0 | 126 | 0 |
| 8 | Alexey Lutsenko | 3 | 112 | 0 |
| 9 | Pello Bilbao | 1 | 101 | 88 |
| 10 | Tom Pidcock | 2 | 91 | 0 |
| 11 | Paul Lapeira | 0 | 84 | 0 |
| 12 | Tiesj Benoot | 1 | 78 | 76 |
| 13 | Bauke Mollema | 0 | 70 | 0 |
| 14 | Alex Aranburu | 0 | 62 | 0 |
| 15 | Dylan Teuns | 3 | 56 | 0 |
| 16 | Benoît Cosnefroy | 1 | 52 | 52 |
| 17 | Marc Hirschi | 0 | 48 | 0 |
| 18 | Guillaume Martin | 3 | 45 | 0 |
| 19 | Ion Izagirre | 0 | 42 | 0 |
| 20 | Aleksandr Vlasov | 1 | 39 | 39 |
| 21 | Egan Bernal | 0 | 35 | 0 |
| 22 | Antonio Tiberi | 0 | 32 | 0 |
| 23 | Kevin Vermaerke | 0 | 28 | 0 |
| 24 | Romain Grégoire | 3 | 25 | 0 |
| 25 | Halland Johannessen Tobias | 1 | 21 | 21 |
| 26 | Richard Carapaz | 2 | 18 | 0 |
| 27 | Ben Healy | 4 | 14 | 0 |
| 28 | Mattias Skjelmose | 4 | 10 | 0 |
| 29 | Joao Almeida | 0 | 8 | 0 |
| 30 | Wout Poels | 1 | 4 | 4 |
La Flèche Wallonne
Single Rider Fantasy League 2024
Results
Players
A total of 62 players entered:
| User | Pick | Base | Bonus | Score |
|---|---|---|---|---|
| paulindy2000 | Romain Grégoire | 65 | 36 | 101 |
| arne-b | Kévin Vauquelin | 72 | 0 | 72 |
| burden321 | Kévin Vauquelin | 72 | 0 | 72 |
| ZBGT | Jordan Jegat | 32 | 26 | 58 |
| JDdieSonne | Maxim Van Gils | 54 | 0 | 54 |
| Redskin44 | Maxim Van Gils | 54 | 0 | 54 |
| Eyeconoclastic | Benoît Cosnefroy | 45 | 0 | 45 |
| Fanaertismo | Benoît Cosnefroy | 45 | 0 | 45 |
| BSantos57 | Santiago Buitrago | 27 | 0 | 27 |
| neo487666 | Santiago Buitrago | 27 | 0 | 27 |
| Sappert | Santiago Buitrago | 27 | 0 | 27 |
| andytheciderman | Tiesj Benoot | 17.3 | 0 | 17.3 |
| RaylanGivens8 | Tiesj Benoot | 17.3 | 0 | 17.3 |
| the_ginger27 | Tiesj Benoot | 17.3 | 0 | 17.3 |
| AwakenTheBacon_ | Ilan Van Wilder | 13.5 | 0 | 13.5 |
| Salty-Level | Ilan Van Wilder | 13.5 | 0 | 13.5 |
| MadnessBeliever | Axel Laurance | 11.5 | 0 | 11.5 |
| sharkbait_hahaha | Axel Laurance | 11.5 | 0 | 11.5 |
| Avila99 | Roger Adrià | 1.8 | 0 | 1.8 |
| DerpTrain | Roger Adrià | 1.8 | 0 | 1.8 |
| Judas_Bishop | Roger Adrià | 1.8 | 0 | 1.8 |
| MrR2D | Roger Adrià | 1.8 | 0 | 1.8 |
| Tuttle_not_Buttle | Roger Adrià | 1.8 | 0 | 1.8 |
| Kryziven | Aleksandr Vlasov | 0 | 0 | 0 |
| narlano | Aleksandr Vlasov | 0 | 0 | 0 |
| Team_Telekom | Aleksandr Vlasov | 0 | 0 | 0 |
| Norskov | Andreas Kron | 0 | 0 | 0 |
| Seabhac7 | Archie Ryan | 0 | 0 | 0 |
| Mattxps | Ben Healy | 0 | 0 | 0 |
| detestrian | David Gaudu | 0 | 0 | 0 |
| Goutye | David Gaudu | 0 | 0 | 0 |
| vbarrielle | David Gaudu | 0 | 0 | 0 |
| wonderbeann | Diego Ulissi | 0 | 0 | 0 |
| alpal2214 | Dylan Teuns | 0 | 0 | 0 |
| BWallis17 | Dylan Teuns | 0 | 0 | 0 |
| Divergee5 | Dylan Teuns | 0 | 0 | 0 |
| DorHarris | Dylan Teuns | 0 | 0 | 0 |
| runhaags1 | Dylan Teuns | 0 | 0 | 0 |
| ssfoxx27 | Dylan Teuns | 0 | 0 | 0 |
| YourBeneluxOverlords | Dylan Teuns | 0 | 0 | 0 |
| mcrorigan | Joao Almeida | 0 | 0 | 0 |
| VeggieLegs21 | Juan Ayuso | 0 | 0 | 0 |
| CudoLanda | Marc Hirschi | 0 | 0 | 0 |
| Zeckesan | Marc Hirschi | 0 | 0 | 0 |
| djordastic | Mattias Skjelmose | 0 | 0 | 0 |
| fewfiet | Mattias Skjelmose | 0 | 0 | 0 |
| Nussig | Mattias Skjelmose | 0 | 0 | 0 |
| TwistedWitch | Mattias Skjelmose | 0 | 0 | 0 |
| bizzileb1tch | Michael Matthews | 0 | 0 | 0 |
| Lxnnox | Michael Matthews | 0 | 0 | 0 |
| markp88 | Michael Matthews | 0 | 0 | 0 |
| mcbirk | Michael Matthews | 0 | 0 | 0 |
| vrobrolf | Michael Matthews | 0 | 0 | 0 |
| ser-seaworth | Nick Schultz | 0 | 0 | 0 |
| LynniePinnie67 | Pello Bilbao | 0 | 0 | 0 |
| Ok_Chipmunk_3854 | Pello Bilbao | 0 | 0 | 0 |
| Thomas1VL | Pello Bilbao | 0 | 0 | 0 |
| Xcpa9 | Pello Bilbao | 0 | 0 | 0 |
| yellow52 | Pello Bilbao | 0 | 0 | 0 |
| baat | Tom Pidcock | 0 | 0 | 0 |
| Joder-tio | Tom Pidcock | 0 | 0 | 0 |
| masterpierround | Tom Pidcock | 0 | 0 | 0 |
Riders
The Top 30 finishers were:
| Rank | Rider | Picks | Base | Bonus |
|---|---|---|---|---|
| 1 | Stephen Williams | 0 | 180 | 0 |
| 2 | Kévin Vauquelin | 2 | 144 | 0 |
| 3 | Maxim Van Gils | 2 | 108 | 0 |
| 4 | Benoît Cosnefroy | 2 | 90 | 0 |
| 5 | Santiago Buitrago | 3 | 81 | 0 |
| 6 | Halland Johannessen Tobias | 0 | 72 | 0 |
| 7 | Romain Grégoire | 1 | 65 | 36 |
| 8 | Dorian Godon | 0 | 58 | 0 |
| 9 | Tiesj Benoot | 3 | 52 | 0 |
| 10 | Guillaume Martin | 0 | 47 | 0 |
| 11 | Clément Champoussin | 0 | 43 | 0 |
| 12 | Toms Skujins | 0 | 40 | 0 |
| 13 | Richard Carapaz | 0 | 36 | 0 |
| 14 | Jordan Jegat | 1 | 32 | 26 |
| 15 | Valentin Madouas | 0 | 29 | 0 |
| 16 | Ilan Van Wilder | 2 | 27 | 0 |
| 17 | Christian Eiking Odd | 0 | 25 | 0 |
| 18 | Axel Laurance | 2 | 23 | 0 |
| 19 | Quinten Hermans | 0 | 22 | 0 |
| 20 | Tim van Dijke | 0 | 20 | 0 |
| 21 | Enzo Leijnse | 0 | 18 | 0 |
| 22 | Bruno Armirail | 0 | 16 | 0 |
| 23 | Andreas Leknessund | 0 | 14 | 0 |
| 24 | Davide Formolo | 0 | 13 | 0 |
| 25 | Fabien Doubey | 0 | 11 | 0 |
| 26 | Roger Adrià | 5 | 9 | 0 |
| 27 | Johannes Staune-Mittet | 0 | 7 | 0 |
| 28 | Luca Van Boven | 0 | 5 | 0 |
| 29 | Damien Howson | 0 | 3 | 0 |
| 30 | Markus Hoelgaard | 0 | 2 | 0 |
Amstel Gold Race
Single Rider Fantasy League 2024
Results
Players
A total of 60 players entered:
| User | Pick | Base | Bonus | Score |
|---|---|---|---|---|
| VeggieLegs21 | Marc Hirschi | 144 | 44 | 188 |
| Thomas1VL | Valentin Madouas | 72 | 38 | 110 |
| DerpTrain | Tom Pidcock | 90 | 0 | 90 |
| djordastic | Tom Pidcock | 90 | 0 | 90 |
| AwakenTheBacon_ | Tiesj Benoot | 54 | 0 | 54 |
| BWallis17 | Tiesj Benoot | 54 | 0 | 54 |
| andytheciderman | Juan Ayuso | 18 | 15 | 33 |
| bizzileb1tch | Michael Matthews | 23.5 | 0 | 23.5 |
| Xcpa9 | Michael Matthews | 23.5 | 0 | 23.5 |
| Judas_Bishop | Christian Eiking Odd | 11 | 9 | 20 |
| MrR2D | Romain Grégoire | 13.3 | 0 | 13.3 |
| Sappert | Romain Grégoire | 13.3 | 0 | 13.3 |
| vrobrolf | Romain Grégoire | 13.3 | 0 | 13.3 |
| Tuttle_not_Buttle | Alexander Kamp | 7 | 6 | 13 |
| Avila99 | Mattias Skjelmose | 12.5 | 0 | 12.5 |
| beaker15 | Mattias Skjelmose | 12.5 | 0 | 12.5 |
| DorHarris | Dylan Teuns | 9.7 | 0 | 9.7 |
| Joder-tio | Dylan Teuns | 9.7 | 0 | 9.7 |
| Kryziven | Dylan Teuns | 9.7 | 0 | 9.7 |
| paulindy2000 | Benoît Cosnefroy | 9 | 0 | 9 |
| Salty-Level | Benoît Cosnefroy | 9 | 0 | 9 |
| vbarrielle | Benoît Cosnefroy | 9 | 0 | 9 |
| fewfiet | Mathieu van der Poel | 4 | 0 | 4 |
| mcrorigan | Mathieu van der Poel | 4 | 0 | 4 |
| yellow52 | Mathieu van der Poel | 4 | 0 | 4 |
| YourBeneluxOverlords | Mathieu van der Poel | 4 | 0 | 4 |
| BSantos57 | Maxim Van Gils | 3.3 | 0 | 3.3 |
| Lxnnox | Maxim Van Gils | 3.3 | 0 | 3.3 |
| neo487666 | Maxim Van Gils | 3.3 | 0 | 3.3 |
| RaylanGivens8 | Maxim Van Gils | 3.3 | 0 | 3.3 |
| ssfoxx27 | Maxim Van Gils | 3.3 | 0 | 3.3 |
| the_ginger27 | Maxim Van Gils | 3.3 | 0 | 3.3 |
| Divergee5 | Stefan Küng | 1.5 | 0 | 1.5 |
| Goutye | Stefan Küng | 1.5 | 0 | 1.5 |
| LynniePinnie67 | Alex Aranburu | 0 | 0 | 0 |
| ZBGT | Axel Mariault | 0 | 0 | 0 |
| alpal2214 | Brandon McNulty | 0 | 0 | 0 |
| markp88 | Cristian Scaroni | 0 | 0 | 0 |
| ser-seaworth | Cristian Scaroni | 0 | 0 | 0 |
| wonderbeann | Davide Formolo | 0 | 0 | 0 |
| Mattxps | Francesco Busatto | 0 | 0 | 0 |
| Zeckesan | Francesco Busatto | 0 | 0 | 0 |
| MadnessBeliever | Gianni Vermeersch | 0 | 0 | 0 |
| masterpierround | Ion Izagirre | 0 | 0 | 0 |
| arne-b | Kévin Vauquelin | 0 | 0 | 0 |
| JDdieSonne | Matteo Jorgenson | 0 | 0 | 0 |
| Nussig | Matteo Jorgenson | 0 | 0 | 0 |
| Seabhac7 | Matteo Jorgenson | 0 | 0 | 0 |
| narlano | Matteo Sobrero | 0 | 0 | 0 |
| burden321 | Max Schachmann | 0 | 0 | 0 |
| Redskin44 | Max Schachmann | 0 | 0 | 0 |
| Robcobes | Max Schachmann | 0 | 0 | 0 |
| detestrian | Michal Kwiatkowski | 0 | 0 | 0 |
| CudoLanda | Oscar Onley | 0 | 0 | 0 |
| nahgoe16 | Oscar Onley | 0 | 0 | 0 |
| Eyeconoclastic | Quinten Hermans | 0 | 0 | 0 |
| mcbirk | Richard Carapaz | 0 | 0 | 0 |
| baat | Toms Skujins | 0 | 0 | 0 |
| Ok_Chipmunk_3854 | Toms Skujins | 0 | 0 | 0 |
| Team_Telekom | Warren Barguil | 0 | 0 | 0 |
Riders
The Top 30 finishers were:
| Rank | Rider | Picks | Base | Bonus |
|---|---|---|---|---|
| 1 | Tom Pidcock | 2 | 180 | 0 |
| 2 | Marc Hirschi | 1 | 144 | 44 |
| 3 | Tiesj Benoot | 2 | 108 | 0 |
| 4 | Mauri Vansevenant | 0 | 90 | 0 |
| 5 | Paul Lapeira | 0 | 81 | 0 |
| 6 | Valentin Madouas | 1 | 72 | 38 |
| 7 | Bauke Mollema | 0 | 65 | 0 |
| 8 | Quentin Pacher | 0 | 58 | 0 |
| 9 | Pello Bilbao | 0 | 52 | 0 |
| 10 | Michael Matthews | 2 | 47 | 0 |
| 11 | Marijn van den Berg | 0 | 43 | 0 |
| 12 | Romain Grégoire | 3 | 40 | 0 |
| 13 | Vito Braet | 0 | 36 | 0 |
| 14 | Roger Adrià | 0 | 32 | 0 |
| 15 | Dylan Teuns | 3 | 29 | 0 |
| 16 | Benoît Cosnefroy | 3 | 27 | 0 |
| 17 | Mattias Skjelmose | 2 | 25 | 0 |
| 18 | Simone Velasco | 0 | 23 | 0 |
| 19 | Lorenzo Rota | 0 | 22 | 0 |
| 20 | Maxim Van Gils | 6 | 20 | 0 |
| 21 | Juan Ayuso | 1 | 18 | 15 |
| 22 | Mathieu van der Poel | 4 | 16 | 0 |
| 23 | Gianluca Brambilla | 0 | 14 | 0 |
| 24 | Kevin Vermaerke | 0 | 13 | 0 |
| 25 | Christian Eiking Odd | 1 | 11 | 9 |
| 26 | Andreas Leknessund | 0 | 9 | 0 |
| 27 | Alexander Kamp | 1 | 7 | 6 |
| 28 | Mikkel Honore | 0 | 5 | 0 |
| 29 | Stefan Küng | 2 | 3 | 0 |
| 30 | Jan Christen | 0 | 2 | 0 |
Paris–Roubaix
Single Rider Fantasy League 2024
Results
Players
A total of 68 players entered:
| User | Pick | Base | Bonus | Score |
|---|---|---|---|---|
| Mattxps | Gianni Vermeersch | 140 | 100 | 240 |
| Ok_Chipmunk_3854 | Jordi Meeus | 112 | 92 | 204 |
| ssfoxx27 | John Degenkolb | 84 | 80 | 164 |
| sharkbait_hahaha | Fred Wright | 78 | 76 | 154 |
| arne-b | Dries van Gestel | 70 | 70 | 140 |
| AwakenTheBacon_ | Mads Pedersen | 105 | 0 | 105 |
| ser-seaworth | Mads Pedersen | 105 | 0 | 105 |
| nahgoe16 | Tim van Dijke | 52 | 52 | 104 |
| fewfiet | Mathieu van der Poel | 87.5 | 0 | 87.5 |
| flemingo24 | Mathieu van der Poel | 87.5 | 0 | 87.5 |
| markp88 | Mathieu van der Poel | 87.5 | 0 | 87.5 |
| YourBeneluxOverlords | Mathieu van der Poel | 87.5 | 0 | 87.5 |
| Robcobes | Alexander Kristoff | 35 | 35 | 70 |
| BSantos57 | Nils Politt | 29.2 | 0 | 29.2 |
| Kryziven | Nils Politt | 29.2 | 0 | 29.2 |
| neo487666 | Nils Politt | 29.2 | 0 | 29.2 |
| Team_Telekom | Nils Politt | 29.2 | 0 | 29.2 |
| Tuttle_not_Buttle | Nils Politt | 29.2 | 0 | 29.2 |
| Xcpa9 | Nils Politt | 29.2 | 0 | 29.2 |
| Judas_Bishop | Mike Teunissen | 16 | 0 | 16 |
| Sappert | Mike Teunissen | 16 | 0 | 16 |
| baat | Stefan Küng | 14.4 | 0 | 14.4 |
| bassmanyoowan | Stefan Küng | 14.4 | 0 | 14.4 |
| BorisB98 | Stefan Küng | 14.4 | 0 | 14.4 |
| BWallis17 | Stefan Küng | 14.4 | 0 | 14.4 |
| Goutye | Stefan Küng | 14.4 | 0 | 14.4 |
| MadnessBeliever | Stefan Küng | 14.4 | 0 | 14.4 |
| Nussig | Stefan Küng | 14.4 | 0 | 14.4 |
| Seabhac7 | Stefan Küng | 14.4 | 0 | 14.4 |
| Thomas1VL | Stefan Küng | 14.4 | 0 | 14.4 |
| TwistedWitch | Stefan Küng | 14.4 | 0 | 14.4 |
| vbarrielle | Stefan Küng | 14.4 | 0 | 14.4 |
| beaker15 | Christophe Laporte | 10.5 | 0 | 10.5 |
| paulindy2000 | Christophe Laporte | 10.5 | 0 | 10.5 |
| Avila99 | Oliver Naesen | 8.3 | 0 | 8.3 |
| detestrian | Oliver Naesen | 8.3 | 0 | 8.3 |
| DorHarris | Oliver Naesen | 8.3 | 0 | 8.3 |
| ZBGT | Thomas Gachignard | 4 | 4 | 8 |
| Divergee5 | Jonas Abrahamsen | 7 | 0 | 7 |
| Miserable_Hour | Jonas Abrahamsen | 7 | 0 | 7 |
| vrobrolf | Adrien Petit | 0 | 0 | 0 |
| ADW343 | Alberto Bettiol | 0 | 0 | 0 |
| mcrorigan | Anthony Turgis | 0 | 0 | 0 |
| Lxnnox | António Morgado | 0 | 0 | 0 |
| paaulo | António Morgado | 0 | 0 | 0 |
| SparkleCrotchLover | António Morgado | 0 | 0 | 0 |
| andytheciderman | Ben Turner | 0 | 0 | 0 |
| Joder-tio | Ben Turner | 0 | 0 | 0 |
| djordastic | Dylan van Baarle | 0 | 0 | 0 |
| MrR2D | Dylan van Baarle | 0 | 0 | 0 |
| alpal2214 | Jonathan Milan | 0 | 0 | 0 |
| LynniePinnie67 | Jonathan Milan | 0 | 0 | 0 |
| burden321 | Joshua Tarling | 0 | 0 | 0 |
| JDdieSonne | Laurenz Rex | 0 | 0 | 0 |
| RaylanGivens8 | Luca Mozzato | 0 | 0 | 0 |
| Zeckesan | Luca Mozzato | 0 | 0 | 0 |
| Norskov | Mathias Norsgaard | 0 | 0 | 0 |
| CudoLanda | Max Walscheid | 0 | 0 | 0 |
| Eyeconoclastic | Max Walscheid | 0 | 0 | 0 |
| the_ginger27 | Max Walscheid | 0 | 0 | 0 |
| mcbirk | Michael Mørkøv | 0 | 0 | 0 |
| runhaags1 | Oier Lazkano | 0 | 0 | 0 |
| bizzileb1tch | Tim Merlier | 0 | 0 | 0 |
| KVMechelen | Tim Merlier | 0 | 0 | 0 |
| Salty-Level | Tim Merlier | 0 | 0 | 0 |
| VeggieLegs21 | Yves Lampaert | 0 | 0 | 0 |
| wonderbeann | Yves Lampaert | 0 | 0 | 0 |
| yellow52 | Yves Lampaert | 0 | 0 | 0 |
Riders
The Top 30 finishers were:
| Rank | Rider | Picks | Base | Bonus |
|---|---|---|---|---|
| 1 | Mathieu van der Poel | 4 | 350 | 0 |
| 2 | Jasper Philipsen | 0 | 280 | 0 |
| 3 | Mads Pedersen | 2 | 210 | 0 |
| 4 | Nils Politt | 6 | 175 | 0 |
| 5 | Stefan Küng | 11 | 158 | 0 |
| 6 | Gianni Vermeersch | 1 | 140 | 100 |
| 7 | Laurence Pithie | 0 | 126 | 0 |
| 8 | Jordi Meeus | 1 | 112 | 92 |
| 9 | Søren Wærenskjold | 0 | 101 | 0 |
| 10 | Madis Mihkels | 0 | 91 | 0 |
| 11 | John Degenkolb | 1 | 84 | 80 |
| 12 | Fred Wright | 1 | 78 | 76 |
| 13 | Dries van Gestel | 1 | 70 | 70 |
| 14 | Yevgeniy Fedorov | 0 | 62 | 0 |
| 15 | Tim Wellens | 0 | 56 | 0 |
| 16 | Tim van Dijke | 1 | 52 | 52 |
| 17 | Tom Pidcock | 0 | 48 | 0 |
| 18 | Kamil Malecki | 0 | 45 | 0 |
| 19 | Mick van Dijke | 0 | 42 | 0 |
| 20 | Liam Slock | 0 | 39 | 0 |
| 21 | Alexander Kristoff | 1 | 35 | 35 |
| 22 | Mike Teunissen | 2 | 32 | 0 |
| 23 | Jenthe Biermans | 0 | 28 | 0 |
| 24 | Oliver Naesen | 3 | 25 | 0 |
| 25 | Christophe Laporte | 2 | 21 | 0 |
| 26 | Stefan Bissegger | 0 | 18 | 0 |
| 27 | Jonas Abrahamsen | 2 | 14 | 0 |
| 28 | Rasmus Tiller | 0 | 10 | 0 |
| 29 | Pavel Bittner | 0 | 8 | 0 |
| 30 | Thomas Gachignard | 1 | 4 | 4 |
Itzulia Basque Country
Single Rider Fantasy League 2024
Entries
Players
A total of 58 players entered:
| User | Pick | Base | Bonus | Score |
|---|---|---|---|---|
| AwakenTheBacon_ | Marc Soler | 100 | 54 | 154 |
| Avila99 | Isaac del Toro | 72 | 48 | 120 |
| andytheciderman | Juan Ayuso | 33.3 | 0 | 33.3 |
| BSantos57 | Juan Ayuso | 33.3 | 0 | 33.3 |
| detestrian | Juan Ayuso | 33.3 | 0 | 33.3 |
| MadnessBeliever | Juan Ayuso | 33.3 | 0 | 33.3 |
| mcrorigan | Juan Ayuso | 33.3 | 0 | 33.3 |
| Ok_Chipmunk_3854 | Juan Ayuso | 33.3 | 0 | 33.3 |
| BorisB98 | Pello Bilbao | 26.7 | 0 | 26.7 |
| Joder-tio | Pello Bilbao | 26.7 | 0 | 26.7 |
| VeggieLegs21 | Pello Bilbao | 26.7 | 0 | 26.7 |
| Seabhac7 | Jai Hindley | 22 | 0 | 22 |
| Zeckesan | Jai Hindley | 22 | 0 | 22 |
| DerpTrain | Kévin Vauquelin | 21.3 | 0 | 21.3 |
| MrR2D | Kévin Vauquelin | 21.3 | 0 | 21.3 |
| the_ginger27 | Kévin Vauquelin | 21.3 | 0 | 21.3 |
| baat | Mattias Skjelmose | 20 | 0 | 20 |
| beaker15 | Mattias Skjelmose | 20 | 0 | 20 |
| Divergee5 | Mattias Skjelmose | 20 | 0 | 20 |
| Redskin44 | Mattias Skjelmose | 20 | 0 | 20 |
| SparkleCrotchLover | Mattias Skjelmose | 20 | 0 | 20 |
| Thomas1VL | Mattias Skjelmose | 20 | 0 | 20 |
| BWallis17 | Ion Izagirre | 19.3 | 0 | 19.3 |
| Robcobes | Ion Izagirre | 19.3 | 0 | 19.3 |
| Sappert | Ion Izagirre | 19.3 | 0 | 19.3 |
| Tuttle_not_Buttle | Santiago Buitrago | 12 | 0 | 12 |
| vrobrolf | Santiago Buitrago | 12 | 0 | 12 |
| wonderbeann | Santiago Buitrago | 12 | 0 | 12 |
| Xcpa9 | Santiago Buitrago | 12 | 0 | 12 |
| Judas_Bishop | Andrea Bagioli | 0 | 0 | 0 |
| Goutye | David Gaudu | 0 | 0 | 0 |
| paulindy2000 | David Gaudu | 0 | 0 | 0 |
| vbarrielle | David Gaudu | 0 | 0 | 0 |
| nahgoe16 | Edward Dunbar | 0 | 0 | 0 |
| arne-b | Felix Gall | 0 | 0 | 0 |
| CarltonKirbyTV | Jonas Vingegaard | 0 | 0 | 0 |
| fewfiet | Jonas Vingegaard | 0 | 0 | 0 |
| masterpierround | Jonas Vingegaard | 0 | 0 | 0 |
| Nussig | Jonas Vingegaard | 0 | 0 | 0 |
| runhaags1 | Jonas Vingegaard | 0 | 0 | 0 |
| ZBGT | Jonas Vingegaard | 0 | 0 | 0 |
| alpal2214 | Mikel Landa | 0 | 0 | 0 |
| flemingo24 | Mikel Landa | 0 | 0 | 0 |
| neo487666 | Mikel Landa | 0 | 0 | 0 |
| ssfoxx27 | Mikel Landa | 0 | 0 | 0 |
| bassmanyoowan | Primoz Roglic | 0 | 0 | 0 |
| djordastic | Primoz Roglic | 0 | 0 | 0 |
| Kryziven | Primoz Roglic | 0 | 0 | 0 |
| RaylanGivens8 | Primoz Roglic | 0 | 0 | 0 |
| Salty-Level | Primoz Roglic | 0 | 0 | 0 |
| DorHarris | Remco Evenepoel | 0 | 0 | 0 |
| YourBeneluxOverlords | Remco Evenepoel | 0 | 0 | 0 |
| burden321 | Romain Grégoire | 0 | 0 | 0 |
| ser-seaworth | Romain Grégoire | 0 | 0 | 0 |
| Team_Telekom | Sepp Kuss | 0 | 0 | 0 |
| CudoLanda | Tom Pidcock | 0 | 0 | 0 |
| Eyeconoclastic | Tom Pidcock | 0 | 0 | 0 |
| LynniePinnie67 | Tom Pidcock | 0 | 0 | 0 |
Riders
The Top 30 finishers were:
| Rank | Rider | Picks | Base | Bonus |
|---|---|---|---|---|
| 1 | Juan Ayuso | 6 | 200 | 0 |
| 2 | Carlos Rodriguez | 0 | 160 | 0 |
| 3 | Mattias Skjelmose | 6 | 120 | 0 |
| 4 | Marc Soler | 1 | 100 | 54 |
| 5 | Brandon McNulty | 0 | 90 | 0 |
| 6 | Pello Bilbao | 3 | 80 | 0 |
| 7 | Isaac del Toro | 1 | 72 | 48 |
| 8 | Kévin Vauquelin | 3 | 64 | 0 |
| 9 | Ion Izagirre | 3 | 58 | 0 |
| 10 | Alex Baudin | 0 | 52 | 0 |
| 11 | Santiago Buitrago | 4 | 48 | 0 |
| 12 | Jai Hindley | 2 | 44 | 0 |
| 13 | Max Schachmann | 0 | 40 | 0 |
| 14 | Victor Langellotti | 0 | 36 | 0 |
| 15 | Alex Aranburu | 0 | 32 | 0 |
| 16 | Esteban Chaves | 0 | 30 | 0 |
| 17 | Jordan Jegat | 0 | 28 | 0 |
| 18 | Ethan Hayter | 0 | 26 | 0 |
| 19 | Oscar Onley | 0 | 24 | 0 |
| 20 | Bruno Armirail | 0 | 22 | 0 |
| 21 | Rigoberto Uran | 0 | 20 | 0 |
| 22 | Simon Geschke | 0 | 18 | 0 |
| 23 | Quentin Pacher | 0 | 16 | 0 |
| 24 | Victor De La Parte | 0 | 14 | 0 |
| 25 | Junior Lecerf William | 0 | 12 | 0 |
| 26 | Brandon Rivera | 0 | 10 | 0 |
| 27 | Bauke Mollema | 0 | 8 | 0 |
| 28 | Luca Vergallito | 0 | 6 | 0 |
| 29 | Ibon Ruiz | 0 | 4 | 0 |
| 30 | Edoardo Zambanini | 0 | 2 | 0 |
Ronde van Vlaanderen
Single Rider Fantasy League 2024
Results
Players
A total of 71 players entered:
| User | Pick | Base | Bonus | Score |
|---|---|---|---|---|
| Mattxps | Dylan Teuns | 112 | 92 | 204 |
| Born-Wrangler-6223 | Alberto Bettiol | 101 | 88 | 189 |
| vrobrolf | Michael Matthews | 84 | 80 | 164 |
| BSantos57 | Tim Wellens | 78 | 76 | 154 |
| AwakenTheBacon_ | Luca Mozzato | 140 | 0 | 140 |
| Sappert | Luca Mozzato | 140 | 0 | 140 |
| bassmanyoowan | Yves Lampaert | 45 | 45 | 90 |
| beaker15 | Mads Pedersen | 32 | 32 | 64 |
| baat | Mathieu van der Poel | 38.9 | 0 | 38.9 |
| Divergee5 | Mathieu van der Poel | 38.9 | 0 | 38.9 |
| djordastic | Mathieu van der Poel | 38.9 | 0 | 38.9 |
| fewfiet | Mathieu van der Poel | 38.9 | 0 | 38.9 |
| markp88 | Mathieu van der Poel | 38.9 | 0 | 38.9 |
| Nussig | Mathieu van der Poel | 38.9 | 0 | 38.9 |
| SparkleCrotchLover | Mathieu van der Poel | 38.9 | 0 | 38.9 |
| yellow52 | Mathieu van der Poel | 38.9 | 0 | 38.9 |
| YourBeneluxOverlords | Mathieu van der Poel | 38.9 | 0 | 38.9 |
| MadnessBeliever | Toms Skujins | 30.3 | 0 | 30.3 |
| narlano | Toms Skujins | 30.3 | 0 | 30.3 |
| wonderbeann | Toms Skujins | 30.3 | 0 | 30.3 |
| andytheciderman | Nils Politt | 30 | 0 | 30 |
| BorisB98 | Nils Politt | 30 | 0 | 30 |
| burden321 | Nils Politt | 30 | 0 | 30 |
| Lxnnox | Nils Politt | 30 | 0 | 30 |
| runhaags1 | Nils Politt | 30 | 0 | 30 |
| Team_Telekom | Nils Politt | 30 | 0 | 30 |
| the_ginger27 | Nils Politt | 30 | 0 | 30 |
| Big_Mike_S | Tiesj Benoot | 28 | 0 | 28 |
| ssfoxx27 | Tiesj Benoot | 28 | 0 | 28 |
| ADW343 | Victor Campenaerts | 14 | 14 | 28 |
| arne-b | Valentin Madouas | 10.4 | 0 | 10.4 |
| DerpTrain | Valentin Madouas | 10.4 | 0 | 10.4 |
| paulindy2000 | Valentin Madouas | 10.4 | 0 | 10.4 |
| Seabhac7 | Valentin Madouas | 10.4 | 0 | 10.4 |
| vbarrielle | Valentin Madouas | 10.4 | 0 | 10.4 |
| LynniePinnie67 | Matteo Trentin | 7 | 0 | 7 |
| mcbirk | Matteo Trentin | 7 | 0 | 7 |
| mcrorigan | Matteo Trentin | 7 | 0 | 7 |
| RaylanGivens8 | Matteo Trentin | 7 | 0 | 7 |
| thebigscratch | Matteo Trentin | 7 | 0 | 7 |
| Xcpa9 | Matteo Trentin | 7 | 0 | 7 |
| ItsDqoi | Mike Teunissen | 7 | 0 | 7 |
| Judas_Bishop | Mike Teunissen | 7 | 0 | 7 |
| nahgoe16 | Mike Teunissen | 7 | 0 | 7 |
| VeggieLegs21 | Ben Turner | 0 | 0 | 0 |
| alpal2214 | Dylan van Baarle | 0 | 0 | 0 |
| Eyeconoclastic | Dylan van Baarle | 0 | 0 | 0 |
| Kryziven | Dylan van Baarle | 0 | 0 | 0 |
| MrR2D | Dylan van Baarle | 0 | 0 | 0 |
| BWallis17 | Fred Wright | 0 | 0 | 0 |
| epi_counts | Fred Wright | 0 | 0 | 0 |
| Robcobes | Fred Wright | 0 | 0 | 0 |
| Tuttle_not_Buttle | Fred Wright | 0 | 0 | 0 |
| Zeckesan | Fred Wright | 0 | 0 | 0 |
| detestrian | Kasper Asgreen | 0 | 0 | 0 |
| DorHarris | Kasper Asgreen | 0 | 0 | 0 |
| masterpierround | Krists Neilands | 0 | 0 | 0 |
| Avila99 | Laurens De Plus | 0 | 0 | 0 |
| ZBGT | Markus Hoelgaard | 0 | 0 | 0 |
| Joder-tio | Matej Mohoric | 0 | 0 | 0 |
| Ok_Chipmunk_3854 | Matej Mohoric | 0 | 0 | 0 |
| Redskin44 | Matej Mohoric | 0 | 0 | 0 |
| Thomas1VL | Matej Mohoric | 0 | 0 | 0 |
| CudoLanda | Matteo Jorgenson | 0 | 0 | 0 |
| JDdieSonne | Matteo Jorgenson | 0 | 0 | 0 |
| ser-seaworth | Matteo Jorgenson | 0 | 0 | 0 |
| TwistedWitch | Nico Denz | 0 | 0 | 0 |
| bizzileb1tch | Stefan Küng | 0 | 0 | 0 |
| Goutye | Stefan Küng | 0 | 0 | 0 |
| neo487666 | Stefan Küng | 0 | 0 | 0 |
| Salty-Level | Stefan Küng | 0 | 0 | 0 |
Riders
The Top 30 finishers were:
| Rank | Rider | Picks | Base | Bonus |
|---|---|---|---|---|
| 1 | Mathieu van der Poel | 9 | 350 | 0 |
| 2 | Luca Mozzato | 2 | 280 | 0 |
| 3 | Nils Politt | 7 | 210 | 0 |
| 4 | Mikkel Bjerg | 0 | 175 | 0 |
| 5 | António Morgado | 0 | 158 | 0 |
| 6 | Magnus Sheffield | 0 | 140 | 0 |
| 7 | Oliver Naesen | 0 | 126 | 0 |
| 8 | Dylan Teuns | 1 | 112 | 92 |
| 9 | Alberto Bettiol | 1 | 101 | 88 |
| 10 | Toms Skujins | 3 | 91 | 0 |
| 11 | Michael Matthews | 1 | 84 | 80 |
| 12 | Tim Wellens | 1 | 78 | 76 |
| 13 | Riley Sheehan | 0 | 70 | 0 |
| 14 | Kamil Malecki | 0 | 62 | 0 |
| 15 | Tiesj Benoot | 2 | 56 | 0 |
| 16 | Valentin Madouas | 5 | 52 | 0 |
| 17 | Joshua Tarling | 0 | 48 | 0 |
| 18 | Yves Lampaert | 1 | 45 | 45 |
| 19 | Matteo Trentin | 6 | 42 | 0 |
| 20 | Max Walscheid | 0 | 39 | 0 |
| 21 | Laurenz Rex | 0 | 35 | 0 |
| 22 | Mads Pedersen | 1 | 32 | 32 |
| 23 | Gianni Vermeersch | 0 | 28 | 0 |
| 24 | Rasmus Tiller | 0 | 25 | 0 |
| 25 | Mike Teunissen | 3 | 21 | 0 |
| 26 | Iván García Cortina | 0 | 18 | 0 |
| 27 | Victor Campenaerts | 1 | 14 | 14 |
| 28 | Vincenzo Albanese | 0 | 10 | 0 |
| 29 | Owain Doull | 0 | 8 | 0 |
| 30 | Tim van Dijke | 0 | 4 | 0 |
Dwars door Vlaanderen
Single Rider Fantasy League 2024
Results
Players
A total of 61 players entered:
| User | Pick | Base | Bonus | Score |
|---|---|---|---|---|
| LynniePinnie67 | Tiesj Benoot | 68 | 27 | 95 |
| RaylanGivens8 | Pierre Gautherat | 33 | 20 | 53 |
| Team_Telekom | Nils Politt | 30 | 19 | 49 |
| vbarrielle | Valentin Madouas | 27 | 18 | 45 |
| djordastic | Matteo Jorgenson | 40 | 0 | 40 |
| JDdieSonne | Matteo Jorgenson | 40 | 0 | 40 |
| Robcobes | Matteo Jorgenson | 40 | 0 | 40 |
| MadnessBeliever | Jasper Philipsen | 23 | 16 | 39 |
| alpal2214 | Stefan Küng | 37.5 | 0 | 37.5 |
| Goutye | Stefan Küng | 37.5 | 0 | 37.5 |
| andytheciderman | Michael Matthews | 19 | 14 | 33 |
| burden321 | Jonathan Milan | 9.6 | 0 | 9.6 |
| CudoLanda | Jonathan Milan | 9.6 | 0 | 9.6 |
| narlano | Jonathan Milan | 9.6 | 0 | 9.6 |
| Salty-Level | Jonathan Milan | 9.6 | 0 | 9.6 |
| ZBGT | Jonathan Milan | 9.6 | 0 | 9.6 |
| arne-b | Luca Mozzato | 8.5 | 0 | 8.5 |
| BWallis17 | Luca Mozzato | 8.5 | 0 | 8.5 |
| BSantos57 | Fred Wright | 4.5 | 0 | 4.5 |
| Tuttle_not_Buttle | Fred Wright | 4.5 | 0 | 4.5 |
| ADW343 | Krists Neilands | 0.4 | 0 | 0.4 |
| Joder-tio | Krists Neilands | 0.4 | 0 | 0.4 |
| ssfoxx27 | Krists Neilands | 0.4 | 0 | 0.4 |
| the_ginger27 | Krists Neilands | 0.4 | 0 | 0.4 |
| wonderbeann | Krists Neilands | 0.4 | 0 | 0.4 |
| MrR2D | Alberto Bettiol | 0 | 0 | 0 |
| Mattxps | Andrea Pasqualon | 0 | 0 | 0 |
| bizzileb1tch | Anthony Turgis | 0 | 0 | 0 |
| paulindy2000 | Anthony Turgis | 0 | 0 | 0 |
| Xcpa9 | Biniam Girmay | 0 | 0 | 0 |
| VeggieLegs21 | Christophe Laporte | 0 | 0 | 0 |
| Ok_Chipmunk_3854 | Corbin Strong | 0 | 0 | 0 |
| Redskin44 | Corbin Strong | 0 | 0 | 0 |
| bassmanyoowan | Dylan van Baarle | 0 | 0 | 0 |
| detestrian | Dylan van Baarle | 0 | 0 | 0 |
| Divergee5 | Jasper Stuyven | 0 | 0 | 0 |
| neo487666 | Jasper Stuyven | 0 | 0 | 0 |
| SparkleCrotchLover | Jasper Stuyven | 0 | 0 | 0 |
| Thomas1VL | Jasper Stuyven | 0 | 0 | 0 |
| baat | Jhonnatan Narvaez | 0 | 0 | 0 |
| beaker15 | Jhonnatan Narvaez | 0 | 0 | 0 |
| mcrorigan | Jordi Meeus | 0 | 0 | 0 |
| BorisB98 | Luke Lamperti | 0 | 0 | 0 |
| masterpierround | Mads Pedersen | 0 | 0 | 0 |
| Nussig | Mads Pedersen | 0 | 0 | 0 |
| Avila99 | Max Walscheid | 0 | 0 | 0 |
| DerpTrain | Neilson Powless | 0 | 0 | 0 |
| Big_Mike_S | Oier Lazkano | 0 | 0 | 0 |
| DorHarris | Oliver Naesen | 0 | 0 | 0 |
| Eyeconoclastic | Oliver Naesen | 0 | 0 | 0 |
| Judas_Bishop | Oliver Naesen | 0 | 0 | 0 |
| Sappert | Oliver Naesen | 0 | 0 | 0 |
| ser-seaworth | Oliver Naesen | 0 | 0 | 0 |
| Zeckesan | Oliver Naesen | 0 | 0 | 0 |
| AwakenTheBacon_ | Rasmus Tiller | 0 | 0 | 0 |
| mcbirk | Tim Wellens | 0 | 0 | 0 |
| Darklight88 | Wout van Aert | 0 | 0 | 0 |
| fewfiet | Wout van Aert | 0 | 0 | 0 |
| Kryziven | Wout van Aert | 0 | 0 | 0 |
| yellow52 | Wout van Aert | 0 | 0 | 0 |
| YourBeneluxOverlords | Wout van Aert | 0 | 0 | 0 |
Riders
The Top 30 finishers were:
| Rank | Rider | Picks | Base | Bonus | |
|---|---|---|---|---|---|
| 1 | Matteo Jorgenson | 3 | 120 | 0 | |
| 2 | Jonas Abrahamsen | 0 | 90 | 0 | |
| 3 | Stefan Küng | 2 | 75 | 0 | |
| 4 | Tiesj Benoot | 1 | 68 | 27 | |
| 5 | Dries De Bondt | 0 | 60 | 0 | |
| 6 | Joshua Tarling | 0 | 54 | 0 | |
| 7 | Jonathan Milan | 5 | 48 | 0 | |
| 8 | Michael Valgren | 0 | 44 | 0 | |
| 9 | Mathias Norsgaard | 0 | 39 | 0 | |
| 10 | Thomas Gachignard | 0 | 36 | 0 | |
| 11 | Pierre Gautherat | 1 | 33 | 20 | |
| 12 | Nils Politt | 1 | 30 | 19 | |
| 13 | Valentin Madouas | 1 | 27 | 18 | |
| 14 | Danny van Poppel | 0 | 25 | 0 | |
| 15 | Jasper Philipsen | 1 | 23 | 16 | |
| 16 | Ben Turner | 0 | 21 | 0 | |
| 17 | Michael Matthews | 1 | 19 | 14 | |
| 18 | Luca Mozzato | 2 | 17 | 0 | |
| 19 | Mike Teunissen | 0 | 15 | 0 | |
| 20 | John Degenkolb | 0 | 13 | 0 | |
| 21 | Sandy Dujardin | 0 | 11 | 0 | |
| 22 | Fred Wright | 2 | 9 | 0 | |
| 23 | Jenno Berckmoes | 0 | 8 | 0 | |
| 24 | Dries van Gestel | 0 | 7 | 0 | |
| 25 | Riley Sheehan | 0 | 6 | 0 | |
| 26 | Julian Alaphilippe | 0 | 5 | 0 | |
| 27 | Damien Touzé | 0 | 4 | 0 | |
| 28 | Toms Skujins | 0 | 3 | 0 | |
| 29 | Krists Neilands | 5 | 2 | 0 | |
| 30 | Dries De Pooter | 0 | 1 | 0 | – |
Gent–Wevelgem
Single Rider Fantasy League 2024
Results
Players
A total of 59 players entered:
| User | Pick | Base | Bonus | Score |
|---|---|---|---|---|
| flemingo24 | Jonathan Milan | 81 | 39 | 120 |
| BSantos57 | Mads Pedersen | 60 | 0 | 60 |
| Nussig | Mads Pedersen | 60 | 0 | 60 |
| Thomas1VL | Mads Pedersen | 60 | 0 | 60 |
| DerpTrain | Mikkel Bjerg | 22 | 18 | 40 |
| ADW343 | Mathieu van der Poel | 36 | 0 | 36 |
| fewfiet | Mathieu van der Poel | 36 | 0 | 36 |
| Salty-Level | Mathieu van der Poel | 36 | 0 | 36 |
| Seabhac7 | Mathieu van der Poel | 36 | 0 | 36 |
| baat | Jasper Philipsen | 30 | 0 | 30 |
| Darklight88 | Jasper Philipsen | 30 | 0 | 30 |
| YourBeneluxOverlords | Jasper Philipsen | 30 | 0 | 30 |
| Judas_Bishop | Matteo Trentin | 23.5 | 0 | 23.5 |
| mcrorigan | Matteo Trentin | 23.5 | 0 | 23.5 |
| Sappert | Matej Mohoric | 18 | 0 | 18 |
| Zeckesan | Matej Mohoric | 18 | 0 | 18 |
| alpal2214 | Stefan Küng | 16 | 0 | 16 |
| Goutye | Stefan Küng | 16 | 0 | 16 |
| DorHarris | Olav Kooij | 14.4 | 0 | 14.4 |
| Kryziven | Olav Kooij | 14.4 | 0 | 14.4 |
| LynniePinnie67 | Olav Kooij | 14.4 | 0 | 14.4 |
| MrR2D | Olav Kooij | 14.4 | 0 | 14.4 |
| Redskin44 | Olav Kooij | 14.4 | 0 | 14.4 |
| JDdieSonne | Laurenz Rex | 13.5 | 0 | 13.5 |
| yellow52 | Laurenz Rex | 13.5 | 0 | 13.5 |
| AwakenTheBacon_ | Alexis Renard | 5 | 5 | 10 |
| arne-b | Luca Mozzato | 9.7 | 0 | 9.7 |
| Ok_Chipmunk_3854 | Luca Mozzato | 9.7 | 0 | 9.7 |
| vrobrolf | Luca Mozzato | 9.7 | 0 | 9.7 |
| masterpierround | Laurence Pithie | 4.5 | 0 | 4.5 |
| VeggieLegs21 | Laurence Pithie | 4.5 | 0 | 4.5 |
| Team_Telekom | Nils Politt | 3.5 | 0 | 3.5 |
| thelostknight99 | Nils Politt | 3.5 | 0 | 3.5 |
| nahgoe16 | Piet Allegaert | 1.5 | 0 | 1.5 |
| Tuttle_not_Buttle | Piet Allegaert | 1.5 | 0 | 1.5 |
| Eyeconoclastic | Alexander Kristoff | 0 | 0 | 0 |
| vbarrielle | Arnaud Démare | 0 | 0 | 0 |
| Mattxps | Brent Van Moer | 0 | 0 | 0 |
| andytheciderman | Danny van Poppel | 0 | 0 | 0 |
| BorisB98 | Danny van Poppel | 0 | 0 | 0 |
| Joder-tio | Danny van Poppel | 0 | 0 | 0 |
| Robcobes | Danny van Poppel | 0 | 0 | 0 |
| wonderbeann | Danny van Poppel | 0 | 0 | 0 |
| the_ginger27 | Dries van Gestel | 0 | 0 | 0 |
| ZBGT | Dries van Gestel | 0 | 0 | 0 |
| paulindy2000 | Hugo Hofstetter | 0 | 0 | 0 |
| neo487666 | Jasper Stuyven | 0 | 0 | 0 |
| ssfoxx27 | Jasper Stuyven | 0 | 0 | 0 |
| beaker15 | Jhonnatan Narvaez | 0 | 0 | 0 |
| MadnessBeliever | Jhonnatan Narvaez | 0 | 0 | 0 |
| bassmanyoowan | Kragh Andersen Søren | 0 | 0 | 0 |
| Divergee5 | Magnus Sheffield | 0 | 0 | 0 |
| djordastic | Mark Cavendish | 0 | 0 | 0 |
| mcbirk | Michael Matthews | 0 | 0 | 0 |
| RaylanGivens8 | Michael Matthews | 0 | 0 | 0 |
| SparkleCrotchLover | Michael Matthews | 0 | 0 | 0 |
| ser-seaworth | Mike Teunissen | 0 | 0 | 0 |
| Avila99 | Tiesj Benoot | 0 | 0 | 0 |
| Lxnnox | Tom Van Asbroeck | 0 | 0 | 0 |
Riders
The Top 30 finishers were:
| Rank | Rider | Picks | Base | Bonus |
|---|---|---|---|---|
| 1 | Mads Pedersen | 3 | 180 | 0 |
| 2 | Mathieu van der Poel | 4 | 144 | 0 |
| 3 | Jordi Meeus | 0 | 108 | 0 |
| 4 | Jasper Philipsen | 3 | 90 | 0 |
| 5 | Jonathan Milan | 1 | 81 | 39 |
| 6 | Olav Kooij | 5 | 72 | 0 |
| 7 | Biniam Girmay | 0 | 65 | 0 |
| 8 | Tim Merlier | 0 | 58 | 0 |
| 9 | Dylan Groenewegen | 0 | 52 | 0 |
| 10 | Matteo Trentin | 2 | 47 | 0 |
| 11 | Oliver Naesen | 0 | 43 | 0 |
| 12 | Stefan Bissegger | 0 | 40 | 0 |
| 13 | Matej Mohoric | 2 | 36 | 0 |
| 14 | Stefan Küng | 2 | 32 | 0 |
| 15 | Luca Mozzato | 3 | 29 | 0 |
| 16 | Laurenz Rex | 2 | 27 | 0 |
| 17 | Corbin Strong | 0 | 25 | 0 |
| 18 | Marius Mayrhofer | 0 | 23 | 0 |
| 19 | Mikkel Bjerg | 1 | 22 | 18 |
| 20 | Jonas Abrahamsen | 0 | 20 | 0 |
| 21 | Fred Wright | 0 | 18 | 0 |
| 22 | Fabian Lienhard | 0 | 16 | 0 |
| 23 | Rasmus Tiller | 0 | 14 | 0 |
| 24 | Sandy Dujardin | 0 | 13 | 0 |
| 25 | Ben Turner | 0 | 11 | 0 |
| 26 | Laurence Pithie | 2 | 9 | 0 |
| 27 | Nils Politt | 2 | 7 | 0 |
| 28 | Alexis Renard | 1 | 5 | 5 |
| 29 | Piet Allegaert | 2 | 3 | 0 |
| 30 | Kamil Malecki | 0 | 2 | 0 |
E3 Harelbeke
Single Rider Fantasy League 2024
Results
Players
A total of 65 players entered:
| User | Pick | Base | Bonus | Score |
|---|---|---|---|---|
| Team_Telekom | Nils Politt | 65 | 36 | 101 |
| Nussig | Mathieu van der Poel | 90 | 0 | 90 |
| Salty-Level | Mathieu van der Poel | 90 | 0 | 90 |
| Judas_Bishop | Jasper Stuyven | 72 | 0 | 72 |
| mcbirk | Jasper Stuyven | 72 | 0 | 72 |
| AwakenTheBacon_ | Krists Neilands | 25 | 21 | 46 |
| detestrian | Jhonnatan Narvaez | 36 | 0 | 36 |
| Redskin44 | Jhonnatan Narvaez | 36 | 0 | 36 |
| masterpierround | Mads Pedersen | 21.5 | 0 | 21.5 |
| ser-seaworth | Mads Pedersen | 21.5 | 0 | 21.5 |
| flemingo24 | Tim Wellens | 18 | 0 | 18 |
| MrR2D | Tim Wellens | 18 | 0 | 18 |
| narlano | Tim Wellens | 18 | 0 | 18 |
| vrobrolf | Tim Wellens | 18 | 0 | 18 |
| Zeckesan | Tim Wellens | 18 | 0 | 18 |
| beaker15 | Wout van Aert | 18 | 0 | 18 |
| Darklight88 | Wout van Aert | 18 | 0 | 18 |
| fewfiet | Wout van Aert | 18 | 0 | 18 |
| Joder-tio | Wout van Aert | 18 | 0 | 18 |
| SparkleCrotchLover | Wout van Aert | 18 | 0 | 18 |
| YourBeneluxOverlords | Wout van Aert | 18 | 0 | 18 |
| BWallis17 | Oliver Naesen | 9 | 8 | 17 |
| MadnessBeliever | Oier Lazkano | 16 | 0 | 16 |
| wonderbeann | Oier Lazkano | 16 | 0 | 16 |
| CudoLanda | Matteo Jorgenson | 13.5 | 0 | 13.5 |
| DerpTrain | Matteo Jorgenson | 13.5 | 0 | 13.5 |
| Divergee5 | Matteo Jorgenson | 13.5 | 0 | 13.5 |
| JDdieSonne | Matteo Jorgenson | 13.5 | 0 | 13.5 |
| Miserable_Hour | Matteo Jorgenson | 13.5 | 0 | 13.5 |
| thecowhasmilk | Matteo Jorgenson | 13.5 | 0 | 13.5 |
| Born-Wrangler-6223 | Biniam Girmay | 11 | 0 | 11 |
| Sappert | Biniam Girmay | 11 | 0 | 11 |
| ZBGT | Markus Hoelgaard | 5 | 5 | 10 |
| alpal2214 | Matej Mohoric | 7.3 | 0 | 7.3 |
| DorHarris | Matej Mohoric | 7.3 | 0 | 7.3 |
| RaylanGivens8 | Matej Mohoric | 7.3 | 0 | 7.3 |
| thelostknight99 | Matej Mohoric | 7.3 | 0 | 7.3 |
| bassmanyoowan | Stefan Küng | 6.8 | 0 | 6.8 |
| BSantos57 | Stefan Küng | 6.8 | 0 | 6.8 |
| Goutye | Stefan Küng | 6.8 | 0 | 6.8 |
| yellow52 | Stefan Küng | 6.8 | 0 | 6.8 |
| Avila99 | Yves Lampaert | 1.5 | 0 | 1.5 |
| BorisB98 | Yves Lampaert | 1.5 | 0 | 1.5 |
| Kryziven | Alberto Bettiol | 0 | 0 | 0 |
| LynniePinnie67 | Alberto Bettiol | 0 | 0 | 0 |
| Robcobes | Alberto Bettiol | 0 | 0 | 0 |
| Xcpa9 | Alberto Bettiol | 0 | 0 | 0 |
| runhaags1 | Axel Zingle | 0 | 0 | 0 |
| Eyeconoclastic | Casper Pedersen | 0 | 0 | 0 |
| Tuttle_not_Buttle | Casper Pedersen | 0 | 0 | 0 |
| Thomas1VL | Dylan van Baarle | 0 | 0 | 0 |
| nahgoe16 | Georg Zimmermann | 0 | 0 | 0 |
| neo487666 | Jan Tratnik | 0 | 0 | 0 |
| djordastic | Jasper De Buyst | 0 | 0 | 0 |
| mcrorigan | Julian Alaphilippe | 0 | 0 | 0 |
| paulindy2000 | Julian Alaphilippe | 0 | 0 | 0 |
| ssfoxx27 | Julian Alaphilippe | 0 | 0 | 0 |
| burden321 | Kasper Asgreen | 0 | 0 | 0 |
| Ok_Chipmunk_3854 | Kasper Asgreen | 0 | 0 | 0 |
| Mattxps | Michael Matthews | 0 | 0 | 0 |
| andytheciderman | Mikkel Bjerg | 0 | 0 | 0 |
| arne-b | Valentin Madouas | 0 | 0 | 0 |
| vbarrielle | Valentin Madouas | 0 | 0 | 0 |
| the_ginger27 | Victor Campenaerts | 0 | 0 | 0 |
| Lxnnox | Vito Braet | 0 | 0 | 0 |
Riders
The Top 30 finishers were:
| Rank | Rider | Picks | Base | Bonus |
|---|---|---|---|---|
| 1 | Mathieu van der Poel | 2 | 180 | 0 |
| 2 | Jasper Stuyven | 2 | 144 | 0 |
| 3 | Wout van Aert | 6 | 108 | 0 |
| 4 | Tim Wellens | 5 | 90 | 0 |
| 5 | Matteo Jorgenson | 6 | 81 | 0 |
| 6 | Jhonnatan Narvaez | 2 | 72 | 0 |
| 7 | Nils Politt | 1 | 65 | 36 |
| 8 | Toms Skujins | 0 | 58 | 0 |
| 9 | Vincenzo Albanese | 0 | 52 | 0 |
| 10 | Alex Kirsch | 0 | 47 | 0 |
| 11 | Mads Pedersen | 2 | 43 | 0 |
| 12 | Jonas Abrahamsen | 0 | 40 | 0 |
| 13 | Brent Van Moer | 0 | 36 | 0 |
| 14 | Oier Lazkano | 2 | 32 | 0 |
| 15 | Matej Mohoric | 4 | 29 | 0 |
| 16 | Stefan Küng | 4 | 27 | 0 |
| 17 | Krists Neilands | 1 | 25 | 21 |
| 18 | Sander De Pestel | 0 | 23 | 0 |
| 19 | Biniam Girmay | 2 | 22 | 0 |
| 20 | Gleb Brussenskiy | 0 | 20 | 0 |
| 21 | Fred Wright | 0 | 18 | 0 |
| 22 | Luca Mozzato | 0 | 16 | 0 |
| 23 | Riley Sheehan | 0 | 14 | 0 |
| 24 | Matteo Trentin | 0 | 13 | 0 |
| 25 | Tom Van Asbroeck | 0 | 11 | 0 |
| 26 | Oliver Naesen | 1 | 9 | 8 |
| 27 | Marco Haller | 0 | 7 | 0 |
| 28 | Markus Hoelgaard | 1 | 5 | 5 |
| 29 | Yves Lampaert | 2 | 3 | 0 |
| 30 | Nicolò Parisini | 0 | 2 | 0 |
Brugge-De Panne
Single Rider Fantasy League 2024
Results
Players
A total of 66 players entered:
| User | Pick | Base | Bonus | Score |
|---|---|---|---|---|
| ssfoxx27 | Danny van Poppel | 75 | 28 | 103 |
| nahgoe16 | Jason Tesson | 68 | 27 | 95 |
| ZBGT | Stian Fredheim | 54 | 25 | 79 |
| ser-seaworth | Emilien Jeannière | 39 | 22 | 61 |
| Avila99 | Milan Menten | 27 | 18 | 45 |
| neo487666 | Laurence Pithie | 23 | 16 | 39 |
| thelostknight99 | Luke Lamperti | 19 | 14 | 33 |
| DerpTrain | Simone Consonni | 30 | 0 | 30 |
| Ok_Chipmunk_3854 | Simone Consonni | 30 | 0 | 30 |
| LynniePinnie67 | Sebastian Molano | 24 | 0 | 24 |
| Robcobes | Sebastian Molano | 24 | 0 | 24 |
| beaker15 | Jasper Philipsen | 17.1 | 0 | 17.1 |
| Eyeconoclastic | Jasper Philipsen | 17.1 | 0 | 17.1 |
| fewfiet | Jasper Philipsen | 17.1 | 0 | 17.1 |
| iamczecksy | Jasper Philipsen | 17.1 | 0 | 17.1 |
| Joder-tio | Jasper Philipsen | 17.1 | 0 | 17.1 |
| Salty-Level | Jasper Philipsen | 17.1 | 0 | 17.1 |
| YourBeneluxOverlords | Jasper Philipsen | 17.1 | 0 | 17.1 |
| AwakenTheBacon_ | Max Kanter | 11 | 0 | 11 |
| mcbirk | Max Kanter | 11 | 0 | 11 |
| Tuttle_not_Buttle | Max Kanter | 11 | 0 | 11 |
| bassmanyoowan | Tim Merlier | 9 | 0 | 9 |
| bizzileb1tch | Tim Merlier | 9 | 0 | 9 |
| Born-Wrangler-6223 | Tim Merlier | 9 | 0 | 9 |
| Darklight88 | Tim Merlier | 9 | 0 | 9 |
| Kryziven | Tim Merlier | 9 | 0 | 9 |
| Nussig | Tim Merlier | 9 | 0 | 9 |
| RaylanGivens8 | Tim Merlier | 9 | 0 | 9 |
| Redskin44 | Tim Merlier | 9 | 0 | 9 |
| SparkleCrotchLover | Tim Merlier | 9 | 0 | 9 |
| the_ginger27 | Tim Merlier | 9 | 0 | 9 |
| alpal2214 | Phil Bauhaus | 6.3 | 0 | 6.3 |
| andytheciderman | Phil Bauhaus | 6.3 | 0 | 6.3 |
| BWallis17 | Phil Bauhaus | 6.3 | 0 | 6.3 |
| MadnessBeliever | Phil Bauhaus | 6.3 | 0 | 6.3 |
| masterpierround | Phil Bauhaus | 6.3 | 0 | 6.3 |
| Xcpa9 | Phil Bauhaus | 6.3 | 0 | 6.3 |
| yellow52 | Phil Bauhaus | 6.3 | 0 | 6.3 |
| BorisB98 | Gerben Thijssen | 5.3 | 0 | 5.3 |
| runhaags1 | Gerben Thijssen | 5.3 | 0 | 5.3 |
| Thomas1VL | Gerben Thijssen | 5.3 | 0 | 5.3 |
| wonderbeann | Gerben Thijssen | 5.3 | 0 | 5.3 |
| CudoLanda | Sam Welsford | 1.7 | 0 | 1.7 |
| flemingo24 | Sam Welsford | 1.7 | 0 | 1.7 |
| MrR2D | Sam Welsford | 1.7 | 0 | 1.7 |
| arne-b | Anthony Turgis | 0 | 0 | 0 |
| DorHarris | Arnaud Démare | 0 | 0 | 0 |
| paulindy2000 | Arnaud Démare | 0 | 0 | 0 |
| vbarrielle | Arnaud Démare | 0 | 0 | 0 |
| BSantos57 | Arvid de Kleijn | 0 | 0 | 0 |
| Goutye | Arvid de Kleijn | 0 | 0 | 0 |
| Mattxps | Arvid de Kleijn | 0 | 0 | 0 |
| vrobrolf | Arvid de Kleijn | 0 | 0 | 0 |
| Zeckesan | Arvid de Kleijn | 0 | 0 | 0 |
| Big_Mike_S | Fabio Jakobsen | 0 | 0 | 0 |
| mcrorigan | Fabio Jakobsen | 0 | 0 | 0 |
| Seabhac7 | Fabio Jakobsen | 0 | 0 | 0 |
| detestrian | Gleb Syritsa | 0 | 0 | 0 |
| ADW343 | Jordi Meeus | 0 | 0 | 0 |
| Judas_Bishop | Jordi Meeus | 0 | 0 | 0 |
| thecowhasmilk | Laurenz Rex | 0 | 0 | 0 |
| VeggieLegs21 | Madis Mihkels | 0 | 0 | 0 |
| burden321 | Pascal Ackermann | 0 | 0 | 0 |
| djordastic | Pascal Ackermann | 0 | 0 | 0 |
| Team_Telekom | Pascal Ackermann | 0 | 0 | 0 |
| Divergee5 | Stanislaw Aniolkowski | 0 | 0 | 0 |
Riders
The Top 30 finishers were:
| Rank | Rider | Picks | Base | Bonus |
|---|---|---|---|---|
| 1 | Jasper Philipsen | 7 | 120 | 0 |
| 2 | Tim Merlier | 10 | 90 | 0 |
| 3 | Danny van Poppel | 1 | 75 | 28 |
| 4 | Jason Tesson | 1 | 68 | 27 |
| 5 | Simone Consonni | 2 | 60 | 0 |
| 6 | Stian Fredheim | 1 | 54 | 25 |
| 7 | Sebastian Molano | 2 | 48 | 0 |
| 8 | Phil Bauhaus | 7 | 44 | 0 |
| 9 | Emilien Jeannière | 1 | 39 | 22 |
| 10 | Luca Mozzato | 0 | 36 | 0 |
| 11 | Max Kanter | 3 | 33 | 0 |
| 12 | Bram Welten | 0 | 30 | 0 |
| 13 | Milan Menten | 1 | 27 | 18 |
| 14 | Fernando Gaviria | 0 | 25 | 0 |
| 15 | Laurence Pithie | 1 | 23 | 16 |
| 16 | Gerben Thijssen | 4 | 21 | 0 |
| 17 | Luke Lamperti | 1 | 19 | 14 |
| 18 | Edward Theuns | 0 | 17 | 0 |
| 19 | Piet Allegaert | 0 | 15 | 0 |
| 20 | Owain Doull | 0 | 13 | 0 |
| 21 | Stefan Bissegger | 0 | 11 | 0 |
| 22 | Erlend Blikra | 0 | 9 | 0 |
| 23 | Mikkel Bjerg | 0 | 8 | 0 |
| 24 | Dylan Groenewegen | 0 | 7 | 0 |
| 25 | Dusan Rajovic | 0 | 6 | 0 |
| 26 | Sam Welsford | 3 | 5 | 0 |
| 27 | Davide Persico | 0 | 4 | 0 |
| 28 | Lorenzo Milesi | 0 | 3 | 0 |
| 29 | Cédric Beullens | 0 | 2 | 0 |
| 30 | Rory Townsend | 0 | 1 | 0 |
Volta Catalunya
Single Rider Fantasy League 2024
Results
Players
A total of 62 players entered:
| User | Pick | Base | Bonus | Score |
|---|---|---|---|---|
| mcbirk | Joao Almeida | 58 | 44 | 102 |
| Zeckesan | Lorenzo Fortunato | 52 | 42 | 94 |
| arne-b | Cristian Rodriguez | 44 | 38 | 82 |
| Divergee5 | Mikel Landa | 80 | 0 | 80 |
| markp88 | Mikel Landa | 80 | 0 | 80 |
| Tuttle_not_Buttle | Einer Rubio | 36 | 34 | 70 |
| Thomas1VL | Laurens De Plus | 30 | 30 | 60 |
| Judas_Bishop | Clément Berthet | 26 | 26 | 52 |
| ser-seaworth | Damiano Caruso | 24 | 24 | 48 |
| nahgoe16 | Chris Harper | 40 | 0 | 40 |
| ssfoxx27 | Chris Harper | 40 | 0 | 40 |
| fewfiet | Tadej Pogacar | 28.6 | 0 | 28.6 |
| narlano | Tadej Pogacar | 28.6 | 0 | 28.6 |
| neo487666 | Tadej Pogacar | 28.6 | 0 | 28.6 |
| Nussig | Tadej Pogacar | 28.6 | 0 | 28.6 |
| thelostknight99 | Tadej Pogacar | 28.6 | 0 | 28.6 |
| vrobrolf | Tadej Pogacar | 28.6 | 0 | 28.6 |
| yellow52 | Tadej Pogacar | 28.6 | 0 | 28.6 |
| andytheciderman | Egan Bernal | 24 | 0 | 24 |
| CudoLanda | Egan Bernal | 24 | 0 | 24 |
| Lxnnox | Egan Bernal | 24 | 0 | 24 |
| MadnessBeliever | Egan Bernal | 24 | 0 | 24 |
| Redskin44 | Egan Bernal | 24 | 0 | 24 |
| Ok_Chipmunk_3854 | Wout Poels | 24 | 0 | 24 |
| wonderbeann | Wout Poels | 24 | 0 | 24 |
| Big_Mike_S | Lenny Martinez | 14.4 | 0 | 14.4 |
| flemingo24 | Lenny Martinez | 14.4 | 0 | 14.4 |
| paulindy2000 | Lenny Martinez | 14.4 | 0 | 14.4 |
| SparkleCrotchLover | Lenny Martinez | 14.4 | 0 | 14.4 |
| vbarrielle | Lenny Martinez | 14.4 | 0 | 14.4 |
| bizzileb1tch | Aleksandr Vlasov | 14.3 | 0 | 14.3 |
| BorisB98 | Aleksandr Vlasov | 14.3 | 0 | 14.3 |
| BSantos57 | Aleksandr Vlasov | 14.3 | 0 | 14.3 |
| Eyeconoclastic | Aleksandr Vlasov | 14.3 | 0 | 14.3 |
| masterpierround | Aleksandr Vlasov | 14.3 | 0 | 14.3 |
| mcrorigan | Aleksandr Vlasov | 14.3 | 0 | 14.3 |
| RaylanGivens8 | Aleksandr Vlasov | 14.3 | 0 | 14.3 |
| Goutye | Valentin Paret-Peintre | 1 | 0 | 1 |
| runhaags1 | Valentin Paret-Peintre | 1 | 0 | 1 |
| detestrian | Axel Laurance | 0 | 0 | 0 |
| djordastic | Cian Uijtdebroeks | 0 | 0 | 0 |
| thecowhasmilk | Cian Uijtdebroeks | 0 | 0 | 0 |
| YourBeneluxOverlords | Cian Uijtdebroeks | 0 | 0 | 0 |
| TwistedWitch | Enzo Paleni | 0 | 0 | 0 |
| burden321 | Halland Johannessen Tobias | 0 | 0 | 0 |
| AwakenTheBacon_ | Harold Tejada | 0 | 0 | 0 |
| alpal2214 | Hugh Carthy | 0 | 0 | 0 |
| LynniePinnie67 | Hugh Carthy | 0 | 0 | 0 |
| Robcobes | Hugh Carthy | 0 | 0 | 0 |
| Salty-Level | Ilan Van Wilder | 0 | 0 | 0 |
| ZBGT | Ivan Sosa | 0 | 0 | 0 |
| the_ginger27 | Junior Lecerf William | 0 | 0 | 0 |
| Sappert | Louis Meintjes | 0 | 0 | 0 |
| DerpTrain | Matthew Riccitello | 0 | 0 | 0 |
| MrR2D | Maxim Van Gils | 0 | 0 | 0 |
| BWallis17 | Michael Woods | 0 | 0 | 0 |
| Team_Telekom | Michael Woods | 0 | 0 | 0 |
| Joder-tio | Raúl García | 0 | 0 | 0 |
| JDdieSonne | Simon Yates | 0 | 0 | 0 |
| Kryziven | Simon Yates | 0 | 0 | 0 |
| Avila99 | Stephen Williams | 0 | 0 | 0 |
| DorHarris | Stephen Williams | 0 | 0 | 0 |
Riders
The Top 30 finishers were:
| Rank | Rider | Picks | Base | Bonus |
|---|---|---|---|---|
| 1 | Tadej Pogacar | 7 | 200 | 0 |
| 2 | Mikel Landa | 2 | 160 | 0 |
| 3 | Egan Bernal | 5 | 120 | 0 |
| 4 | Aleksandr Vlasov | 7 | 100 | 0 |
| 5 | Enric Mas | 0 | 90 | 0 |
| 6 | Chris Harper | 2 | 80 | 0 |
| 7 | Lenny Martinez | 5 | 72 | 0 |
| 8 | Antonio Tiberi | 0 | 64 | 0 |
| 9 | Joao Almeida | 1 | 58 | 44 |
| 10 | Lorenzo Fortunato | 1 | 52 | 42 |
| 11 | Wout Poels | 2 | 48 | 0 |
| 12 | Cristian Rodriguez | 1 | 44 | 38 |
| 13 | Sepp Kuss | 0 | 40 | 0 |
| 14 | Einer Rubio | 1 | 36 | 34 |
| 15 | George Bennett | 0 | 32 | 0 |
| 16 | Laurens De Plus | 1 | 30 | 30 |
| 17 | Carlos Verona | 0 | 28 | 0 |
| 18 | Clément Berthet | 1 | 26 | 26 |
| 19 | Damiano Caruso | 1 | 24 | 24 |
| 20 | Jan Hirt | 0 | 22 | 0 |
| 21 | Johannes Kulset | 0 | 20 | 0 |
| 22 | Esteban Chaves | 0 | 18 | 0 |
| 23 | Eric Fagundez | 0 | 16 | 0 |
| 24 | Sean Quinn | 0 | 14 | 0 |
| 25 | Andreas Leknessund | 0 | 12 | 0 |
| 26 | Guillaume Martin | 0 | 10 | 0 |
| 27 | Geraint Thomas | 0 | 8 | 0 |
| 28 | Nicolas Prodhomme | 0 | 6 | 0 |
| 29 | Pablo Castrillo | 0 | 4 | 0 |
| 30 | Valentin Paret-Peintre | 2 | 2 | 0 |
Milano–Sanremo
Single Rider Fantasy League 2024
Results
Players
A total of 71 players entered:
| User | Pick | Base | Bonus | Score |
|---|---|---|---|---|
| Eyeconoclastic | Jasper Philipsen | 350 | 120 | 470 |
| Kryziven | Jasper Stuyven | 112 | 92 | 204 |
| Tuttle_not_Buttle | Corbin Strong | 48 | 48 | 96 |
| BorisB98 | Michael Matthews | 70 | 0 | 70 |
| burden321 | Michael Matthews | 70 | 0 | 70 |
| BWallis17 | Michael Matthews | 70 | 0 | 70 |
| Sappert | Michael Matthews | 70 | 0 | 70 |
| Judas_Bishop | Vincenzo Albanese | 25 | 25 | 50 |
| flemingo24 | Matej Mohoric | 46.7 | 0 | 46.7 |
| Ok_Chipmunk_3854 | Matej Mohoric | 46.7 | 0 | 46.7 |
| thecowhasmilk | Matej Mohoric | 46.7 | 0 | 46.7 |
| DorHarris | Mads Pedersen | 43.8 | 0 | 43.8 |
| Norskov | Mads Pedersen | 43.8 | 0 | 43.8 |
| Nussig | Mads Pedersen | 43.8 | 0 | 43.8 |
| Xcpa9 | Mads Pedersen | 43.8 | 0 | 43.8 |
| andytheciderman | Maxim Van Gils | 42 | 0 | 42 |
| Lxnnox | Maxim Van Gils | 42 | 0 | 42 |
| RaylanGivens8 | Maxim Van Gils | 42 | 0 | 42 |
| CudoLanda | Tadej Pogacar | 26.3 | 0 | 26.3 |
| fewfiet | Tadej Pogacar | 26.3 | 0 | 26.3 |
| iamczecksy | Tadej Pogacar | 26.3 | 0 | 26.3 |
| Joder-tio | Tadej Pogacar | 26.3 | 0 | 26.3 |
| ssfoxx27 | Tadej Pogacar | 26.3 | 0 | 26.3 |
| Thomas1VL | Tadej Pogacar | 26.3 | 0 | 26.3 |
| Wateroski | Tadej Pogacar | 26.3 | 0 | 26.3 |
| yellow52 | Tadej Pogacar | 26.3 | 0 | 26.3 |
| djordastic | Olav Kooij | 20.7 | 0 | 20.7 |
| mcbirk | Olav Kooij | 20.7 | 0 | 20.7 |
| tomatoincredible | Olav Kooij | 20.7 | 0 | 20.7 |
| arne-b | Benoît Cosnefroy | 19.5 | 0 | 19.5 |
| thebigscratch | Benoît Cosnefroy | 19.5 | 0 | 19.5 |
| Avila99 | Laurence Pithie | 18.7 | 0 | 18.7 |
| BSantos57 | Laurence Pithie | 18.7 | 0 | 18.7 |
| Goutye | Laurence Pithie | 18.7 | 0 | 18.7 |
| JDdieSonne | Mathieu van der Poel | 18.2 | 0 | 18.2 |
| markp88 | Mathieu van der Poel | 18.2 | 0 | 18.2 |
| ser-seaworth | Mathieu van der Poel | 18.2 | 0 | 18.2 |
| VeggieLegs21 | Mathieu van der Poel | 18.2 | 0 | 18.2 |
| YourBeneluxOverlords | Mathieu van der Poel | 18.2 | 0 | 18.2 |
| alpal2214 | Tom Pidcock | 14 | 0 | 14 |
| beaker15 | Tom Pidcock | 14 | 0 | 14 |
| MrR2D | Tom Pidcock | 14 | 0 | 14 |
| Mucknuggle | Tom Pidcock | 14 | 0 | 14 |
| runhaags1 | Tom Pidcock | 14 | 0 | 14 |
| Salty-Level | Tom Pidcock | 14 | 0 | 14 |
| baat | Fred Wright | 4 | 4 | 8 |
| DerpTrain | Matteo Trentin | 7 | 0 | 7 |
| Robcobes | Matteo Trentin | 7 | 0 | 7 |
| Seabhac7 | Matteo Trentin | 7 | 0 | 7 |
| the_ginger27 | Matteo Trentin | 7 | 0 | 7 |
| wonderbeann | Matteo Trentin | 7 | 0 | 7 |
| bassmanyoowan | Arnaud Démare | 0 | 0 | 0 |
| vbarrielle | Axel Zingle | 0 | 0 | 0 |
| Big_Mike_S | Christophe Laporte | 0 | 0 | 0 |
| narlano | Christophe Laporte | 0 | 0 | 0 |
| paulindy2000 | Christophe Laporte | 0 | 0 | 0 |
| SparkleCrotchLover | Christophe Laporte | 0 | 0 | 0 |
| TwistedWitch | Danny van Poppel | 0 | 0 | 0 |
| LJSchoppert | Filippo Ganna | 0 | 0 | 0 |
| Divergee5 | Jhonnatan Narvaez | 0 | 0 | 0 |
| nahgoe16 | Jhonnatan Narvaez | 0 | 0 | 0 |
| Redskin44 | Jon Barrenetxea | 0 | 0 | 0 |
| detestrian | Jonathan Milan | 0 | 0 | 0 |
| Team_Telekom | Jonathan Milan | 0 | 0 | 0 |
| masterpierround | Kevin Vermaerke | 0 | 0 | 0 |
| AwakenTheBacon_ | Kragh Andersen Søren | 0 | 0 | 0 |
| LynniePinnie67 | Kragh Andersen Søren | 0 | 0 | 0 |
| neo487666 | Kragh Andersen Søren | 0 | 0 | 0 |
| vrobrolf | Krists Neilands | 0 | 0 | 0 |
| Zeckesan | Oliver Naesen | 0 | 0 | 0 |
| mcrorigan | Toms Skujins | 0 | 0 | 0 |
Riders
The Top 30 finishers were:
| Rank | Rider | Picks | Base | Bonus |
|---|---|---|---|---|
| 1 | Jasper Philipsen | 1 | 350 | 120 |
| 2 | Michael Matthews | 4 | 280 | 0 |
| 3 | Tadej Pogacar | 8 | 210 | 0 |
| 4 | Mads Pedersen | 4 | 175 | 0 |
| 5 | Alberto Bettiol | 0 | 158 | 0 |
| 6 | Matej Mohoric | 3 | 140 | 0 |
| 7 | Maxim Van Gils | 3 | 126 | 0 |
| 8 | Jasper Stuyven | 1 | 112 | 92 |
| 9 | Julian Alaphilippe | 0 | 101 | 0 |
| 10 | Mathieu van der Poel | 5 | 91 | 0 |
| 11 | Tom Pidcock | 6 | 84 | 0 |
| 12 | Matteo Sobrero | 0 | 78 | 0 |
| 13 | Casper Pedersen | 0 | 70 | 0 |
| 14 | Olav Kooij | 3 | 62 | 0 |
| 15 | Laurence Pithie | 3 | 56 | 0 |
| 16 | Kasper Asgreen | 0 | 52 | 0 |
| 17 | Corbin Strong | 1 | 48 | 48 |
| 18 | Simon Clarke | 0 | 45 | 0 |
| 19 | Quentin Pacher | 0 | 42 | 0 |
| 20 | Benoît Cosnefroy | 2 | 39 | 0 |
| 21 | Matteo Trentin | 5 | 35 | 0 |
| 22 | Samuele Battistella | 0 | 32 | 0 |
| 23 | Stefan Küng | 0 | 28 | 0 |
| 24 | Vincenzo Albanese | 1 | 25 | 25 |
| 25 | Simone Velasco | 0 | 21 | 0 |
| 26 | Gonzalo Serrano | 0 | 18 | 0 |
| 27 | Biniam Girmay | 0 | 14 | 0 |
| 28 | Davide De Pretto | 0 | 10 | 0 |
| 29 | Victor Campenaerts | 0 | 8 | 0 |
| 30 | Fred Wright | 1 | 4 | 4 |
Tirreno–Adriatico
Single Rider Fantasy League 2024
Results
Players
A total of 54 players entered:
| User | Pick | Base | Bonus | Score |
|---|---|---|---|---|
| LynniePinnie67 | Tom Pidcock | 81 | 66 | 147 |
| arne-b | Kévin Vauquelin | 73 | 63 | 136 |
| Big_Mike_S | Juan Ayuso | 112 | 0 | 112 |
| Salty-Level | Juan Ayuso | 112 | 0 | 112 |
| Lxnnox | Jai Hindley | 84 | 0 | 84 |
| TwistedWitch | Jai Hindley | 84 | 0 | 84 |
| fewfiet | Jonas Vingegaard | 56 | 0 | 56 |
| flemingo24 | Jonas Vingegaard | 56 | 0 | 56 |
| Mucknuggle | Jonas Vingegaard | 56 | 0 | 56 |
| Thomas1VL | Jonas Vingegaard | 56 | 0 | 56 |
| yellow52 | Jonas Vingegaard | 56 | 0 | 56 |
| mcbirk | Cian Uijtdebroeks | 50.5 | 0 | 50.5 |
| VeggieLegs21 | Cian Uijtdebroeks | 50.5 | 0 | 50.5 |
| Avila99 | Isaac del Toro | 46.7 | 0 | 46.7 |
| neo487666 | Isaac del Toro | 46.7 | 0 | 46.7 |
| Ok_Chipmunk_3854 | Isaac del Toro | 46.7 | 0 | 46.7 |
| bassmanyoowan | Ben O'Connor | 42 | 0 | 42 |
| BWallis17 | Ben O'Connor | 42 | 0 | 42 |
| SparkleCrotchLover | Ben O'Connor | 42 | 0 | 42 |
| wonderbeann | Davide Formolo | 14 | 14 | 28 |
| alpal2214 | Thymen Arensman | 22.4 | 0 | 22.4 |
| CudoLanda | Thymen Arensman | 22.4 | 0 | 22.4 |
| MrR2D | Thymen Arensman | 22.4 | 0 | 22.4 |
| Tuttle_not_Buttle | Thymen Arensman | 22.4 | 0 | 22.4 |
| YourBeneluxOverlords | Thymen Arensman | 22.4 | 0 | 22.4 |
| Kryziven | Enric Mas | 20.7 | 0 | 20.7 |
| masterpierround | Enric Mas | 20.7 | 0 | 20.7 |
| Sappert | Enric Mas | 20.7 | 0 | 20.7 |
| Judas_Bishop | Cristian Rodriguez | 19.5 | 0 | 19.5 |
| ser-seaworth | Cristian Rodriguez | 19.5 | 0 | 19.5 |
| Divergee5 | Romain Grégoire | 18.7 | 0 | 18.7 |
| paulindy2000 | Romain Grégoire | 18.7 | 0 | 18.7 |
| the_ginger27 | Romain Grégoire | 18.7 | 0 | 18.7 |
| burden321 | Filippo Zana | 17 | 0 | 17 |
| ZBGT | Filippo Zana | 17 | 0 | 17 |
| LJSchoppert | Antonio Tiberi | 5.5 | 0 | 5.5 |
| Team_Telekom | Antonio Tiberi | 5.5 | 0 | 5.5 |
| DerpTrain | Valentin Madouas | 1.5 | 0 | 1.5 |
| Goutye | Valentin Madouas | 1.5 | 0 | 1.5 |
| beaker15 | Tao Geoghegan Hart | 1.2 | 0 | 1.2 |
| DorHarris | Tao Geoghegan Hart | 1.2 | 0 | 1.2 |
| JDdieSonne | Tao Geoghegan Hart | 1.2 | 0 | 1.2 |
| mcrorigan | Tao Geoghegan Hart | 1.2 | 0 | 1.2 |
| Redskin44 | Tao Geoghegan Hart | 1.2 | 0 | 1.2 |
| detestrian | Chris Froome | 0 | 0 | 0 |
| ssfoxx27 | Damien Howson | 0 | 0 | 0 |
| BSantos57 | Daniel Martinez | 0 | 0 | 0 |
| Xcpa9 | Daniel Martinez | 0 | 0 | 0 |
| Mattxps | Max Poole | 0 | 0 | 0 |
| AwakenTheBacon_ | Rafal Majka | 0 | 0 | 0 |
| Eyeconoclastic | Richard Carapaz | 0 | 0 | 0 |
| nahgoe16 | Romain Bardet | 0 | 0 | 0 |
| vrobrolf | Romain Bardet | 0 | 0 | 0 |
| Zeckesan | Romain Bardet | 0 | 0 | 0 |
Riders
The Top 30 finishers were:
| Rank | Rider | Picks | Base | Bonus |
|---|---|---|---|---|
| 1 | Jonas Vingegaard | 5 | 280 | 0 |
| 2 | Juan Ayuso | 2 | 224 | 0 |
| 3 | Jai Hindley | 2 | 168 | 0 |
| 4 | Isaac del Toro | 3 | 140 | 0 |
| 5 | Ben O'Connor | 3 | 126 | 0 |
| 6 | Thymen Arensman | 5 | 112 | 0 |
| 7 | Cian Uijtdebroeks | 2 | 101 | 0 |
| 8 | Lennard Kämna | 0 | 90 | 0 |
| 9 | Tom Pidcock | 1 | 81 | 66 |
| 10 | Kévin Vauquelin | 1 | 73 | 63 |
| 11 | Wout Poels | 0 | 67 | 0 |
| 12 | Enric Mas | 3 | 62 | 0 |
| 13 | Romain Grégoire | 3 | 56 | 0 |
| 14 | Lorenzo Fortunato | 0 | 50 | 0 |
| 15 | Mikkel Bjerg | 0 | 45 | 0 |
| 16 | Magnus Sheffield | 0 | 42 | 0 |
| 17 | Cristian Rodriguez | 2 | 39 | 0 |
| 18 | Davide Piganzoli | 0 | 36 | 0 |
| 19 | Filippo Zana | 2 | 34 | 0 |
| 20 | Ivan Sosa | 0 | 31 | 0 |
| 21 | Krists Neilands | 0 | 28 | 0 |
| 22 | Lawson Craddock | 0 | 25 | 0 |
| 23 | Guillaume Martin | 0 | 22 | 0 |
| 24 | Kevin Vermaerke | 0 | 20 | 0 |
| 25 | Lorenzo Rota | 0 | 17 | 0 |
| 26 | Davide Formolo | 1 | 14 | 14 |
| 27 | Antonio Tiberi | 2 | 11 | 0 |
| 28 | Simone Velasco | 0 | 8 | 0 |
| 29 | Tao Geoghegan Hart | 5 | 6 | 0 |
| 30 | Valentin Madouas | 2 | 3 | 0 |
Paris–Nice
Single Rider Fantasy League 2024
results
Players
A total of 66 players entered:
| User | Pick | Base | Bonus | Score |
|---|---|---|---|---|
| ssfoxx27 | Chris Harper | 62 | 57 | 119 |
| Judas_Bishop | Aurélien Paret-Peintre | 50 | 50 | 100 |
| JDdieSonne | Matteo Jorgenson | 93.3 | 0 | 93.3 |
| runhaags1 | Matteo Jorgenson | 93.3 | 0 | 93.3 |
| thecowhasmilk | Matteo Jorgenson | 93.3 | 0 | 93.3 |
| nahgoe16 | Yannis Voisard | 34 | 34 | 68 |
| fewfiet | Remco Evenepoel | 44.8 | 0 | 44.8 |
| Kryziven | Remco Evenepoel | 44.8 | 0 | 44.8 |
| Mucknuggle | Remco Evenepoel | 44.8 | 0 | 44.8 |
| vrobrolf | Remco Evenepoel | 44.8 | 0 | 44.8 |
| YourBeneluxOverlords | Remco Evenepoel | 44.8 | 0 | 44.8 |
| Lxnnox | Egan Bernal | 33.7 | 0 | 33.7 |
| LynniePinnie67 | Egan Bernal | 33.7 | 0 | 33.7 |
| Miserable_Hour | Egan Bernal | 33.7 | 0 | 33.7 |
| BorisB98 | Aleksandr Vlasov | 31.5 | 0 | 31.5 |
| DorHarris | Aleksandr Vlasov | 31.5 | 0 | 31.5 |
| LJSchoppert | Aleksandr Vlasov | 31.5 | 0 | 31.5 |
| mcbirk | Aleksandr Vlasov | 31.5 | 0 | 31.5 |
| alpal2214 | Mattias Skjelmose | 23.3 | 0 | 23.3 |
| BSantos57 | Mattias Skjelmose | 23.3 | 0 | 23.3 |
| burden321 | Mattias Skjelmose | 23.3 | 0 | 23.3 |
| masterpierround | Mattias Skjelmose | 23.3 | 0 | 23.3 |
| Norskov | Mattias Skjelmose | 23.3 | 0 | 23.3 |
| PM_ME_COOL_IDEAS | Mattias Skjelmose | 23.3 | 0 | 23.3 |
| andytheciderman | Joao Almeida | 22.3 | 0 | 22.3 |
| SparkleCrotchLover | Joao Almeida | 22.3 | 0 | 22.3 |
| VeggieLegs21 | Joao Almeida | 22.3 | 0 | 22.3 |
| Big_Mike_S | Felix Gall | 16.2 | 0 | 16.2 |
| RaylanGivens8 | Felix Gall | 16.2 | 0 | 16.2 |
| Robcobes | Felix Gall | 16.2 | 0 | 16.2 |
| wonderbeann | Felix Gall | 16.2 | 0 | 16.2 |
| ZBGT | Felix Gall | 16.2 | 0 | 16.2 |
| balinki | Ilan Van Wilder | 12.5 | 0 | 12.5 |
| Joder-tio | Ilan Van Wilder | 12.5 | 0 | 12.5 |
| bizzileb1tch | Primoz Roglic | 12.2 | 0 | 12.2 |
| markp88 | Primoz Roglic | 12.2 | 0 | 12.2 |
| sharkbait_hahaha | Primoz Roglic | 12.2 | 0 | 12.2 |
| Thomas1VL | Primoz Roglic | 12.2 | 0 | 12.2 |
| Xcpa9 | Primoz Roglic | 12.2 | 0 | 12.2 |
| yellow52 | Primoz Roglic | 12.2 | 0 | 12.2 |
| arne-b | Ion Izagirre | 7 | 0 | 7 |
| Mattxps | Ion Izagirre | 7 | 0 | 7 |
| bassmanyoowan | Pello Bilbao | 5.5 | 0 | 5.5 |
| CudoLanda | Pello Bilbao | 5.5 | 0 | 5.5 |
| neo487666 | Pello Bilbao | 5.5 | 0 | 5.5 |
| Salty-Level | Pello Bilbao | 5.5 | 0 | 5.5 |
| Avila99 | Carlos Rodriguez | 2.7 | 0 | 2.7 |
| Nussig | Carlos Rodriguez | 2.7 | 0 | 2.7 |
| TwistedWitch | Carlos Rodriguez | 2.7 | 0 | 2.7 |
| DerpTrain | Alexey Lutsenko | 0 | 0 | 0 |
| Sappert | Bruno Armirail | 0 | 0 | 0 |
| ser-seaworth | Clément Champoussin | 0 | 0 | 0 |
| Goutye | David Gaudu | 0 | 0 | 0 |
| paulindy2000 | David Gaudu | 0 | 0 | 0 |
| Redskin44 | David Gaudu | 0 | 0 | 0 |
| vbarrielle | David Gaudu | 0 | 0 | 0 |
| detestrian | Jay Vine | 0 | 0 | 0 |
| Divergee5 | Michael Storer | 0 | 0 | 0 |
| Ok_Chipmunk_3854 | Michael Storer | 0 | 0 | 0 |
| Zeckesan | Michael Storer | 0 | 0 | 0 |
| Team_Telekom | Rigoberto Uran | 0 | 0 | 0 |
| AwakenTheBacon_ | Santiago Buitrago | 0 | 0 | 0 |
| Eyeconoclastic | Santiago Buitrago | 0 | 0 | 0 |
| MrR2D | Santiago Buitrago | 0 | 0 | 0 |
| Tuttle_not_Buttle | Santiago Buitrago | 0 | 0 | 0 |
| the_ginger27 | Steff Cras | 0 | 0 | 0 |
Riders
The Top 30 finishers were:
| Rank | Rider | Picks | Base | Bonus |
|---|---|---|---|---|
| 1 | Matteo Jorgenson | 3 | 280 | 0 |
| 2 | Remco Evenepoel | 5 | 224 | 0 |
| 3 | Brandon McNulty | 0 | 168 | 0 |
| 4 | Mattias Skjelmose | 6 | 140 | 0 |
| 5 | Aleksandr Vlasov | 4 | 126 | 0 |
| 6 | Lucas Plapp | 0 | 112 | 0 |
| 7 | Egan Bernal | 3 | 101 | 0 |
| 8 | Wilco Kelderman | 0 | 90 | 0 |
| 9 | Felix Gall | 5 | 81 | 0 |
| 10 | Primoz Roglic | 6 | 73 | 0 |
| 11 | Joao Almeida | 3 | 67 | 0 |
| 12 | Chris Harper | 1 | 62 | 57 |
| 13 | Laurens De Plus | 0 | 56 | 0 |
| 14 | Aurélien Paret-Peintre | 1 | 50 | 50 |
| 15 | William Barta | 0 | 45 | 0 |
| 16 | Harold Tejada | 0 | 42 | 0 |
| 17 | Ewen Costiou | 0 | 39 | 0 |
| 18 | Louis Vervaeke | 0 | 36 | 0 |
| 19 | Yannis Voisard | 1 | 34 | 34 |
| 20 | Quentin Pacher | 0 | 31 | 0 |
| 21 | Ruben Guerreiro | 0 | 28 | 0 |
| 22 | Ilan Van Wilder | 2 | 25 | 0 |
| 23 | Pello Bilbao | 4 | 22 | 0 |
| 24 | Georg Zimmermann | 0 | 20 | 0 |
| 25 | Koen Bouwman | 0 | 17 | 0 |
| 26 | Ion Izagirre | 2 | 14 | 0 |
| 27 | Mattia Cattaneo | 0 | 11 | 0 |
| 28 | Carlos Rodriguez | 3 | 8 | 0 |
| 29 | Matteo Sobrero | 0 | 6 | 0 |
| 30 | Felix Großschartner | 0 | 3 | 0 |
Strade Bianche
Single Rider Fantasy League 2024
Results
Players
A total of 72 players entered:
| User | Pick | Base | Bonus | Score |
|---|---|---|---|---|
| baat | Tom Pidcock | 90 | 41 | 131 |
| Salty-Level | Matej Mohoric | 81 | 39 | 120 |
| arne-b | Lenny Martinez | 58 | 35 | 93 |
| VeggieLegs21 | Filippo Zana | 52 | 33 | 85 |
| SparkleCrotchLover | Lennert Van Eetvelt | 43 | 30 | 73 |
| DorHarris | Valentin Madouas | 29 | 24 | 53 |
| Lxnnox | Romain Bardet | 25 | 21 | 46 |
| sharkbait_hahaha | Lennard Kämna | 20 | 17 | 37 |
| BWallis17 | Toms Skujins | 36 | 0 | 36 |
| JDdieSonne | Toms Skujins | 36 | 0 | 36 |
| Mattxps | Toms Skujins | 36 | 0 | 36 |
| Norskov | Toms Skujins | 36 | 0 | 36 |
| Tuttle_not_Buttle | Andrea Vendrame | 16 | 14 | 30 |
| wonderbeann | Richard Carapaz | 13 | 11 | 24 |
| AwakenTheBacon_ | Davide Formolo | 21.7 | 0 | 21.7 |
| Divergee5 | Davide Formolo | 21.7 | 0 | 21.7 |
| Eyeconoclastic | Davide Formolo | 21.7 | 0 | 21.7 |
| bizzileb1tch | Ben Healy | 20 | 0 | 20 |
| the_ginger27 | Ben Healy | 20 | 0 | 20 |
| andytheciderman | Maxim Van Gils | 18 | 0 | 18 |
| burden321 | Maxim Van Gils | 18 | 0 | 18 |
| CudoLanda | Maxim Van Gils | 18 | 0 | 18 |
| RaylanGivens8 | Maxim Van Gils | 18 | 0 | 18 |
| YourBeneluxOverlords | Maxim Van Gils | 18 | 0 | 18 |
| Zeckesan | Maxim Van Gils | 18 | 0 | 18 |
| fewfiet | Tadej Pogacar | 18 | 0 | 18 |
| ItsDqoi | Tadej Pogacar | 18 | 0 | 18 |
| Joder-tio | Tadej Pogacar | 18 | 0 | 18 |
| Kryziven | Tadej Pogacar | 18 | 0 | 18 |
| markp88 | Tadej Pogacar | 18 | 0 | 18 |
| masterpierround | Tadej Pogacar | 18 | 0 | 18 |
| Mucknuggle | Tadej Pogacar | 18 | 0 | 18 |
| ssfoxx27 | Tadej Pogacar | 18 | 0 | 18 |
| Thomas1VL | Tadej Pogacar | 18 | 0 | 18 |
| yellow52 | Tadej Pogacar | 18 | 0 | 18 |
| mcbirk | Magnus Cort | 7 | 6 | 13 |
| epi_counts | Tim Wellens | 12 | 0 | 12 |
| LJSchoppert | Tim Wellens | 12 | 0 | 12 |
| Team_Telekom | Tim Wellens | 12 | 0 | 12 |
| BSantos57 | Attila Valter | 4.4 | 0 | 4.4 |
| DerpTrain | Attila Valter | 4.4 | 0 | 4.4 |
| Miserable_Hour | Attila Valter | 4.4 | 0 | 4.4 |
| narlano | Attila Valter | 4.4 | 0 | 4.4 |
| Nussig | Attila Valter | 4.4 | 0 | 4.4 |
| BorisB98 | Lorenzo Rota | 1 | 0 | 1 |
| detestrian | Lorenzo Rota | 1 | 0 | 1 |
| vrobrolf | Lorenzo Rota | 1 | 0 | 1 |
| Big_Mike_S | Daniel Martinez | 0 | 0 | 0 |
| Redskin44 | Daniel Martinez | 0 | 0 | 0 |
| Avila99 | Gianni Vermeersch | 0 | 0 | 0 |
| alpal2214 | Guillaume Martin | 0 | 0 | 0 |
| nahgoe16 | Guillaume Martin | 0 | 0 | 0 |
| Judas_Bishop | Iván García Cortina | 0 | 0 | 0 |
| Goutye | Julian Alaphilippe | 0 | 0 | 0 |
| LynniePinnie67 | Julian Alaphilippe | 0 | 0 | 0 |
| mcrorigan | Michal Kwiatkowski | 0 | 0 | 0 |
| Sappert | Mikkel Honore | 0 | 0 | 0 |
| Xcpa9 | Neilson Powless | 0 | 0 | 0 |
| ZBGT | Nicola Conci | 0 | 0 | 0 |
| thecowhasmilk | Quinn Simmons | 0 | 0 | 0 |
| flemingo24 | Romain Grégoire | 0 | 0 | 0 |
| MrR2D | Romain Grégoire | 0 | 0 | 0 |
| neo487666 | Romain Grégoire | 0 | 0 | 0 |
| paulindy2000 | Romain Grégoire | 0 | 0 | 0 |
| Robcobes | Romain Grégoire | 0 | 0 | 0 |
| runhaags1 | Romain Grégoire | 0 | 0 | 0 |
| vbarrielle | Romain Grégoire | 0 | 0 | 0 |
| balinki | Sepp Kuss | 0 | 0 | 0 |
| beaker15 | Sepp Kuss | 0 | 0 | 0 |
| PM_ME_COOL_IDEAS | Sepp Kuss | 0 | 0 | 0 |
| bassmanyoowan | Sergio Higuita | 0 | 0 | 0 |
| Ok_Chipmunk_3854 | Simone Velasco | 0 | 0 | 0 |
Riders
The Top 30 finishers were:
| Rank | Rider | Picks | Base | Bonus |
|---|---|---|---|---|
| 1 | Tadej Pogacar | 10 | 180 | 0 |
| 2 | Toms Skujins | 4 | 144 | 0 |
| 3 | Maxim Van Gils | 6 | 108 | 0 |
| 4 | Tom Pidcock | 1 | 90 | 41 |
| 5 | Matej Mohoric | 1 | 81 | 39 |
| 6 | Benoît Cosnefroy | 0 | 72 | 0 |
| 7 | Davide Formolo | 3 | 65 | 0 |
| 8 | Lenny Martinez | 1 | 58 | 35 |
| 9 | Filippo Zana | 1 | 52 | 33 |
| 10 | Christophe Laporte | 0 | 47 | 0 |
| 11 | Lennert Van Eetvelt | 1 | 43 | 30 |
| 12 | Ben Healy | 2 | 40 | 0 |
| 13 | Tim Wellens | 3 | 36 | 0 |
| 14 | Francesco Busatto | 0 | 32 | 0 |
| 15 | Valentin Madouas | 1 | 29 | 24 |
| 16 | Krists Neilands | 0 | 27 | 0 |
| 17 | Romain Bardet | 1 | 25 | 21 |
| 18 | Magnus Sheffield | 0 | 23 | 0 |
| 19 | Attila Valter | 5 | 22 | 0 |
| 20 | Lennard Kämna | 1 | 20 | 17 |
| 21 | Kévin Vauquelin | 0 | 18 | 0 |
| 22 | Andrea Vendrame | 1 | 16 | 14 |
| 23 | Dylan Teuns | 0 | 14 | 0 |
| 24 | Richard Carapaz | 1 | 13 | 11 |
| 25 | Carlos Canal | 0 | 11 | 0 |
| 26 | Bastien Tronchon | 0 | 9 | 0 |
| 27 | Magnus Cort | 1 | 7 | 6 |
| 28 | Nans Peters | 0 | 5 | 0 |
| 29 | Lorenzo Rota | 3 | 3 | 0 |
| 30 | Kevin Vermaerke | 0 | 2 | 0 |
Omloop Het Nieuwsblad
Single Rider Fantasy League 2024
Results
Players
A total of 63 players entered:
| User | Pick | Base | Bonus | Score |
|---|---|---|---|---|
| BorisB98 | Gianni Vermeersch | 23 | 20 | 43 |
| Sappert | Alex Kirsch | 20 | 17 | 37 |
| DorHarris | Dylan Teuns | 16 | 14 | 30 |
| fewfiet | Wout van Aert | 27 | 0 | 27 |
| lukmanCZ | Wout van Aert | 27 | 0 | 27 |
| markp88 | Wout van Aert | 27 | 0 | 27 |
| YourBeneluxOverlords | Wout van Aert | 27 | 0 | 27 |
| Divergee5 | Matteo Trentin | 26 | 0 | 26 |
| LynniePinnie67 | Matteo Trentin | 26 | 0 | 26 |
| andytheciderman | Christophe Laporte | 20.3 | 0 | 20.3 |
| Big_Mike_S | Christophe Laporte | 20.3 | 0 | 20.3 |
| Joder-tio | Christophe Laporte | 20.3 | 0 | 20.3 |
| Xcpa9 | Christophe Laporte | 20.3 | 0 | 20.3 |
| paaulo | António Morgado | 11 | 9 | 20 |
| MadnessBeliever | Tom Pidcock | 19.3 | 0 | 19.3 |
| SparkleCrotchLover | Tom Pidcock | 19.3 | 0 | 19.3 |
| yellow52 | Tom Pidcock | 19.3 | 0 | 19.3 |
| Nussig | Arnaud De Lie | 11.8 | 0 | 11.8 |
| Robcobes | Arnaud De Lie | 11.8 | 0 | 11.8 |
| Team_Telekom | Arnaud De Lie | 11.8 | 0 | 11.8 |
| Thomas1VL | Arnaud De Lie | 11.8 | 0 | 11.8 |
| bassmanyoowan | Stefan Küng | 9 | 0 | 9 |
| JDdieSonne | Stefan Küng | 9 | 0 | 9 |
| vbarrielle | Stefan Küng | 9 | 0 | 9 |
| AwakenTheBacon_ | Yves Lampaert | 9 | 0 | 9 |
| nahgoe16 | Yves Lampaert | 9 | 0 | 9 |
| Eyeconoclastic | Matteo Jorgenson | 3 | 3 | 6 |
| CudoLanda | Matej Mohoric | 3.3 | 0 | 3.3 |
| Kryziven | Matej Mohoric | 3.3 | 0 | 3.3 |
| MrR2D | Matej Mohoric | 3.3 | 0 | 3.3 |
| wonderbeann | Matej Mohoric | 3.3 | 0 | 3.3 |
| alpal2214 | Alberto Bettiol | 0 | 0 | 0 |
| flemingo24 | Alberto Bettiol | 0 | 0 | 0 |
| BWallis17 | Amaury Capiot | 0 | 0 | 0 |
| Zeckesan | Amaury Capiot | 0 | 0 | 0 |
| arne-b | Axel Zingle | 0 | 0 | 0 |
| BSantos57 | Ben Turner | 0 | 0 | 0 |
| LJSchoppert | Dylan van Baarle | 0 | 0 | 0 |
| mcrorigan | Fred Wright | 0 | 0 | 0 |
| the_ginger27 | Frederik Frison | 0 | 0 | 0 |
| Avila99 | Gianni Moscon | 0 | 0 | 0 |
| narlano | Ide Schelling | 0 | 0 | 0 |
| detestrian | Jasper Philipsen | 0 | 0 | 0 |
| RaylanGivens8 | Jasper Philipsen | 0 | 0 | 0 |
| Ok_Chipmunk_3854 | Jonathan Milan | 0 | 0 | 0 |
| Tuttle_not_Buttle | Jonathan Milan | 0 | 0 | 0 |
| paulindy2000 | Julian Alaphilippe | 0 | 0 | 0 |
| Norskov | Kasper Asgreen | 0 | 0 | 0 |
| Judas_Bishop | Luca Mozzato | 0 | 0 | 0 |
| mcbirk | Marco Haller | 0 | 0 | 0 |
| burden321 | Marius Mayrhofer | 0 | 0 | 0 |
| ZBGT | Mikkel Honore | 0 | 0 | 0 |
| balinki | Oier Lazkano | 0 | 0 | 0 |
| Miserable_Hour | Oier Lazkano | 0 | 0 | 0 |
| runhaags1 | Oier Lazkano | 0 | 0 | 0 |
| Seabhac7 | Oier Lazkano | 0 | 0 | 0 |
| Wateroski | Piet Allegaert | 0 | 0 | 0 |
| ssfoxx27 | Riley Sheehan | 0 | 0 | 0 |
| vrobrolf | Riley Sheehan | 0 | 0 | 0 |
| Mattxps | Rui Oliveira | 0 | 0 | 0 |
| DerpTrain | Søren Wærenskjold | 0 | 0 | 0 |
| VeggieLegs21 | Søren Wærenskjold | 0 | 0 | 0 |
| PITW | Warre Vangheluwe | 0 | 0 | 0 |
Riders
The Top 30 finishers were:
| Rank | Rider | Picks | Base | Bonus |
|---|---|---|---|---|
| 1 | Jan Tratnik | 0 | 180 | 0 |
| 2 | Nils Politt | 0 | 144 | 0 |
| 3 | Wout van Aert | 4 | 108 | 0 |
| 4 | Oliver Naesen | 0 | 90 | 0 |
| 5 | Christophe Laporte | 4 | 81 | 0 |
| 6 | Laurenz Rex | 0 | 72 | 0 |
| 7 | Jasper Stuyven | 0 | 65 | 0 |
| 8 | Tom Pidcock | 3 | 58 | 0 |
| 9 | Matteo Trentin | 2 | 52 | 0 |
| 10 | Arnaud De Lie | 4 | 47 | 0 |
| 11 | Pierre Gautherat | 0 | 43 | 0 |
| 12 | Tim Wellens | 0 | 40 | 0 |
| 13 | Mike Teunissen | 0 | 36 | 0 |
| 14 | Alexander Kristoff | 0 | 32 | 0 |
| 15 | Iván García Cortina | 0 | 29 | 0 |
| 16 | Stefan Küng | 3 | 27 | 0 |
| 17 | Jenthe Biermans | 0 | 25 | 0 |
| 18 | Gianni Vermeersch | 1 | 23 | 20 |
| 19 | Dries De Bondt | 0 | 22 | 0 |
| 20 | Alex Kirsch | 1 | 20 | 17 |
| 21 | Yves Lampaert | 2 | 18 | 0 |
| 22 | Dylan Teuns | 1 | 16 | 14 |
| 23 | Aimé De Gendt | 0 | 14 | 0 |
| 24 | Matej Mohoric | 4 | 13 | 0 |
| 25 | António Morgado | 1 | 11 | 9 |
| 26 | Johan Jacobs | 0 | 9 | 0 |
| 27 | Toms Skujins | 0 | 7 | 0 |
| 28 | Cédric Beullens | 0 | 5 | 0 |
| 29 | Matteo Jorgenson | 1 | 3 | 3 |
| 30 | Damien Touzé | 0 | 2 | 0 |
UAE Tour
Single Rider Fantasy League 2024
Results
Players
A total of 55 players entered:
| User | Pick | Base | Bonus | Score |
|---|---|---|---|---|
| neo487666 | Attila Valter | 90 | 52 | 142 |
| AwakenTheBacon_ | Michael Storer | 80 | 50 | 130 |
| nahgoe16 | Carlos Verona | 58 | 44 | 102 |
| Redskin44 | Tobias Foss | 48 | 40 | 88 |
| Avila99 | Lennert Van Eetvelt | 66.7 | 0 | 66.7 |
| burden321 | Lennert Van Eetvelt | 66.7 | 0 | 66.7 |
| ssfoxx27 | Lennert Van Eetvelt | 66.7 | 0 | 66.7 |
| CudoLanda | Pello Bilbao | 60 | 0 | 60 |
| Xcpa9 | Pello Bilbao | 60 | 0 | 60 |
| Goutye | Ben O'Connor | 53.3 | 0 | 53.3 |
| Lxnnox | Ben O'Connor | 53.3 | 0 | 53.3 |
| RaylanGivens8 | Ben O'Connor | 53.3 | 0 | 53.3 |
| Team_Telekom | Mauri Vansevenant | 26 | 26 | 52 |
| DorHarris | Max Poole | 36 | 0 | 36 |
| vbarrielle | Max Poole | 36 | 0 | 36 |
| BorisB98 | David Peña Jesus | 16 | 16 | 32 |
| MadnessBeliever | Harold Tejada | 14 | 14 | 28 |
| andytheciderman | Einer Rubio | 20 | 0 | 20 |
| Tuttle_not_Buttle | Einer Rubio | 20 | 0 | 20 |
| BSantos57 | Ilan Van Wilder | 16.7 | 0 | 16.7 |
| BWallis17 | Ilan Van Wilder | 16.7 | 0 | 16.7 |
| MrR2D | Ilan Van Wilder | 16.7 | 0 | 16.7 |
| narlano | Ilan Van Wilder | 16.7 | 0 | 16.7 |
| Nussig | Ilan Van Wilder | 16.7 | 0 | 16.7 |
| YourBeneluxOverlords | Ilan Van Wilder | 16.7 | 0 | 16.7 |
| arne-b | Ben Zwiehoff | 14 | 0 | 14 |
| Divergee5 | Ben Zwiehoff | 14 | 0 | 14 |
| Miserable_Hour | Jan Hirt | 6 | 6 | 12 |
| Judas_Bishop | Matthew Riccitello | 11 | 0 | 11 |
| the_ginger27 | Matthew Riccitello | 11 | 0 | 11 |
| yellow52 | Matthew Riccitello | 11 | 0 | 11 |
| ZBGT | Matthew Riccitello | 11 | 0 | 11 |
| alpal2214 | Emanuel Buchmann | 4 | 0 | 4 |
| mcbirk | Emanuel Buchmann | 4 | 0 | 4 |
| bizzileb1tch | Adam Yates | 0 | 0 | 0 |
| fewfiet | Adam Yates | 0 | 0 | 0 |
| Joder-tio | Adam Yates | 0 | 0 | 0 |
| Thomas1VL | Adam Yates | 0 | 0 | 0 |
| vrobrolf | Adam Yates | 0 | 0 | 0 |
| wonderbeann | Adam Yates | 0 | 0 | 0 |
| Ok_Chipmunk_3854 | Alexy Faure-Prost | 0 | 0 | 0 |
| paulindy2000 | Alexy Faure-Prost | 0 | 0 | 0 |
| Zeckesan | Alexy Faure-Prost | 0 | 0 | 0 |
| beaker15 | Brandon McNulty | 0 | 0 | 0 |
| detestrian | Brandon McNulty | 0 | 0 | 0 |
| Eyeconoclastic | Brandon McNulty | 0 | 0 | 0 |
| Kryziven | Brandon McNulty | 0 | 0 | 0 |
| SparkleCrotchLover | Brandon McNulty | 0 | 0 | 0 |
| ser-seaworth | Bruno Armirail | 0 | 0 | 0 |
| Big_Mike_S | Edward Dunbar | 0 | 0 | 0 |
| Seabhac7 | Edward Dunbar | 0 | 0 | 0 |
| VeggieLegs21 | Edward Dunbar | 0 | 0 | 0 |
| LynniePinnie67 | Fabio Jakobsen | 0 | 0 | 0 |
| DerpTrain | Kenny Elissonde | 0 | 0 | 0 |
| Sappert | Rainer Kepplinger | 0 | 0 | 0 |
Riders
The Top 30 finishers were:
| Rank | Rider | Picks | Base | Bonus |
|---|---|---|---|---|
| 1 | Lennert Van Eetvelt | 3 | 200 | 0 |
| 2 | Ben O'Connor | 3 | 160 | 0 |
| 3 | Pello Bilbao | 2 | 120 | 0 |
| 4 | Ilan Van Wilder | 6 | 100 | 0 |
| 5 | Attila Valter | 1 | 90 | 52 |
| 6 | Michael Storer | 1 | 80 | 50 |
| 7 | Max Poole | 2 | 72 | 0 |
| 8 | Brandon Rivera | 0 | 64 | 0 |
| 9 | Carlos Verona | 1 | 58 | 44 |
| 10 | Bart Lemmen | 0 | 52 | 0 |
| 11 | Tobias Foss | 1 | 48 | 40 |
| 12 | Matthew Riccitello | 4 | 44 | 0 |
| 13 | Einer Rubio | 2 | 40 | 0 |
| 14 | Martin López | 0 | 36 | 0 |
| 15 | Mikkel Bjerg | 0 | 32 | 0 |
| 16 | Pedro Lopez Juan | 0 | 30 | 0 |
| 17 | Ben Zwiehoff | 2 | 28 | 0 |
| 18 | Mauri Vansevenant | 1 | 26 | 26 |
| 19 | Patrick Konrad | 0 | 24 | 0 |
| 20 | Simon Carr | 0 | 22 | 0 |
| 21 | Natnael Tesfazion | 0 | 20 | 0 |
| 22 | Jay Vine | 0 | 18 | 0 |
| 23 | David Peña Jesus | 1 | 16 | 16 |
| 24 | Harold Tejada | 1 | 14 | 14 |
| 25 | George Bennett | 0 | 12 | 0 |
| 26 | Ivan Romeo | 0 | 10 | 0 |
| 27 | Emanuel Buchmann | 2 | 8 | 0 |
| 28 | Jan Hirt | 1 | 6 | 6 |
| 29 | Torstein Træen | 0 | 4 | 0 |
| 30 | Ruben Fernandez | 0 | 2 | 0 |
Cadel Evans Road Race
Single Rider Fantasy League 2024
Results
Players
A total of 61 players entered:
| User | Pick | Base | Bonus | Score |
|---|---|---|---|---|
| Judas_Bishop | Georg Zimmermann | 75 | 28 | 103 |
| flemingo24 | Cristian Scaroni | 44 | 23 | 67 |
| mcbirk | Bauke Mollema | 33 | 20 | 53 |
| Ok_Chipmunk_3854 | Natnael Tesfazion | 45 | 0 | 45 |
| ser-seaworth | Natnael Tesfazion | 45 | 0 | 45 |
| Divergee5 | Laurence Pithie | 17.1 | 0 | 17.1 |
| Joder-tio | Laurence Pithie | 17.1 | 0 | 17.1 |
| RaylanGivens8 | Laurence Pithie | 17.1 | 0 | 17.1 |
| Seabhac7 | Laurence Pithie | 17.1 | 0 | 17.1 |
| Tuttle_not_Buttle | Laurence Pithie | 17.1 | 0 | 17.1 |
| vbarrielle | Laurence Pithie | 17.1 | 0 | 17.1 |
| vrobrolf | Laurence Pithie | 17.1 | 0 | 17.1 |
| arne-b | Jhonnatan Narvaez | 12 | 0 | 12 |
| beaker15 | Jhonnatan Narvaez | 12 | 0 | 12 |
| MadnessBeliever | Jhonnatan Narvaez | 12 | 0 | 12 |
| ssfoxx27 | Jhonnatan Narvaez | 12 | 0 | 12 |
| Wateroski | Jhonnatan Narvaez | 12 | 0 | 12 |
| nahgoe16 | Owain Doull | 6 | 6 | 12 |
| andytheciderman | Corbin Strong | 8.5 | 0 | 8.5 |
| BorisB98 | Corbin Strong | 8.5 | 0 | 8.5 |
| BSantos57 | Corbin Strong | 8.5 | 0 | 8.5 |
| masterpierround | Corbin Strong | 8.5 | 0 | 8.5 |
| MrR2D | Corbin Strong | 8.5 | 0 | 8.5 |
| Redskin44 | Corbin Strong | 8.5 | 0 | 8.5 |
| SparkleCrotchLover | Corbin Strong | 8.5 | 0 | 8.5 |
| yellow52 | Corbin Strong | 8.5 | 0 | 8.5 |
| K2daL | Quinn Simmons | 7.7 | 0 | 7.7 |
| PITW | Quinn Simmons | 7.7 | 0 | 7.7 |
| ZBGT | Quinn Simmons | 7.7 | 0 | 7.7 |
| burden321 | Stephen Williams | 6.3 | 0 | 6.3 |
| LJSchoppert | Stephen Williams | 6.3 | 0 | 6.3 |
| Zeckesan | Stephen Williams | 6.3 | 0 | 6.3 |
| KhaledHisham_22 | Max Kanter | 2.7 | 0 | 2.7 |
| Team_Telekom | Max Kanter | 2.7 | 0 | 2.7 |
| the_ginger27 | Max Kanter | 2.7 | 0 | 2.7 |
| paulindy2000 | Lilian Calmejane | 1 | 1 | 2 |
| Big_Mike_S | Biniam Girmay | 1.1 | 0 | 1.1 |
| bizzileb1tch | Biniam Girmay | 1.1 | 0 | 1.1 |
| fewfiet | Biniam Girmay | 1.1 | 0 | 1.1 |
| iamczecksy | Biniam Girmay | 1.1 | 0 | 1.1 |
| JDdieSonne | Biniam Girmay | 1.1 | 0 | 1.1 |
| markp88 | Biniam Girmay | 1.1 | 0 | 1.1 |
| Salty-Level | Biniam Girmay | 1.1 | 0 | 1.1 |
| wonderbeann | Biniam Girmay | 1.1 | 0 | 1.1 |
| bassmanyoowan | Caleb Ewan | 0 | 0 | 0 |
| Xcpa9 | Caleb Ewan | 0 | 0 | 0 |
| DerpTrain | Elliot Schultz | 0 | 0 | 0 |
| Gta352 | Filippo Ganna | 0 | 0 | 0 |
| LynniePinnie67 | Filippo Ganna | 0 | 0 | 0 |
| narlano | Filippo Ganna | 0 | 0 | 0 |
| Nussig | Filippo Ganna | 0 | 0 | 0 |
| Thomas1VL | Harry Sweeny | 0 | 0 | 0 |
| disambiguation | Leo Hayter | 0 | 0 | 0 |
| Eyeconoclastic | Mathias Vacek | 0 | 0 | 0 |
| AwakenTheBacon_ | Milan Fretin | 0 | 0 | 0 |
| bdrammel | Milan Fretin | 0 | 0 | 0 |
| Sappert | Milan Fretin | 0 | 0 | 0 |
| Avila99 | Piet Allegaert | 0 | 0 | 0 |
| BWallis17 | Piet Allegaert | 0 | 0 | 0 |
| YourBeneluxOverlords | Piet Allegaert | 0 | 0 | 0 |
| alpal2214 | Simon Geschke | 0 | 0 | 0 |
Riders
The Top 30 finishers were:
| Rank | Rider | Picks | Base | Bonus |
|---|---|---|---|---|
| 1 | Laurence Pithie | 7 | 120 | 0 |
| 2 | Natnael Tesfazion | 2 | 90 | 0 |
| 3 | Georg Zimmermann | 1 | 75 | 28 |
| 4 | Corbin Strong | 8 | 68 | 0 |
| 5 | Jhonnatan Narvaez | 5 | 60 | 0 |
| 6 | Axel Mariault | 0 | 54 | 0 |
| 7 | Chris Hamilton | 0 | 48 | 0 |
| 8 | Cristian Scaroni | 1 | 44 | 23 |
| 9 | Jonas Rutsch | 0 | 39 | 0 |
| 10 | Louis Barré | 0 | 36 | 0 |
| 11 | Bauke Mollema | 1 | 33 | 20 |
| 12 | Kelland O'Brien | 0 | 30 | 0 |
| 13 | Ruben Fernandez | 0 | 27 | 0 |
| 14 | Archie Ryan | 0 | 25 | 0 |
| 15 | Quinn Simmons | 3 | 23 | 0 |
| 16 | Lucas Plapp | 0 | 21 | 0 |
| 17 | Stephen Williams | 3 | 19 | 0 |
| 18 | Laurens De Plus | 0 | 17 | 0 |
| 19 | Nick Schultz | 0 | 15 | 0 |
| 20 | Simon Clarke | 0 | 13 | 0 |
| 21 | Elia Viviani | 0 | 11 | 0 |
| 22 | Biniam Girmay | 8 | 9 | 0 |
| 23 | Max Kanter | 3 | 8 | 0 |
| 24 | Pavel Bittner | 0 | 7 | 0 |
| 25 | Owain Doull | 1 | 6 | 6 |
| 26 | Madis Mihkels | 0 | 5 | 0 |
| 27 | Jack Rootkin-Gray | 0 | 4 | 0 |
| 28 | Luke Burns | 0 | 3 | 0 |
| 29 | Enzo Paleni | 0 | 2 | 0 |
| 30 | Lilian Calmejane | 1 | 1 | 1 |
Tour Down Under
Single Rider Fantasy League 2024
Results
Players
A total of 72 players entered:
| User | Pick | Base | Bonus | Score |
|---|---|---|---|---|
| AwakenTheBacon_ | Damien Howson | 58 | 44 | 102 |
| nahgoe16 | Nick Schultz | 48 | 40 | 88 |
| andytheciderman | Jhonnatan Narvaez | 80 | 0 | 80 |
| Team_Telekom | Jhonnatan Narvaez | 80 | 0 | 80 |
| SparkleCrotchLover | Ruben Guerreiro | 36 | 34 | 70 |
| Avila99 | Bauke Mollema | 32 | 32 | 64 |
| flemingo24 | Oscar Onley | 50 | 0 | 50 |
| vbarrielle | Oscar Onley | 50 | 0 | 50 |
| Costinha3 | Isaac Del Toro | 30 | 0 | 30 |
| neo487666 | Isaac Del Toro | 30 | 0 | 30 |
| Short_Bus_ | Isaac Del Toro | 30 | 0 | 30 |
| ssfoxx27 | Isaac Del Toro | 30 | 0 | 30 |
| the_ginger27 | Lilian Calmejane | 14 | 14 | 28 |
| beaker15 | Julian Alaphilippe | 26.7 | 0 | 26.7 |
| LynniePinnie67 | Julian Alaphilippe | 26.7 | 0 | 26.7 |
| Mattho | Julian Alaphilippe | 26.7 | 0 | 26.7 |
| JDdieSonne | Jack Haig | 17.3 | 0 | 17.3 |
| mcbirk | Jack Haig | 17.3 | 0 | 17.3 |
| Sappert | Jack Haig | 17.3 | 0 | 17.3 |
| aidikay | Simon Yates | 10.3 | 0 | 10.3 |
| fewfiet | Simon Yates | 10.3 | 0 | 10.3 |
| iamczecksy | Simon Yates | 10.3 | 0 | 10.3 |
| narlano | Simon Yates | 10.3 | 0 | 10.3 |
| Nussig | Simon Yates | 10.3 | 0 | 10.3 |
| Redskin44 | Simon Yates | 10.3 | 0 | 10.3 |
| Thomas1VL | Simon Yates | 10.3 | 0 | 10.3 |
| mcrorigan | Michael Storer | 7.3 | 0 | 7.3 |
| ser-seaworth | Michael Storer | 7.3 | 0 | 7.3 |
| Zeckesan | Michael Storer | 7.3 | 0 | 7.3 |
| BSantos57 | Diego Ulissi | 6 | 0 | 6 |
| Robcobes | Diego Ulissi | 6 | 0 | 6 |
| Salty-Level | Diego Ulissi | 6 | 0 | 6 |
| sharkbait_hahaha | Diego Ulissi | 6 | 0 | 6 |
| copycatrfl | Chris Harper | 5 | 0 | 5 |
| vrobrolf | Chris Harper | 5 | 0 | 5 |
| RaylanGivens8 | Archie Ryan | 2 | 0 | 2 |
| Seabhac7 | Archie Ryan | 2 | 0 | 2 |
| masterpierround | Alessandro Covi | 0 | 0 | 0 |
| bassmanyoowan | Biniam Girmay | 0 | 0 | 0 |
| MadnessBeliever | Clement Berthet | 0 | 0 | 0 |
| Mattxps | Clement Berthet | 0 | 0 | 0 |
| burden321 | Corbin Strong | 0 | 0 | 0 |
| Eyeconoclastic | Corbin Strong | 0 | 0 | 0 |
| yellow52 | Corbin Strong | 0 | 0 | 0 |
| markp88 | Filippo Ganna | 0 | 0 | 0 |
| BorisB98 | Finn Fisher-Black | 0 | 0 | 0 |
| Ok_Chipmunk_3854 | Finn Fisher-Black | 0 | 0 | 0 |
| DorHarris | George Bennett | 0 | 0 | 0 |
| KhaledHisham_22 | Gonzalo Serrano | 0 | 0 | 0 |
| K2daL | Harry Sweeny | 0 | 0 | 0 |
| ZBGT | Jon Barrenetxea | 0 | 0 | 0 |
| Big_Mike_S | Koen Bouwman | 0 | 0 | 0 |
| alpal2214 | Laurens De Plus | 0 | 0 | 0 |
| YourBeneluxOverlords | Laurens De Plus | 0 | 0 | 0 |
| Gta352 | Leo Hayter | 0 | 0 | 0 |
| Divergee5 | Lucas Plapp | 0 | 0 | 0 |
| iamthesnee | Lucas Plapp | 0 | 0 | 0 |
| LJSchoppert | Lucas Plapp | 0 | 0 | 0 |
| Mieszko | Lucas Plapp | 0 | 0 | 0 |
| mussekuuper | Lucas Plapp | 0 | 0 | 0 |
| BWallis17 | Milan Vader | 0 | 0 | 0 |
| MrR2D | Milan Vader | 0 | 0 | 0 |
| detestrian | Natnael Tesfazion | 0 | 0 | 0 |
| Judas_Bishop | Natnael Tesfazion | 0 | 0 | 0 |
| PITW | Quinn Simmons | 0 | 0 | 0 |
| Goutye | Reuben Thompson | 0 | 0 | 0 |
| Tuttle_not_Buttle | Reuben Thompson | 0 | 0 | 0 |
| arne-b | Rudy Molard | 0 | 0 | 0 |
| paulindy2000 | Rudy Molard | 0 | 0 | 0 |
| Wateroski | Tobias Bayer | 0 | 0 | 0 |
| DerpTrain | Torstein Træen | 0 | 0 | 0 |
| Positive_Ad2228 | Torstein Træen | 0 | 0 | 0 |
Riders
The Top 30 finishers were:
| Rank | Rider | Picks | Base | Bonus |
|---|---|---|---|---|
| 1 | Stephen Williams | 0 | 200 | 0 |
| 2 | Jhonnatan Narvaez | 2 | 160 | 0 |
| 3 | Isaac Del Toro | 4 | 120 | 0 |
| 4 | Oscar Onley | 2 | 100 | 0 |
| 5 | Bart Lemmen | 0 | 90 | 0 |
| 6 | Julian Alaphilippe | 3 | 80 | 0 |
| 7 | Simon Yates | 7 | 72 | 0 |
| 8 | Valentin Paret-Peintre | 0 | 64 | 0 |
| 9 | Damien Howson | 1 | 58 | 44 |
| 10 | Jack Haig | 3 | 52 | 0 |
| 11 | Nick Schultz | 1 | 48 | 40 |
| 12 | Georg Zimmermann | 0 | 44 | 0 |
| 13 | Ben Zwiehoff | 0 | 40 | 0 |
| 14 | Ruben Guerreiro | 1 | 36 | 34 |
| 15 | Bauke Mollema | 1 | 32 | 32 |
| 16 | Pedro Lopez Juan | 0 | 30 | 0 |
| 17 | Luca Vergallito | 0 | 28 | 0 |
| 18 | Roger Adrià | 0 | 26 | 0 |
| 19 | Diego Ulissi | 4 | 24 | 0 |
| 20 | Michael Storer | 3 | 22 | 0 |
| 21 | Bastien Tronchon | 0 | 20 | 0 |
| 22 | Laurence Pithie | 0 | 18 | 0 |
| 23 | Lars Boven | 0 | 16 | 0 |
| 24 | Lilian Calmejane | 1 | 14 | 14 |
| 25 | Chris Hamilton | 0 | 12 | 0 |
| 26 | Chris Harper | 2 | 10 | 0 |
| 27 | Antoine Huby | 0 | 8 | 0 |
| 28 | Louis Barré | 0 | 6 | 0 |
| 29 | Archie Ryan | 2 | 4 | 0 |
| 30 | James Knox | 0 | 2 | 0 |
Olympic Road Race
Single Rider Fantasy League 2024
Results
Players
A total of 56 players entered:
| User | Pick | Base | Bonus | Score |
|---|---|---|---|---|
| vbarrielle | Valentin Madouas | 280 | 116 | 396 |
| sharkbait_hahaha | Christophe Laporte | 210 | 112 | 322 |
| listenyall | Jan Tratnik | 112 | 92 | 204 |
| Avila99 | Remco Evenepoel | 116.7 | 0 | 116.7 |
| CudoLanda | Remco Evenepoel | 116.7 | 0 | 116.7 |
| Divergee5 | Remco Evenepoel | 116.7 | 0 | 116.7 |
| LJSchoppert | Marc Hirschi | 52 | 52 | 104 |
| Redskin44 | Mattias Skjelmose | 48 | 48 | 96 |
| the_ginger27 | Jasper Stuyven | 35 | 35 | 70 |
| beaker15 | Juan Ayuso | 32 | 32 | 64 |
| DerpTrain | Toms Skujins | 52.7 | 0 | 52.7 |
| Tuttle_not_Buttle | Toms Skujins | 52.7 | 0 | 52.7 |
| Wateroski | Toms Skujins | 52.7 | 0 | 52.7 |
| srjnp | Brandon McNulty | 25 | 25 | 50 |
| nahgoe16 | Ben Healy | 45.5 | 0 | 45.5 |
| ser-seaworth | Ben Healy | 45.5 | 0 | 45.5 |
| fewfiet | Mathieu van der Poel | 39 | 0 | 39 |
| Thomas1VL | Mathieu van der Poel | 39 | 0 | 39 |
| arne-b | Matteo Jorgenson | 33.7 | 0 | 33.7 |
| fetamorphasis | Matteo Jorgenson | 33.7 | 0 | 33.7 |
| JDdieSonne | Matteo Jorgenson | 33.7 | 0 | 33.7 |
| burden321 | Mathias Vacek | 31 | 0 | 31 |
| runhaags1 | Mathias Vacek | 31 | 0 | 31 |
| Drazen | Julian Alaphilippe | 28 | 0 | 28 |
| paulindy2000 | Julian Alaphilippe | 28 | 0 | 28 |
| yellow52 | Julian Alaphilippe | 28 | 0 | 28 |
| alpal2214 | Mads Pedersen | 19.5 | 0 | 19.5 |
| baat | Mads Pedersen | 19.5 | 0 | 19.5 |
| andytheciderman | Michael Matthews | 11.2 | 0 | 11.2 |
| BWallis17 | Michael Matthews | 11.2 | 0 | 11.2 |
| markp88 | Michael Matthews | 11.2 | 0 | 11.2 |
| RaylanGivens8 | Michael Matthews | 11.2 | 0 | 11.2 |
| VeggieLegs21 | Michael Matthews | 11.2 | 0 | 11.2 |
| LurkasM1 | Max Schachmann | 5 | 0 | 5 |
| Sappert | Max Schachmann | 5 | 0 | 5 |
| Judas_Bishop | Alexey Lutsenko | 0 | 0 | 0 |
| Eyeconoclastic | Derek Gee | 0 | 0 | 0 |
| Joder-tio | Derek Gee | 0 | 0 | 0 |
| LynniePinnie67 | Dylan van Baarle | 0 | 0 | 0 |
| ssfoxx27 | Eduardo Sepulveda | 0 | 0 | 0 |
| epi_counts | Fred Wright | 0 | 0 | 0 |
| BSantos57 | Jhonnatan Narvaez | 0 | 0 | 0 |
| MrR2D | Jhonnatan Narvaez | 0 | 0 | 0 |
| Ok_Chipmunk_3854 | Jhonnatan Narvaez | 0 | 0 | 0 |
| Mattxps | Luca Mozzato | 0 | 0 | 0 |
| Team_Telekom | Nils Politt | 0 | 0 | 0 |
| wonderbeann | Oier Lazkano | 0 | 0 | 0 |
| Zeckesan | Oier Lazkano | 0 | 0 | 0 |
| Lxnnox | Orluis Aular | 0 | 0 | 0 |
| Solesticio | Rui Costa | 0 | 0 | 0 |
| SparkleCrotchLover | Tiesj Benoot | 0 | 0 | 0 |
| AwakenTheBacon_ | Wout van Aert | 0 | 0 | 0 |
| djordastic | Wout van Aert | 0 | 0 | 0 |
| iamczecksy | Wout van Aert | 0 | 0 | 0 |
| Nussig | Wout van Aert | 0 | 0 | 0 |
| YourBeneluxOverlords | Wout van Aert | 0 | 0 | 0 |
Riders
The Top 30 finishers were:
| Rank | Rider | Picks | Base | Bonus |
|---|---|---|---|---|
| 1 | Remco Evenepoel | 3 | 350 | 0 |
| 2 | Valentin Madouas | 1 | 280 | 116 |
| 3 | Christophe Laporte | 1 | 210 | 112 |
| 4 | Attila Valter | 0 | 175 | 0 |
| 5 | Toms Skujins | 3 | 158 | 0 |
| 6 | Marco Haller | 0 | 140 | 0 |
| 7 | Stefan Küng | 0 | 126 | 0 |
| 8 | Jan Tratnik | 1 | 112 | 92 |
| 9 | Matteo Jorgenson | 3 | 101 | 0 |
| 10 | Ben Healy | 2 | 91 | 0 |
| 11 | Julian Alaphilippe | 3 | 84 | 0 |
| 12 | Mathieu van der Poel | 2 | 78 | 0 |
| 13 | Tom Pidcock | 0 | 70 | 0 |
| 14 | Mathias Vacek | 2 | 62 | 0 |
| 15 | Michael Matthews | 5 | 56 | 0 |
| 16 | Marc Hirschi | 1 | 52 | 52 |
| 17 | Mattias Skjelmose | 1 | 48 | 48 |
| 18 | Alex Aranburu | 0 | 45 | 0 |
| 19 | Santiago Buitrago | 0 | 42 | 0 |
| 20 | Mads Pedersen | 2 | 39 | 0 |
| 21 | Jasper Stuyven | 1 | 35 | 35 |
| 22 | Juan Ayuso | 1 | 32 | 32 |
| 23 | Alberto Bettiol | 0 | 28 | 0 |
| 24 | Brandon McNulty | 1 | 25 | 25 |
| 25 | Daniel Martinez | 0 | 21 | 0 |
| 26 | Felix Großschartner | 0 | 18 | 0 |
| 27 | Corbin Strong | 0 | 14 | 0 |
| 28 | Max Schachmann | 2 | 10 | 0 |
| 29 | Lukas Kubis | 0 | 8 | 0 |
| 30 | Madis Mihkels | 0 | 4 | 0 |
Olympic Time Trial
Single Rider Fantasy League 2024
Results
Players
A total of 48 players entered:
| User | Pick | Base | Bonus | Score |
|---|---|---|---|---|
| LurkasM1 | Max Schachmann | 52 | 33 | 85 |
| nahgoe16 | Mathias Vacek | 43 | 30 | 73 |
| Drazen | Remco Evenepoel | 60 | 0 | 60 |
| Yasunick | Remco Evenepoel | 60 | 0 | 60 |
| YourBeneluxOverlords | Remco Evenepoel | 60 | 0 | 60 |
| listenyall | Mattias Skjelmose | 32 | 26 | 58 |
| CudoLanda | Wout van Aert | 54 | 0 | 54 |
| MrR2D | Wout van Aert | 54 | 0 | 54 |
| Avila99 | Magnus Sheffield | 27 | 23 | 50 |
| beaker15 | Stefan Küng | 29 | 0 | 29 |
| ser-seaworth | Stefan Küng | 29 | 0 | 29 |
| AwakenTheBacon_ | Filippo Ganna | 28.8 | 0 | 28.8 |
| Kryziven | Filippo Ganna | 28.8 | 0 | 28.8 |
| markp88 | Filippo Ganna | 28.8 | 0 | 28.8 |
| Nussig | Filippo Ganna | 28.8 | 0 | 28.8 |
| srjnp | Filippo Ganna | 28.8 | 0 | 28.8 |
| LJSchoppert | Stefan Bissegger | 24 | 0 | 24 |
| Sappert | Stefan Bissegger | 24 | 0 | 24 |
| wonderbeann | Stefan Bissegger | 24 | 0 | 24 |
| Eyeconoclastic | Nelson Oliveira | 21.7 | 0 | 21.7 |
| SparkleCrotchLover | Nelson Oliveira | 21.7 | 0 | 21.7 |
| the_ginger27 | Nelson Oliveira | 21.7 | 0 | 21.7 |
| andytheciderman | Brandon McNulty | 16.2 | 0 | 16.2 |
| BWallis17 | Brandon McNulty | 16.2 | 0 | 16.2 |
| fetamorphasis | Brandon McNulty | 16.2 | 0 | 16.2 |
| ssfoxx27 | Brandon McNulty | 16.2 | 0 | 16.2 |
| yellow52 | Brandon McNulty | 16.2 | 0 | 16.2 |
| BSantos57 | Mikkel Bjerg | 15.7 | 0 | 15.7 |
| Judas_Bishop | Mikkel Bjerg | 15.7 | 0 | 15.7 |
| Team_Telekom | Mikkel Bjerg | 15.7 | 0 | 15.7 |
| alpal2214 | Joshua Tarling | 11.3 | 0 | 11.3 |
| baat | Joshua Tarling | 11.3 | 0 | 11.3 |
| Divergee5 | Joshua Tarling | 11.3 | 0 | 11.3 |
| djordastic | Joshua Tarling | 11.3 | 0 | 11.3 |
| fewfiet | Joshua Tarling | 11.3 | 0 | 11.3 |
| JDdieSonne | Joshua Tarling | 11.3 | 0 | 11.3 |
| Thomas1VL | Joshua Tarling | 11.3 | 0 | 11.3 |
| VeggieLegs21 | Joshua Tarling | 11.3 | 0 | 11.3 |
| Joder-tio | Derek Gee | 6.7 | 0 | 6.7 |
| LynniePinnie67 | Derek Gee | 6.7 | 0 | 6.7 |
| sharkbait_hahaha | Derek Gee | 6.7 | 0 | 6.7 |
| arne-b | Kévin Vauquelin | 5.8 | 0 | 5.8 |
| Ok_Chipmunk_3854 | Kévin Vauquelin | 5.8 | 0 | 5.8 |
| paulindy2000 | Kévin Vauquelin | 5.8 | 0 | 5.8 |
| vbarrielle | Kévin Vauquelin | 5.8 | 0 | 5.8 |
| Xcpa9 | Kévin Vauquelin | 5.8 | 0 | 5.8 |
| burden321 | Ethan Hayter | 0 | 0 | 0 |
| RaylanGivens8 | Søren Wærenskjold | 0 | 0 | 0 |
Riders
The Top 30 finishers were:
| Rank | Rider | Picks | Base | Bonus |
|---|---|---|---|---|
| 1 | Remco Evenepoel | 3 | 180 | 0 |
| 2 | Filippo Ganna | 5 | 144 | 0 |
| 3 | Wout van Aert | 2 | 108 | 0 |
| 4 | Joshua Tarling | 8 | 90 | 0 |
| 5 | Brandon McNulty | 5 | 81 | 0 |
| 6 | Stefan Bissegger | 3 | 72 | 0 |
| 7 | Nelson Oliveira | 3 | 65 | 0 |
| 8 | Stefan Küng | 2 | 58 | 0 |
| 9 | Max Schachmann | 1 | 52 | 33 |
| 10 | Mikkel Bjerg | 3 | 47 | 0 |
| 11 | Mathias Vacek | 1 | 43 | 30 |
| 12 | Ryan Mullen | 0 | 40 | 0 |
| 13 | Tobias Foss | 0 | 36 | 0 |
| 14 | Mattias Skjelmose | 1 | 32 | 26 |
| 15 | Kévin Vauquelin | 5 | 29 | 0 |
| 16 | Magnus Sheffield | 1 | 27 | 23 |
| 17 | Daan Hoole | 0 | 25 | 0 |
| 18 | Alberto Bettiol | 0 | 23 | 0 |
| 19 | Felix Großschartner | 0 | 22 | 0 |
| 20 | Derek Gee | 3 | 20 | 0 |
| 21 | Yevgeniy Fedorov | 0 | 18 | 0 |
| 22 | Attila Valter | 0 | 16 | 0 |
| 23 | Michal Kwiatkowski | 0 | 14 | 0 |
| 24 | Laurence Pithie | 0 | 13 | 0 |
| 25 | Rui Costa | 0 | 11 | 0 |
| 26 | Oier Lazkano | 0 | 9 | 0 |
| 27 | Jan Tratnik | 0 | 7 | 0 |
| 28 | Jambaljamts Sainbayar | 0 | 5 | 0 |
| 29 | Biniam Girmay | 0 | 3 | 0 |
| 30 | Arslan Ansari Amir | 0 | 2 | 0 |








